Материал: А27516 Сабуров АГ Гуляева ЮН Основы гидравлики гидравлич-х машин и гидропривода Конспект лекций

Внимание! Если размещение файла нарушает Ваши авторские права, то обязательно сообщите нам

и .

После подстановки найденной постоянной в уравнение (3.48) имеем

,

или

. (3.49)

Из зависимости (3.49) следует, что осредненная скорость изменяется по логарифмическому закону. Формула (3.49) справедлива для пристенной области турбулентного потока, но ее можно распространить, со значительными допущениями, на поток жидкости в целом. Для этого полагают, что хотя экспериментальные исследования показывают, что не является постоянной величиной. С учетом этого, после перехода к десятичным логарифмам, зависимость (3.49) примет вид

. (3.50)

Полученная формула (3.50) является искомой и позволяет определить, с некоторой долей приближения, осредненные скорости в различных точках сечения трубы.

3.14. Потери напора по длине трубопровода при переходном и турбулентном режимах движения жидкости

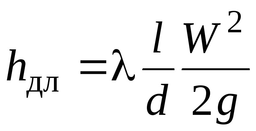
В разд. 3.11 было показано, что расчет потери напора по длине при ламинарном режиме движения производится по теоретической зависимости (3.43)

или . (3.51)

Зависимость (3.51) называется формулой Дарси-Вейсбаха. Итак, для ламинарного режима расчет производится по строгой математической зависимости (3.51). Приемлем ли такой метод расчета для переходного и турбулентного режимов? Ввиду сложности структуры турбулентного потока аналитической зависимости для этих режимов не получено. Тем не менее, экспериментальные данные исследователей показывают, что при переходном и турбулентном режимах, как и при ламинарном, потери напора по длине пропорциональны скоростному напору. Поэтому для переходного и турбулентного режимов, как и для ламинарного, расчетной зависимостью является формула Дарси-Вейсбаха (3.51). Однако, в отличие от ламинарного режима движения, нахождение коэффициента гидравлического трения для переходного и турбулентного потоков невозможно теоретическим путем. В связи с этим были проведены систематические экспериментальные исследования гидравлического сопротивления трубопроводов, на основе которых получены эмпирические зависимости для расчета коэффициента при переходном и турбулентном режимах движения. Приведем основные сведения, касающиеся данного вопроса.

При переходном и турбулентном режимах движения жидкостей коэффициент гидравлического трения зависит в общем случае не только от значения числа Рейнольдса (как при ламинарном режиме), но и от шероховатости стенок труб. Последняя величина может быть количественно оценена некоторой усредненной величиной абсолютной шероховатости Δ, представляющей собой среднюю высоту выступов шероховатости на внутренней поверхности труб. Величина Δ зависит от материала трубопровода, способа изготовления трубопровода и срока его эксплуатации. Влияние шероховатости на коэффициент определяется соотношением между величиной Δ и толщиной вязкого подслоя , движение жидкости в котором можно считать ламинарным. Так, на рис. 3.24 показан случай, когда Δ, и такие трубы называются гидравлически гладкими, а на рис. 3.25 имеем , и такие трубы считают гидравлически шероховатыми.

Не следует забывать, что понятия "гладкая" и "шероховатая" труба являются относительными, так как величина зависит от числа Re. Покажем это. Градиент скорости в пределах вязкого подслоя можно определить в виде , где – толщина вязкого подслоя; W скорость жидкости на его внешней границе; h – направление по нормали к стенке. Тогда напряжение трения на стенке, в соответствии с законом внутреннего трения Ньютона (1.8), будет

или или ,

где – динамическая скорость (см. разд. 3.13). Отсюда толщина равна: или . По опытным данным И. Никурадзe Тогда . Для дальнейшего вывода необходимо знать влияние гидравлического уклона на динамическую скорость . Эта зависимость устанавливается из основного уравнения равномерного движения (3.35): . Для круглой трубы . Поэтому имеем . Отсюда . Из (3.51) видно, что . Тогда динамическая скорость равна или , а толщина вязкого подслоя составит Последнее выражение можно преобразовать, учитывая, что , поэтому имеем

. (3.52)

Анализ формулы. (3.52) показывает, что при увеличении числа Re величина уменьшается; это означает, что при малых значениях числа Re труба может быть гладкой, а при больших значениях Re эта же труба может быть шероховатой.

