

,
или
.
Если обозначить
,
то
По этой формуле находят
при известном расходе Q.
Если известны потери напора
,
а требуется найти Q,
то очевидно равенство:
.
Здесь и в предыдущем равенстве величина
Р –
проводимость трубопровода.
Сложный длинный трубопровод
а) Параллельное соединение труб. Допустим, что из точки А в точку В подается жидкость в количестве Q без раздачи по пути. В узле а трубопровод разделяется на три паралледьные линии, а в узле b они соединяются (рис. 3.34). Длины параллельных участков равны l1, l2, l3, а их диаметры – d1, d2, d3.
Рис.
3.34
Задача 1. Найти объемные расходы q1, q2, q3 по параллельным линиям.
В
точках а
и b
напоры для всех трех линий одинаковы,
поэтому в них одинаковы потери напора
и составляют
.
Тогда имеем
(3.70)
Отсюда


,
или

Потери напора равны

Далее по формулам (3.70) находят величины q1, q2, q3.
Задача
2. Найти диаметры d1,
d2,
d3,
при которых выполняется условие q1
= q2
= q3.
Из формулы (3.70) следует, что требуемое
равенство расходов выполняется при
Данную задачу решают подбором, пользуясь
таблицей значений
.
б
)
Разветвленные
трубопроводы. Пусть
трубопровод, начинающийся в точке А,
делится в узле В
на две ветви: ВС
и ВD
(рис. 3.35). Требуется найти расходы в
точках С
и D,
если известны напор в точке А,
диаметры труб и длины участков.
Для
решения данной и подобной задач используют
графоаналитический метод. Он заключается
в построении характеристик отдельных
участков трубопровода и суммарной
характеристики всего трубопровода.
Характеристикой трубопровода называется
график зависимости
при
и
;
ее можно построить на основе зависимости
(3.65)
Сначала строят характеристики для
ветвей ВС
и BD,
т. е.
и
,
а затем для участка АВ,
т. е.
(см. рис. 3.36). Так как в точке В
напор одинаков для ветвей ВС
и ВD,
то общую характеристику участков ВС
и ВD
получают сложением абсциcc
характеристик этих участков, выбрав
ряд значений
,
а именно:
.
Расход начального участка АВ
равен сумме расходов ветви ВС
и ВD:
QA
= QD
+ QC.
Поэтому нужно сложить ординаты
характеристики
и характеристики начального участка
,
выбрав ряд значений расхода. В результате
получают суммарную характеристику
трубопровода
,
позволяющую определить
пропускную способность трубопровода
и его ветвей при заданном напоре Н.
Для этого по суммарной характеристике
трубопровода определяют расход,
соответствующий заданному напору, а
затем по суммарной характеристике
ветвей ВС
и ВD
устанавливают распределение этого
расхода по указанным ветвям трубопровода
(см. рис. 3.36).
hдл=
f1(QD)
H
=
f5(QA)
hдл=
f3(QA)
hдл=
f2(QC)
hдл
H


hдл=
f4(QD+QC)



QD
QC
QD+QC Q
Рис.
3.36
Примечание.
При работе трубопровода в неквадратичной
зоне сопротивления используют те же
зависимости, что и для квадратичной
зоны сопротивления, но в расчетные
формулы вводят поправочный коэффициент
на неквадратичность.
Здесь λ – действительный коэффициент
гидравлического трения трубопровода;
– коэффициент гидравлического трения
того же трубопровода в квадратичной
зоне трения.
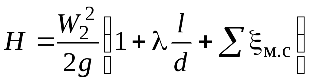
Рассмотрим
работу короткого трубопровода, считая,
что из резервуара жидкость вытекает в
атмосферу (рис. 3.37). Пусть диаметр
d
– постоянный по длине l
трубопровода; суммарный коэффициент
местных сопротивлений равен
.
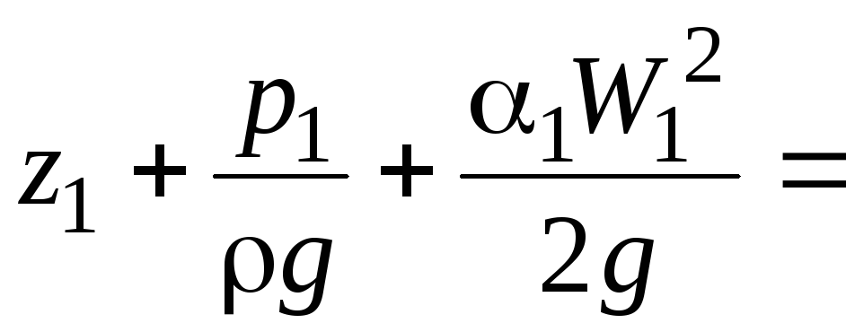
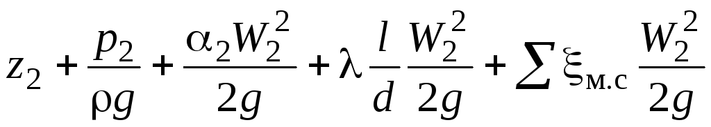
Запишем уравнение Бернулли для сечений
I–I
и II–II,
учитывая потери по длине и местные
сопротивления

.
Величиной
пренебрегаем вследствие
ее малости. Принимая во
внимание, что
,
получаем
.
I I II II
0
0
z2
= 0
Рис. 3.37
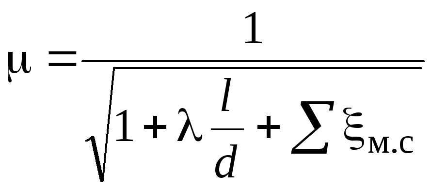
Находим скорость движения жидкости (опускаем индекс "2"):
,
или
(3.71)
где
– коэффициент расхода жидкости для
трубопровода. Если живое сечение
трубопровода обозначить S,
то уравнение объемного расхода жидкости
будет
(3.72)
Формулы (3.71) и (3.72) являются основными при расчетах коротких трубопроводов.
Обычно решают следующие четыре задачи расчета коротких трубопровод.