В центробежных насосах всасывание и нагнетание жидкости происходит равномерно и непрерывно под действием центробежной силы, возникающей при вращении рабочего колеса. На рис. 4.3 показана схема устройства центробежного насоса.
При его работе жидкость из всасывающего трубопровода 1 поступает вдоль оси рабочего колеса 2 в корпус 3 насоса. Далее она попадает на лопатки 4 рабочего колеса и приобретает вращательное движение. Центробежная сила отбрасывает жидкость в канал переменного сечения между корпусом и рабочим колесом. В этом канале скорость жидкости уменьшается до значения, равного скорости в нагнетательном трубопроводе 5. На входе в колесо создается пониженное давление, и жидкость из приемной емкости непрерывно поступает в насос. Конструктивной особенностью центробежных насосов является значительный зазор между колесом и корпусом. Вследствие этого разряжение на входе в насос, возникающее при вращении колеса, недостаточно для подъема жидкости по всасывающему трубопроводу, если он и корпус насоса не залиты жидкостью. Поэтому перед пуском центробежный насос заливают перекачиваемой жидкостью. Чтобы жидкость не выливалась из насоса и всасывающего трубопровода при заливке насоса или при кратковременных его остановках, на конце всасывающего трубопровода, погруженного в жидкость, устанавливают обратный клапан (на рис. 4.3 не показан). На валу насоса может быть установлено не одно, а несколько (до 16) рабочих колес с целью создания высоких напоров. Ориентировочно можно считать, что напор многоступенчатого насоса равен напору одного колеса, умноженному на число колес.
1
2
3
4
5
Рис. 4.3
Напор и производительность центробежного насоса определяются в основном конструкцией рабочего колеса и частотой его вращения. Влияние конструкции рабочего колеса и частоты его вращения на полный напор насоса устанавливает основное уравнение центробежного насоса Эйлера. Для его обоснования предположим, что колесо насоса неподвижно, а жидкость движется по каналам между лопатками с той же относительной скоростью, что и во вращающемся колесе. Перекачиваемую жидкость будем считать идеальной. Предположим, что абсолютная скорость движения жидкости при входе в насос (на лопатку) в точке 1 равна с1, а при выходе из насоса (с лопатки) в точке 2 – с2. Абсолютные скорости с1 и с2 можно разложить на относительные составляющие W1 и W2 (направленные вдоль лопаток) и окружные составляющие u1 и u2 соответственно (направленные по касательной к окружности вращения) (рис. 4.4).
u1
u2
r1
r2
α1
α2
W1
W2
2
1
c2
c1
c2r
β2
c1r=c1
b2
b1
D2
D1
Рис. 4.4
Известно, что напор насоса теоретически равен разности напоров на выходе из колеса Н2 и на входе в него Н1: Нт = Н2 – Н1. В соответствии с уравнением Бернулли напоры Н1 и Н2 составляют: Н1 = р1/ρg + с12/2g; Н2 = р2/ρg + с22/2g. Тогда напор насоса будет
.
(4.9)
Разность пьезометрических напоров в выражении (4.9) целесообразно выразить через разность скоростных напоров. Для этого запишем уравнение Бернулли при прохождении жидкости через колесо, считая, что z1 = z2
,
(4.10)
где А – удельная энергия, приобретаемая жидкостью под действием центробежной силы при ее перемещении из точки 1 в точку 2. Центробежная сила равна С = m∙2∙r = G∙2∙r/g, где m – масса частицы, а G – ее вес; – угловая скорость вращения колеса; r – радиус вращения частицы. Работа силы С, совершаемая при перемещении G кг жидкости из точки 1 в точку 2, составляет
.
Так как произведение
– окружная скорость, то
и
и тогда
.
Удельная работа (отнесенная к единице веса жидкости) равна удельной энергии, приобретаемой жидкостью в насосе, и составляет
.
После подстановки этого выражения в формулу (4.10), получим

Отсюда разность пьезометрических напоров на выходе из колеса и на входе в него равна

Подставим эту формулу в зависимость (4.9) и получим выражение теоретического напора через абсолютные скорости и их составляющие

