Формула (3.66) хорошо подтверждается опытными исследованиями при турбулентном режиме, когда сечение II–II берется достаточно далеко за местом расширения (т. е. там, где после местного сопротивления уже yстановился профиль скорости по сечению трубопровода). Проведенный теоретический вывод подтвердил вышеизложенный опытный факт о nponopциональности местных потерь напора скоростному иапору.
Что
касается местных сопротивлений для
поворотов, резких сужений, диафрагм и
т. д., то они не могут быть установлены
строгим теоретическим выводом наподобие
случая внезапного расширения. Поэтому
для таких случаев они устанавливаются
опытным путем. Значения
приводятся во всех книгах по гидравлике.
Следует отметить, что величины
приводятся всегда
для средней скорости, устанавливающейся
за местными сопротивлениями.
Экспериментальные исследования
показывают, что при турбулентном режиме
движения местные потери напора
пропорциональны квадрату скорости (
),
в то время как при ламинарном режиме
влияние cкорости
проявляется в степени, меньшей двух. В
общем случае при нахождении коэффициентов
местных сопротивлений для ламинарного
режима движения пригодны эмпирические
зависимости вида
,
где А
и m
– величины, зависящие от типa
местного сопротивления и степени
нарушения ламинарного режима (находятся
по опытным данным).
Предположим,
что требуется определить полные потери
напора в трубопроводе длиной l,
диаметром d
при средней скорости
жидкости W
и n
местных сопротивлениях
с коэффициентами местных сопротивлений
ξ1,
ξ2,
…., ξn.
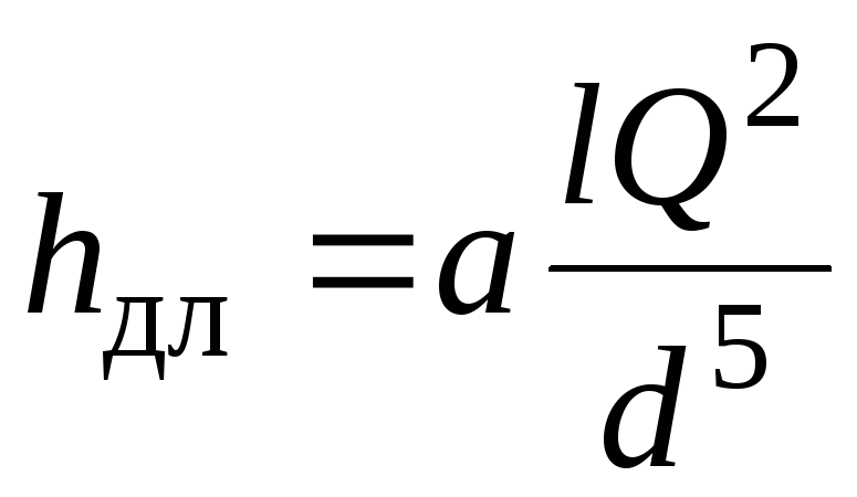
Потери по длине, в соответствии с формулой
Дарси-Вейсбаха, составляют
Суммарные потери в
местных сопротивлениях находят как
результат сложения потерь напора в
каждом местном сопротивлении:
,
или
,
или

Полные потери напора определяются арифметической суммой потерь напора:по длине и потерь напора в местных сопротивлениях
,
или