Проделанный теоретический вывод (3.52) подтверждается опытными данными, показывающими, что при переходном и турбулентном режимах движения возможны три различные зоны трения (сопротивления):

1) зона гладкого сопротивления (величина зависит только от числа Re, а потери напора пропорциональны скорости в степени 1,75, т. е. );

2) зона доквадратичного сопротивления (величина зависит как от числа Re, так и от шероховатости, а потери напора пропорциональны скорости в переменной степени 1,75...2,0; т.е. );

3) зона квадратичного сопротивления (величина практически не зависит от числа Re и определяется только шероховатостью стенок труб, а потери напора пропорциональны скорости в степени 2, т. е. . Кроме того, опыты показывают, что при одной и той же абсолютной шероховатости Δ ее влияние на величину гидравлических потерь различно в трубах разного диаметра. Поэтому было введено понятие относительной шероховатости , и в общем случае при переходном и турбулентном режимах движения . Первые систематические опыты для выявления характера зависимости от Re и были проведены в 1933 году И.Никурадзе в гладких латунных трубах и в трубах с искусственной равномерно-зернистой шероховатостью из кварцевого песка. Песок был нанесен сплошным слоем на внутреннюю поверхность труб разного диаметра. В подготовленных таким образом трубах Никурадзе измерял потери напора, а затем по формуле (3.51) определял коэффициент трения . Результаты своих экспериментов Никурадзе изобразил на графике, названном его именем. На рис. 3.26 показан график Никурадзе.

I

II

III

1,0

0,9

0,8

0,7

0,6

0,5

0,4

0,3

0,2

2,8 3,2 3,6 4,0 4,4 4,8 5,2 5,6

Рис. 3.26

ε = 1/30

ε = 1/60

ε = 1/120

ε = 1/500

Из рис. 3.26 видно, что при ламинарном режиме движения (Re < 2300 или lg Re < 3,3) все опытные точки, независимо от шероховатости, ложатся на линию I. Итак, подтверждается, что при ламинарном режиме шероховатость не влияет на гидравлическое сопротивление. При переходном и турбулентном режимах (Re > 2300 или lg Re > 3,3) опытные точки до некоторых значений числа Re совпадают с линией II. Эта линия получена при испытании гладких труб без искусственной шероховатости. Затем опытные точки отклоняются в сторону больших значений , причем чем меньше шероховатость, тем при больших значениях Re начинается это отклонение. Таким образом, для данной области при малых значениях Re и шероховатость не оказывает влияние на сопротивление. При больших значениях Re коэффициент не зависит от числа Re и для заданного значения сохраняет постоянную величину (линии III). Итак, графиком Никурадзе подтверждается вышеизложенное положение о существовании трех зон гидравлического сопротивления.

В последующие годы были проведены систематические исследования гидравлического сопротивления технических (реальных) трубопроводов. В результате были получены зависимости, несколько отличающиеся от тех, которые ранее получил И. Никурадзе. Ниже на рис. 3.27 изображен график ВТИ (Г.А. Myрина). Очевидно, что здесь нет впадины в доквадратичной зоне сопротивления (а на графике Никурадзе она имеется). Кроме этого, по Никурадзе, в доквадратичной зоне λ меньше, чем в квадратичной, а по графику Мурина – наоборот. Поскольку Никурадзе проводил опыты на трубах с искусственной равномерно-зернистой шероховатостью, то считают, что отличие его результатов от результатов Мурина и других исследователей, изучавших работу технических трубопроводов, вполне закономерно. При определении коэффициента λ предпочтение отдают графику Мурина, который имеется практически во всех книгах по гидравлике.

Во многих случаях (например, при расчете трубопроводов на ЭВМ) предпочтительней пользоваться для определения коэффициента λ не графиком Мурина, а расчетными зависимостями, обобщающими цифровые значения этого графика. Так, для зоны гладкого трения рекомендуют формулу Блазиуса

, (3.53)

пригодную для диапазона 2300 < Re < 100 000 или формулу Конакова

, (3.54)

пригодную для зоны гладкого трения и любого значения числа Re. Границу между зонами гладкого и доквадратичного сопротивления находят по формуле

(3.55)