Задача
1. Дано: расход жидкости
Q,
длина трубопровода
l
и его диаметр d.
Требуется определить
потери напора
.
При
расчете вначале находят среднюю скорость
движения жидкости
,
затем определяют режим движения жидкости,
предварительно рассчитав число Рейнольдса
.
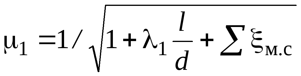
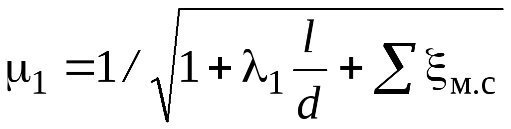
Далее задаются материалом труб и сроком
эксплуатации и находят из таблиц
справочной литературы относительную
шероховатость ε. После этого расcчитывают
коэффициент гидравлического трения λ
по зависимости, соответстующей найденному
режиму движения и зоне гидравлического
сопротивления (см. разд. 3.14) или находят
его по графику ВТИ. Наконец, находят
потери напора
.
Изложенную последовательность расчета можно записать в виде схемы следующим образом:

Задача 2. Дано: жидкость движется по трубопроводу длиной l и диаметром d под действием напора Н. Определить расход жидко-сти Q.
Расчет
производят методом последовательных
приближений. Считают,
что трубопровод
работает в квадратичной зоне сопротивления
(напомним, что в этой зоне λ
не зависит от Re,
а следовательно,
и расхода жидкости и определяется только
величиной ε). Выбирают ма-териал труб,
срок их эксплуатации, по ним находят
относительную шероховатость ε и
определяют расчетным путем (см. разд.
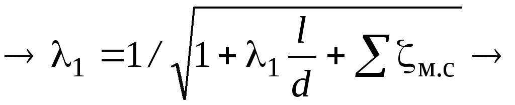
3.14) или по графику ВТИ коэффициент
гидравлического трения λ1.
Затем находят коэффициент расхода
и расход по формуле (3.72)
где
Далее по величине
находят скорость
движения жидкости
,
а затем – число Рейнольдса Re
По значению Re1
и
ранее принятой величине
относительной шероховатости ε находят
вышеуказанным способом новое значение
коэффициента гидравлического трения
λ2.
Затем рассчитывают
уточненное значение коэффициента
расхода
и уточненную величину
расхода
Если расход
отличается от значения
более чем на 5 %,
то величину
отбрасывают как
неправильную, и уточняют расход
в такой же последовательности. Расчет
производят до совпадения сравниваемых
значений расхода с точностью не менее
5 %. Методика
решения данной задачи схематично
выглядит так:
ε
?



Задача 3. При движении жвдкости по трубопроводу длиной l под действием напора Н потребный расход составляет Q. Требуется определить диаметр трубопровода d, обеспечивающий указанный объемный расход жидкости.
Непосредственное решение уравнения расхода (3.72) относительно диаметра трубопровода невозможно, так как величина d входит одновременно в величины µ и S. Поэтому уравнение (3.72) решают относительно произведения µS методом последовательных приближений в следующем порядке. По заданным в условии величинам Q и Н находят искомое произведение
(3.73)
Затем
задаются произвольным значением диаметра
труба d1
и находят скорость
движения жидкости
и число Рейнольдса Re
,
где
После этого выбирают материал труб и
срок их эксплуатации, находят относительную
шероховатость ε по
таблицам справочной
литературы. Далее по известным величинам
Re1
и ε определяют
коэффициент гидравлического трения
λ1,
а за-
тем – коэффициент
расхода
.
Наконец, рассчитывают
произведение
и сравнивают полученное
значение
с величиной, полученной по
выражению (3.73). Если совпадения значений
и
нет, то задаются другим
значением диаметра d2
и расчет повторяют
до тех пор, пока не будет получено
равенство между искомым произведением
и полученным в
результате расчетов. С целью уменьшения
трудоемкости решения данной задачи
целесообразно воспользоваться
расчетно-графическим методом нахождения
искомой величины диаметра трубопровода.
Для этого, задавшись 3–4
значениями диаметра
и определив соответствующие им
произведения
,
строят
график зависимости
.
Из данного графика по значению
,
вычисленному по формуле (3.73), находят
искомый диаметр d.
Последовательность решения задачи
схематично выглядит следующим образом:

?

