,
d – диаметр трубы; Е – модуль упругости материала стенок трубы, (например, для стали Е = 1,96·1011 Па); δ – толщина стенок трубы.
Таким образом, в развернутом виде формула Жуковского записывается

Из этой зависимости видно, что чем выше эластичность материала (т. е. чем меньше модуль упругости материала стенок трубы) и чем больше диаметр трубы и меньше толщина стенок, тем меньше величина ударного давления.
Пример
2. Определить
ударное давление в стальной водопроводной
трубе при ее мгновенном перекрытии,
если средняя скорость воды до удара W
= 1 м/с; диаметр трубы d
= 0,5 м; толщина стенки
δ = 0,005 м. Модуль
упругости для воды равен
= 1,96·109
Па, для стали
= 1,96·1011
Па.
Решение. Скорость распространения ударной волны равна
м/с.
Ударное давление будет
Па = 1000
кПа.
Следовательно, ударное давление примерно в 10 paз превышает атмосферное, давление, т. е. являетcя значительным.
Раcсмотренный пример убеждает в необходимости учета явления гидравлического удара при создании напорных трубопроводов, так как под действием ударного повышения давления могут быть выведены из строя измерительные приборы, фланцевые соединения, задвижки и т. д.
Одним
из средств уменьшения ударного давления
является медленное перекрытие
трубопровода. Если время полного закрытия
задвижки
больше, чем длительность фазы
гидравлического удара
,
то повышение давления можно определить
по формуле
.
(3.75)
Другой способ понижения ударного давления состоит в использовании специальных устройств – гасителей гидравлических ударов (клапаны, демпфирующие воздушные колпаки и др.).
Следует иметь в виду, что гидравлический удар является не только вредным явлением. Колебательный характер изменения давления при гидравлическом ударе был использован при создании гидротаранов, предназначенных для перемещения жидкостей в системах водоснабжения сельских местностей.
Известно, что для уменьшения трения при вращении отдельных частей механизмов и увеличения их сохранности применяются различные смазочные масла. Так, например, смазываются поверхности цапф и подшипников вращающихся осей и валов, поверхности поршней и цилиндров двигателей внутреннего сгорания и т. д. В результате смазки между движущимися деталями образуется тонкий слой смазочного масла. Однако долгое время считали, что, несмотря на наличие смазки, трение между цапфой и подшипником определяется как трение между поверхностями твердых тел. На неправильность такого понимания трения впервые указал в 1883 году русский ученый проф. Н. П. Петров. Он является основателем гидродинамической теории смазки, согласно которой смазывающий слой совершенно разделяет трущиеся твердые поверхности, не допуская их взаимного соприкосновения (при наличии минимально необходимой толщины смазывающего слоя).