Так
как
,
то получаем
,
или
,
где
– полный коэффициент сопротивления
системы.
Следует иметь в виду, что обычное суммирование местных потерь напора в каждом местном сопротивлении справедливо лишь в том случае, если отдельные местные сопротивления отстоят друг от друга на расстоянии не менее чем 20-50 диаметров. Принцип арифметического суммирования местных потерь называют принципом наложения потерь.
В зависимости от длины и условий работы различает два типа трубопроводов: короткие и длинные. Короткими называются такие трубопроводы, в которых местные потери напора являются значительными и составляют не менее 5–10 % от потерь напора по длине. Длинными называются трубопроводы, имеющие значительную протяженность, в которых потери напора по длине являются основными. В случаях расчета длинных трубопроводов местными потерями пренебрегают или же принимают их ;равными 5–10 % от потерь напора по длине. В зависимости от гидравлической схемы работы трубопроводы подразделяются на простые (не имеющие ответвлений) (рис. 3.29) и сложные (рис. 3.30 и 3.31). Схему на рис. 3.30 называют также тупиковой, а на рис. 3.31 – кольцевой. Следует иметь в виду, что простой трубопровод может иметь переменный диаметр (d1, d2, d3 – как на рис. 3.29). Места разветвления трубопроводов на рис. 3.30 и 3.31 называют узлами.
Основные
положения расчета.
При гидравлическом рас-
чете трубопроводов
в квадратичной зоне их сопротивления
ши-
роко используют понятие раcходной
характеристики труб. Поясним это понятие.
По закону сплошности потока, с учетом
формулы
Шези (3.59), расход равен
.
Отсюда
.
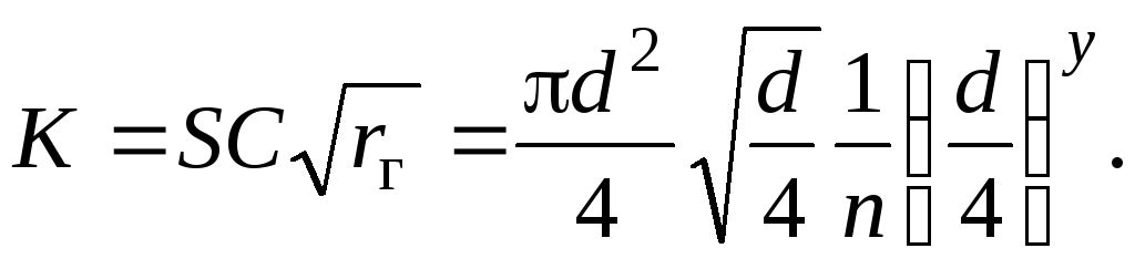
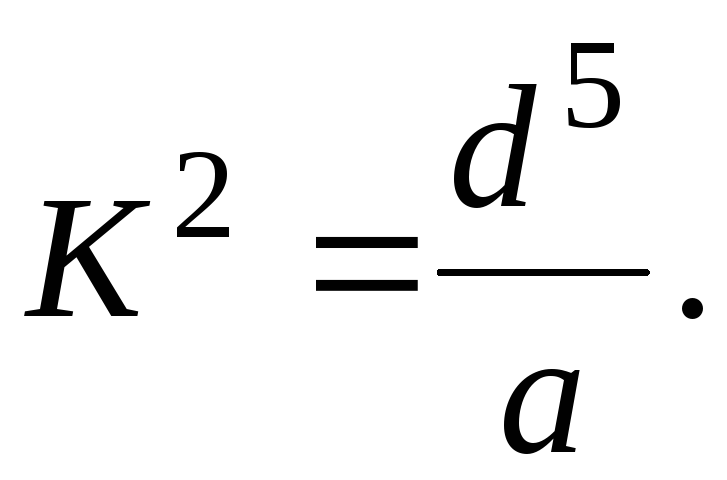
Параметр К = const,
так как для трубы
постоянного диаметра величины S,
С,
rг
–
величины неизменные (не зависят от
диаметра – см. разд. 3. 14). В связи с этим,
величина К также
неизменна; она и названа расходной
характеристикой
.
(3.67)
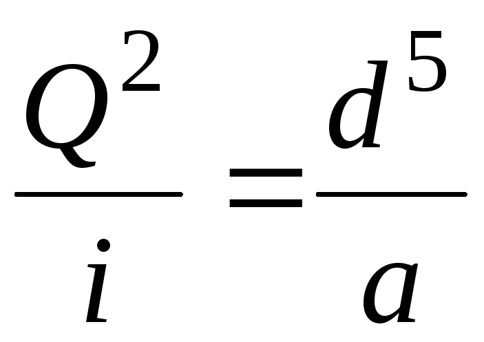
Найдем расход с учетом формулы (3.67)
.
(3.68)
Из зависимости (3.67) анализом размерностей нетрудно устаноють, что величина К измеряется в [м3/c]. Значит, расходная характеристика представляет собой расход жидкости в трубе заданного диаметра при гидравлическом уклоне, равном единице. Как подсчитать величину К? Преобразуем (3.67) с учетом формулы Павловского (3.60)

Вспоминаем,
что
(см. разд. 3.14). Значит, при коэффициенте
шероховатости
расходная характеристика
является функцией только диаметра
трубы:
.
В приложениях книг по гидравлике для
стандартных диаметров труб приводятся
значения расходной характеристики.
Поскольку в литературе имеются готовые
значения К
для труб различного
диаметра, то для упрощения расчетов
трубопроводов целесообразно преобразовать
вторую водопроводную формулу (3.63) так,
чтобы в ней была в явном виде расходная
характеристика:
.
Отсюда, с учетом
,
получаем
.
Из зависимости (3.68) видно, что
,
поэтому из двух последних равенств
следует
Тогда вторая водопроводная формула
примет вид
(3.69)
а
расход составит
(получили формулу (3.68)).
Каковы задачи гидравлического расчета трубопроводов? Гидравлический расчет трубопроводов производится с целью: 1) определения геометрических размеров трубопровода, предназначенного для пропуска определенного расхода жидкости, или 2) установления гидравлических характеристик (потерь напора и пропускаемого расхода) при известных его размерах. Две указанные задачи расчета являются укрупненными, и в пределах каждой из них возможна постановка нескольких конкретных задач. Рассмотрим основные задачи расчета длинных и коротких трубопроводов.
Решим задачи нахождения потерь напора по длине и расхода жидкости, полагая, что длинные трубопроводы работают в квадратичной зоне сопротивления.
Простой длинный трубопровод
Возможны два случая работы такого трубопровода: работа под уровень и работа в атмосферу.
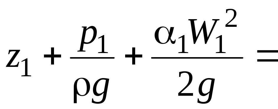
а) Работа под уровень. Такой случай показан на рис. 3.32. Пусть полная длина трубопровода равна l, а диаметр – d. Выберем плоскость сравнения 0–0, как показано на рис. 3.32, и запишем уравнение Бернулли для сечений I–I и II–II

.

Если
площади резервуаров велики, то скорости
движения W1
и W2
малы и
ими можно пренебречь. Кроме этого,
очевидно, что
.
Поэтому уравнение
Бернулли упростится:
где Н
– разность уровней в резервуарах.
Значит, величина Н
расходуется на
преодоление гидравлического сопротивления
трубопровода. Определив таким путем
,
можно найти расход жидкости по формуле
(3.68)
.
б) Работа в атмосферу. Такой трубопровод изображен иа рис. 3.33. Пусть трубопровод состоит из трех участков труб с диаметрами d1, d2, d3, длиной l1, l2, l3. Применим формулу (3.69) для каждого из участков трубопровода:

Рис.
3.33
Общие потери напора равны сумме найденных потерь