![]()
.
Задача
4. Дано: объемный
расход жидкости равен Q,
а длина трубопровода l.
Требуется определить диаметр трубопровода
d
и потери
напора
.
Вначале
находят диаметр трубопровода. Для этого
принимают среднюю скорость движения
жидкости в пределах W
= 0,5 – 1,8 м/с (для невязких жидкостей
скорость можно устанавливать до 3 м/с).
Затем находят диаметр из уравнения
сплошности потока
.
Полученное значение
диаметра округляют до ближайшего
стандартного значения, после чего
уточняют величину скорости по уравнению
сплошности потока
,
где d
– округленное значение
диаметра трубопровода. Далее определение
потери напора
совпадает с первой
задачей расчета коротких трубопроводов,
рассмотренной выше.
Гидравлическим ударом называют резкое повышение давления жидкости в трубопроводе при его внезапном перекрытии. В водопроводной технике явление гидравлического удара известно давно, но задача его расчета была решена сравнительно недавно (в 1898 г.) проф. Н. Е. Жуковским.
К
аков
механизм гидравлического удара? Как
велико повышение давления при
гидравлическом ударе? Для истолкования
процесса гидравлического удара
предположим, что в напорном трубопроводе
жидкость движется со средней скоростью
W.
На расстоянии l
от напорного резервуара находится
задвижка, которую можно закрыть как
угодно быстро (рис. 3.38). Предположим, что
закрытие произошло мгновенно. В результате
остановки движения произойдет резкое
повышение давления в трубе вследствие
перехода кинетической энергии
оста-новившихся слоев жидкости в
потенциальную энергию сжатой жидкости.
При этом в первую очередь давление
увеличится непосредственно у задвижки
после остановки первых слоев жидкости.
Затем, по мере остановки последующих
слоев, увеличение давления будет быстро
распространяться вверх по трубопроводу,
создавая волну повышенного давления.
Повышение давления, распространяясь
вверх по трубопроводу с большой скоростью,
вызывает сжатие жидкости
и растяжение
стенок трубы. Указанная упругая деформация
жидкости и трубы происходит со скоростью
распространения повышения давления
по длине трубы. Скорость распространения
упругих деформаций называется скоростью
распространения ударной волны. После
того, как остановится последний слой
жидкости у резервуара, к которому
подсоединен трубопровод, давление у
задвижки достигнет максимального
значения, и вся жидкость в трубопроводе
будет сжата. Но так как в этот момент
давление в резервуаре будет меньше
давления в трубопроводе, то жидкость
придет в движение по направлению к
резервуару. В результате произойдет
резкое понижение давления в трубопроводе.
Понижение давления, передающееся от
слоя к слою и распространяющееся по
направлению к задвижке, называется
обратной ударной волной.
Время пробега прямой
(от задвижки к резервуару) и обратной
ударных волн составляет длительность
фазы гидравлического удара
.
Когда давление снизится во всем
трубопроводе, жидкость остановится,
находясь под пониженным давлением. Так
как давление в резервуаре превышает
давление трубопровода, то жидкость
начнет обратное движение к задвижке с
восстановлением скорости и давления,
поэтому снова произойдет гидравлический
удар. Он будет характеризоваться меньшим
повышением давления, так как часть
энергии уже была потеряна. За этой
обратной ударной волной последует
другая, т. е. повторится фаза
гидравлического удара, и т. д.
Н
а
рис. 3.39 показана диаграмма изменения
во времени давления у задвижки при
гидравлическом ударе, из которой видно,
что повышение давления (ударное давление)
может во много раз превышать давление,
имеющееся в условиях статического
напора р0.
Установим расчетую зависимость ударного
давления при мгновенном закрытии
задвижки.
С этой
целью воспользуемся теоремой механики
твердого тела: изменение количества
движения тела за некоторый отрезок
времени равно сумме импульсов сил,
действовавших на него в течение того
же отрезка времени. Целесообразность
применения данного закона механики
твердого тела обусловлена тем, что массу
жидкости в трубопроводе при гидравлическом
ударе можно считать постоянной, причем
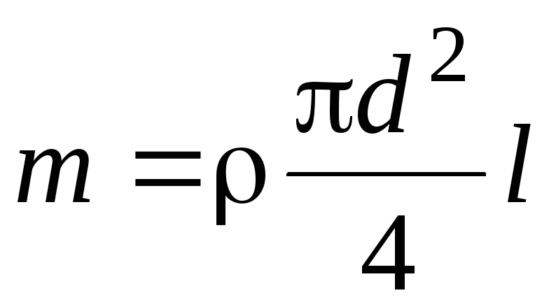
масса жидкости равна
,
где
– плотность жидкости,
d
– диаметр трубы (см.
рис. 3.38). В момент времени τ, соответствующий
закрытию задвижки, количество движения
paвно
.
За
отрезок времени
повышение давления распространится от
задвижки до резервуара, жидкость в
трубопроводе будет сжата и неподвижна
(W
= 0), поэтому
.
Приращение количества движения составляет
.
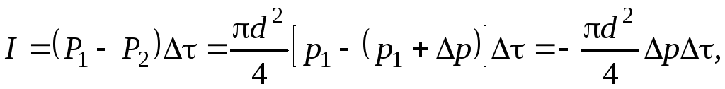
Определим
сумму импульсов всех сил, действовавших
на массу жидкости т
в течение времени
.
Импульс силы тяжести и силы давления
со стороны стенок трубы равен нулю, так
как эти силы нормальны оси трубы. Силы
давления на торцовые сечения дают в
сумме импульс, равный