В указанной концепции Н. П. Петрова рассмотрим случай трения цапфы в подшипнике. Предположим, что цапфа радиусом r вращается в подшипнике концентрично (без эксцентриситета); толщина смазывающего слоя равна δ, длина цапфы – l, окружная скорость ее вращения составляет W (рис. 3.40).
Чему
равна сила трения, а также ее момент и
работа сил трения? Для нахождения этих
величин воспользуемся законом Ньютона
внутреннего трения (1.8) и запишем его в
виде
.
Характерно, что зависимость (1.8) до
появления работ Н. П. Петрова
называлась не законом, а гипотезой
Ньютона внутреннего трения в жидкости.
Благодаря исследованиям Н. П. Петрова
гипотеза Ньютона получила подтверждение
и стала называться законом. Полная
поверхность цапфы, по которой происходит
трение о смазку, равна
.
Полная сила трения
цапфы о слой смазочного масла составляет
.
Ввиду малой толщины слоя смазки δ
можно принять линейное
распределение скоростей в зазоре между
цапфой и подшипником, причем, вследствие
налипания жидкостей на твердые
поверхности, скорость масла на поверхности
подшипника равна нулю, а на поверхности
цапфы равна ее окружной скорости вращения
W
(см. рис. 3.40). Тогда градиент скорости
будет
.
Поэтому сила трения равна
.
Для проведения
инженерных расчетов целесообразно
окружную скорость заменить частотой
вращения n
(об/мин):
,
где ω – угловая
скорость вращения. Тогда окончательно
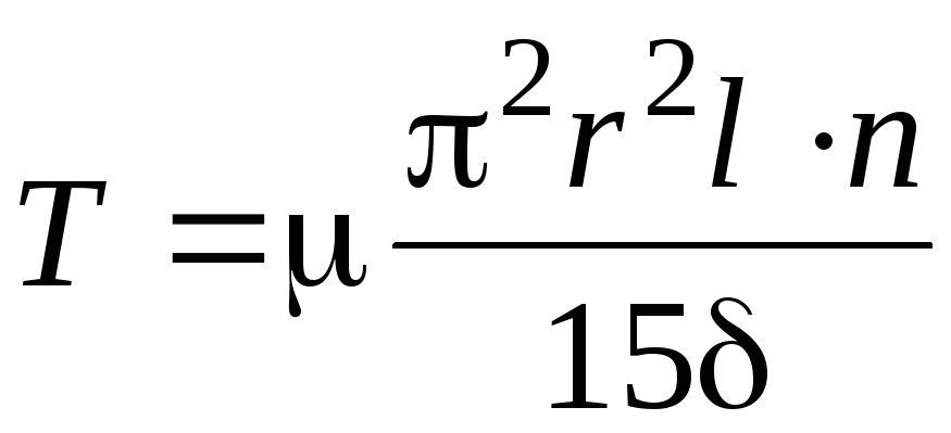
сила трения равна
.
(3.76)
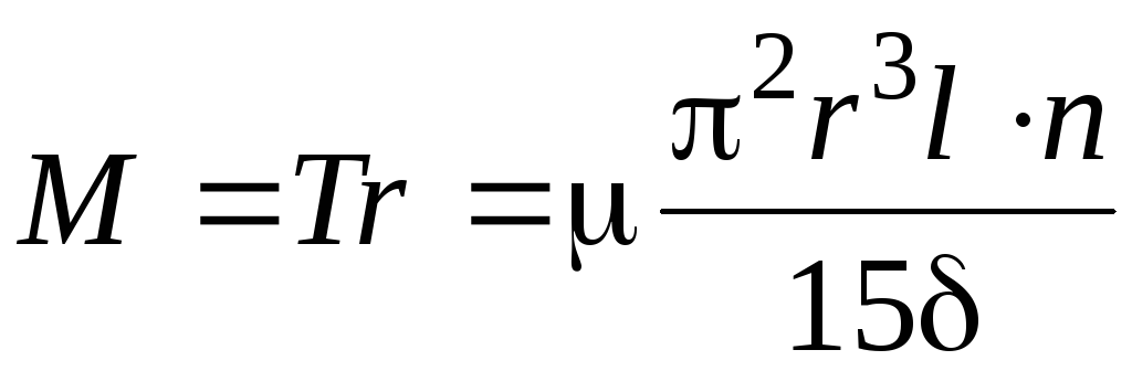
Из формулы (3.76) следует, что при заданных размерах цапфы сила трения прямо пропорциональна вязкости жидкости и обратно пропорциональна толщине смазывающего слоя. Момент силы трения составляет
.
(3.77)
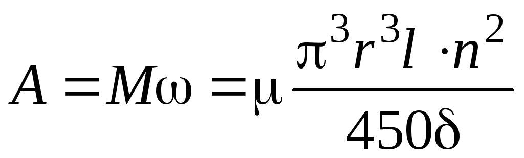
Работа силы трения равна
.
(3.78)
Зависимости (3.76; 3.77; 3.78) пригодны для случая центрального расположения цапфы в подшипнике. Однако практически всегда цапфа вращается эксцентрично относительно подшипника. Такой случай изображен на рис. 3.41.
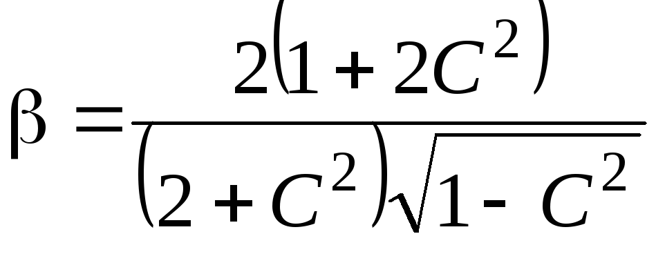
При наличии эксцентриситета е расчет величин Т, М и А производится по зависимостям (3.76; 3.77; 3.78), дополнительно умножив правую часть каждой из них на поправочный коэффициент
,
где
.
Тогда
;
;
.
Итак, концепция гидродинамической теории смазки заключается в том, что в трении в подшипниках основную роль играет внутреннее трение смазочного масла.
Насосами называются гидравлические машины и аппараты, создающие поток жидкой среды. Насосы создают разность давлений жидкости непосредственно в самих насосах и присоединяемых к ним трубопроводах и таким образом преобразуют энергию двигателя в энергию перемещаемой жидкости. На рис. 4.1 изображена классификация насосов, получивших наиболее широкое распространение в пищевой и смежных с ней отраслях промышленности.
Насосы
По принципу
действия
Динамические
Объемные

