До основних параметрів режиму підсилення транзисторного каскаду належать:
- коефіцієнт підсилення за струмом
; (3.73)
- коефіцієнт підсилення за напругою
; (3.74)
- коефіцієнт підсилення за потужністю
; (3.75)
- вхідний опір
;
(3.76)
- вихідний опір
.
(3.77)
Задача знаходження цих параметрів за динамічними характеристиками зводиться до знаходження вхідних і вихідних амплітуд змінних струмів і напруг транзисторного каскаду, які входять до формул (3.73) – (3.77).
Суть графоаналітичного способу визначення параметрів режиму підсилення каскаду за навантажувальними характеристиками полягає в наступному (на прикладі каскаду зі спільним емітером).
1 На
сім’ї вихідних статичних характеристик
будується вихідна навантажувальна
пряма. Для каскадів (рис. 3.47 та рис. 3.48)
ця пряма будується за формулою (3.71). Для
каскаду з температурною стабілізацією
(рис. 3.49) помітно відрізнятимуться
динамічні вихідні характеристики для
постійного та змінного струмів (рис.
3.52) унаслідок наявності в емітерному
колі БТ ланцюжка
,
.
Постійна
складова струму емітера протікає через
резистор
,
отже,
,
або, оскільки в активному режимі
,
.
(3.78)
Тому рівняння вихідної навантажувальної прямої для постійної складової струму транзистора має вигляд (пряма I на рисунку 3.52)
=
. (3.79)
Змінна
складова струму
через резистор
не протікає. Тому рівняння вихідної
навантажувальної характеристики
для змінного струму має вигляд
, (3.80)
тобто повторює рівняння (3.71). Для каскаду з температурною стабілізацією розрахунок параметрів підсилювального режиму вимагає застосування навантажувальної прямої саме для змінного струму за рівнянням (3.80) – пряма 2 на рисунку 3.52.


Рисунок 3.52 – До графоаналітичного визначення параметрів режиму підсилення транзисторного каскаду
2 Будується вхідна навантажувальна характеристика каскаду, яка практично збігається з вхідною характеристикою БТ:
при
.
3 На
вхідній і вихідній навантажувальних
характеристиках відмічається
положення початкової робочої точки
режиму спокою (
,
,
,
),
яку або задають, або вибирають з міркувань
проектування.
4 Розгортаючи
змінну напругу
з амплітудою
відносно постійного рівня
,
знаходять відповідну зміну струму
відносно струму спокою
.
Знаходять амплітуду
(у разі потреби, усереднюючи верхню й
нижню амплітуди:
).
Перенесенням
точок В
і С
на вихідну навантажувальну пряму
визначають на ній робочу ділянку струму
бази, а також відповідні до цієї ділянки
зміни колекторної напруги
відносно постійного рівня
і струму
відносно рівня
.
За допомогою усереднення визначають
амплітуди
та
.
6 Використовуючи
знайдені амплітуди
,
,
,
за формулами (3.73) – (3.77), розраховують
параметри режиму підсилення.
Існує
також спосіб визначення параметрів
режиму підсилення за допомогою
- параметрів. Для найпростішого
транзисторного підсилювача на низьких
частотах маємо:
,
,
,
.
У
наведених формулах
- опір навантаження;
- опір джерела вхідного сигналу.
Залежність параметрів БТ від частоти зумовлена інерційністю процесів дифузії неосновних носіїв у базі, а також впливом ємностей переходів і розподіленого опору бази. Ці обставини обмежують частотний діапазон транзисторів. Наприклад, робочі частоти сплавних транзисторів не перевищують 20 - 30 МГц.
На
низьких частотах період зміни напруги
на ЕП значно більший за час прольоту
неосновних носіїв через базу. Внаслідок
цього градієнти концентрацій носіїв
у базі біля емітера і колектора змінюються
одночасно, і тому струм
,
та
синфазний, а коефіцієнти передачі
струму
і
є дійсними величинами.
При
зростанні частоти період зміни напруги
на ЕП зменшується і стає сумірним з
часом дифузії неосновних носіїв через
базу. Це призводить до того, що струм
колектора
відставатиме від струму емітера
за фазою (рис. 3.53). Крім того, оскільки
впродовж півперіоду прямої напруги на
ЕП максимальний згусток інжектованих
до бази неосновних носіїв не встигає
досягти колектора, то наступного
півперіоду концентрація цих носіїв і
градієнт їх концентрації біля емітера
будуть меншими, ніж у будь-якому іншому
місці бази. У базі виникає градієнт
концентрації неосновних носіїв, який
викликає їх рух у бік емітера і зменшення
колекторного струму (рис. 3.53). Отже, на
високих частотах коефіцієнти передачі
струму
та
набирають комплексного характеру і
зменшуються за модулем при збільшенні
частоти.

Рисунок
3.53 – Струм
та
БТ на високих частотах
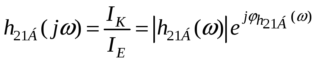
Для ССБ коефіцієнт передачі струму емітера
,
(3.81)
де
- комплексний коефіцієнт передачі
струму емітера;
,
- комплексні амплітуди струму емітера
і колектора.
Для транзисторів
. (3.82)
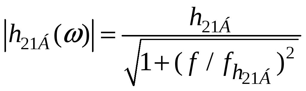
Модуль колекторного коефіцієнта передачі БТ у ССБ
, (3.83)
де
- значення коефіцієнта передачі струму
на низьких частотах.
Аргумент
коефіцієнта
![]()
.
(3.84)
З
формули (3.83) випливає, що на частоті
.
Частота, на якій модуль коефіцієнта
передачі струму зменшується в
раза, називається граничною частотою
БТ. З формули (3.84) бачимо, що на граничній
частоті зсув фаз між вхідним і вихідним
струмом дорівнює
.
Частотні характеристики БТ у ССБ
показано на рисунку 3.54.
Величину
називають сталою часу БТ у ССБ, і вона
приблизно дорівнює середній тривалості
дифузії неосновних носіїв через базу:
, (3.85)
де
- середня тривалість життя дірок у
базі.
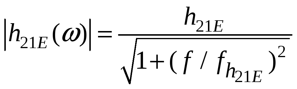
Для ССЕ коефіцієнт передачі струму бази
.
(3.86)
Модуль правої частини формули (3.86)
. (3.87)

Рисунок 3.54 – Частотні характеристики БТ у ССБ
Аргумент
. (3.88)
Частота
- це гранична частота БТ у ССЕ, при якій
модуль комплексного коефіцієнта
передачі струму бази зменшується в
раз.
При цьому граничні частоти транзистора зі спільною базою і спільним емітером мають такий зв’язок:
(3.89)