где
– повышение давления у задвижки (ударное
давление). Импульсами касательных
напряжений на стенке пренебрегаем из-за
их малости.
Так как должно быть
,
то

Отсюда
.
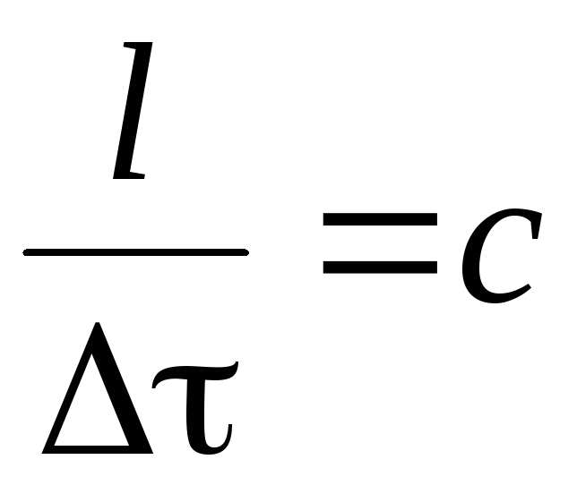
Но
– скорость
распространения ударной волны, поэтому
(3.74)
Полученная зависимость (3.74) называется формулой Н. Е. Жуковсвого для определения ударного движения. Из этой формулы следует, что величина ударного давления зависит от рода жидкости, начальной скорости движения жидкости в трубе и скорости распространения ударной волны. В свою очередь, скорость с зависит от упругих свойств жидкости и материала стенок трубы.
Если
бы стенки трубы были абсолютно жесткими,
то скорость распространения ударной
волны совпадала бы со скоростью
распространения звука в жидкости, равной
,
где
– модуль упругости жидкости. Для воды
= 1,96·109
Па и
м/с.
В действительности стенки трубы упруги,
поэтому скорость распространения
ударной волны определяется из формулы
,
где
– кажущийся модуль
упругости жидкости, определяемый по
зависимости