Данное выражение целесообразно упростить, так как относительная, окружная и абсолютная скорости взаимосвязаны. Из параллелограммов скоростей в точках 1 и 2 имеем:
W12 = u12 + c12 – 2u1c1cos α1;
W22 = u22 + c22 – 2u2c2cos α2.
После подстановки в полученное выше выражение Нт, получим
(4.11)
Зависимость (4.11) называется уравнением центробежного насоса Эйлера.
Обычно жидкость, поступающая из всасывающего трубопровода, движется по колесу в радиальном направлении. В этом случае угол α1 = 90˚ (что соответствует условию безударного ввода жидкости в колесо). Тогда формула (4.11) упрощается:
(4.12)
На практике удобнее пользоваться не углом α2 между векторами скоростей u2 и c2, а углом β2 между касательными к ободу и лопатке в точке 2 (см. рис. 4.4). Поэтому из параллелограмма скоростей для точки 2 находим
c2cos α2 = u2 – W2cos β2.
С учетом этого формула (4.12) запишется
(4.13)
Уравнение (4.13)
показывает, что теоретический напор
насоса пропорционален квадрату частоты
вращения рабочего колеса (так как
)
и зависит от формы лопаток. При этом
возможны три случая:
1. Лопатки загнуты в направлении вращения рабочего колеса: β2 > 90°, cos β2 < 0 и Нт > u22/g.
2. Лопатки загнуты
в направлении, обратном направлению
вращения рабочего колеса:
,
и Нт < u22/g.
3. Лопатки не имеют
наклона:
,
и Нт = u22/g.
Отсюда следует, что теоретически
наибольший напор достигается в насосе
с лопатками, загнутыми в направлении
вращения колеса, а наименьший – с
загнутыми лопатками в противоположном
направлении. Несмотря на это, насосы
изготавливают с небольшими углами
наклона лопастей (
β2 < 90°), так как с возрастанием
β2 значительно увеличиваются
гидравлические потери, и уменьшается
КПД насоса.
Действительный напор насоса меньше теоретического, так как часть энергии жидкости расходуется на преодоление гидравлических сопротивлений внутри насоса; кроме того, число лопаток рабочего колеса не бесконечно велико. Поэтому действительный напор может быть определен так: Н = Нт ηг ε, где ηг = 0,8 – 0,95 – гидравлический КПД насоса, ε = 0,6 – 0,8 – коэффициент, учитывающий конечное число лопаток в насосе.
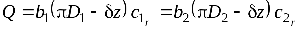
Установим производительность центробежногоо насоса. Очевидно, что она равна расходу жидкости через каналы шириной b1 и b2 между лопатками рабочего колеса (см. рис. 4.4). Поэтому по закону сплошности получаем:
,
(4.14)
где
δ – толщина лопаток; z
– число лопаток; b1
и b2
– ширина рабочего колеса на внутренней
и внешней его окружностях соответственно;
и
– радиальные составляющие абсолютных
скоростей на входе в колесо и на выходе
из него (при безударном входе жидкости
в колесо
=
).
С целью уменьшения гидравлических
потерь на входе жидкости в рабочее
колесо скорость
принимают равной скорости жидкости во
всасывающем трубопроводе.
Как влияет частота
вращения рабочего колеса на основные
параметры работы насоса (производительность,
напор и мощность)? Ответ на этот вопрос
дает теория подобия центробежных
насосов. Из зависимости (4.14) следует,
что производительность насоса прямо
пропорциональна радиальной составляющей
абсолютной скорости на выходе из колеса,
т. е.
.
Если изменить частоту вращения от n1
до n2, то это
вызовет изменение производительности
от Q1 до
Q2. Так как
,
то соблюдается также
.
Тогда имеем (см. рис. 4.4)
,
или
.
(4.15)
Согласно уравнению (4.13), напор насоса пропорционален квадрату окружной скорости, поэтому
,
или
.
(4.16)
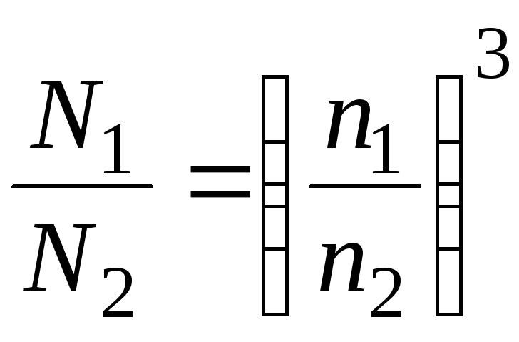
Так как мощность, потребляемая насосом, пропорциональна произведению Q на его напор Н, то, с учетом зависимостей (4.15) и (4.16), соотношение мощностей будет равно
.
(4.17)
Соотношения (4.15), (4.16) и (4.17) носят название законов пропорциональности. В соответствии с ними изменение частоты вращения рабочего колеса от n1 до n2 приводит к изменению производительности насоса пропорционально частоте вращения, напора – пропорционально частоте вращения во второй степени, а мощности – пропорционально частоте вращения в третьей степени. Однако в действительности такой строгой зависимости между параметрами насоса нет. Законы пропорциональности справедливы при условии сохранения подобия траекторий движения частиц жидкости в насосе, которое соблюдается при изменении частоты вращения колеса не более чем в два раза. Поэтому законами (4.15), (4.16) и (4.17) рекомендуется пользоваться при изменении частоты вращения колеса не более чем в два раза.
Обобщенной характеристикой подобия насосов, имеющих одинаковые углы α2 и β2 (см. рис. 4.4), является коэффициент быстроходности (об/мин):
,