По
виду силового воздействия
на жидкость
По форме движения
рабочих органов





Лопастные
Трения
Возвратно-поступательное
Роторные
(вращательное)

По виду
рабочих органов
По виду
рабочих органов













Рис. 4.1
Из рис. 4.1 видно, что по принципу действия насосы можно подразделить на динамические и объемные. В динамических насосах жидкость перемещается при воздействии сил на незамкнутый объем жидкости, который непрерывно сообщается со входом в насос и с выходом из него. В объемных насосах жидкость перемещается (вытесняется) при периодическом изменении замкнутого объема жидкости, который попеременно сообщается со входом в насос и с выходом из него. В лопастных насосах энергия сообщается жидкости при обтекании лопастей рабочего колеса (или нескольких колес) насоса. В насосах трения жидкость перемещается преимущественно под воздействием сил трения. В объемных насосах с возвратно-поступательным движением рабочего органа жидкость получает энергию при возвратно-поступательном движении рабочего органа. В роторных насосах энергия сообщается жидкости при вращательном движении рабочего органа.
Виды насосов по принципу их действия и конструктивному исполнению насчитывают более 130 наименований. В главе 4 рассмотрены конструктивные особенности и работа центробежных, осевых, струйных, поршневых, плунжерных, шиберных, шестеренчатых, винтовых насосов, а также эрлифтов и монтежю.
Основными параметрами работы насосов любого типа являются производительность, напор и мощность.
Производительность (или подача) Q (м3/с) определяется объемом жидкости, подаваемым насосом в нагнетательный трубопровод за единицу времени.
Напор Н (м) (или давление р, Па) характеризует энергию, которая сообщается насосом единице веса перекачиваемой жидкости. Напор можно представить как высоту, на которую может быть поднят 1 кг перекачиваемой жидкости за счет энергии, сообщаемой ей насосом. Поэтому напор не зависит от плотности перекачиваемой жидкости. Между напором и давлением существует известная из гидростатики зависимость: Н = р/ρg.
Для насосов различают полезную мощность; мощность на валу; мощность, потребляемую двигателем; установленную мощность. Полезная мощность Nп затрачивается на сообщение жидкости энергии и равна произведению объемного расхода жидкости Q на приращение удельной энергии жидкости в насосе p: Nп = Qp = ρgQH. Мощность на валу Nе больше полезной мощности из-за наличия потерь энергии в насосе, которые учитываются коэффициентом полезного действия (КПД) насоса ηн: Nе = Nп/ηн = ρgQH/ηн. Коэффициент полезного действия ηн характеризует совершенство конструкции и экономичность эксплуатации насоса и выражается произведением ηн = ηобηг·ηмех, где ηоб = Q/Qт – объемный КПД, представляющий собой отношение действительной производительности насоса Q к теоретической Qт (учитывает уменьшение производительности из-за наличия утечек жидкости через зазоры и сальники насоса, а также вследствие неодновременного перекрытия клапанов и выделения воздуха из перекачиваемой жидкости при давлении ниже атмосферного – во время всасывания); ηоб = Н/Нт – гидравлический КПД, равный отношению действительного напора насоса Н к теоретическому Нт (учитывает потери напора при движении жидкости через насос); ηмех – механический КПД, характеризующий потери мощности на механическое трение в насосе (в подшипниках, сальниках и др.). Значение ηн зависит от конструкции и степени износа насоса и, например, для центробежных насосов составляет в среднем 0,6–0,7, а для поршневых – 0,8–0,9. Мощность, потребляемая двигателем Nдв, больше мощности на валу вследствие механических потерь в передаче от двигателя к насосу и в самом двигателе. Эти потери учитываются величинами КПД передачи ηпер и КПД двигателя ηдв, и тогда величина Nдв равна Nдв = Nе/ηперηдв = Nп/ηнηперηдв. Произведение η = ηнηперηдв представляет собой полный КПД насосной установки, который определяется как отношение полезной мощности к мощности, потребляемой двигателем: ηн = Nп/Nдв. Установленная мощность двигателя Nуст рассчитывается по величине Nдв с учетом возможных перегрузок в момент пуска насоса, возникающих в связи с необходимостью преодоления инерции покоящейся массы жидкости: Nуст = βNдв, где β = 1,1–2,0 – коэффициент запаса мощности, принимаемый в зависимости от мощности двигателя Nдв.