Варикапи
– це напівпровідникові діоди, у яких
використовується залежність бар’єрної
ємності
переходу від зворотної напруги. Варикапи
поділяють на підстроювальні (третій
елемент позначення – 1) і варактори
(третій елемент – 2).
Підстроювальні
варикапи використовують, наприклад,
для електронного підстроювання
резонансної частоти коливальних
контурів (рис. 2.11). На схемі рис. 2.11
конденсатор С
запобігає замиканню напруги зміщення
через котушку індуктивності
.
Ємність конденсатора значно перевищує
бар’єрну ємність варикапа
.
Тому резонансна частота контуру дорівнює
,
(2.5)
де
ємність
варикапа.
Регулюючи
напругу зміщення, яка подається на
варикап з потенціометра
через резистор
,
можна змінювати ємність приладу, а
отже, і резонансну частоту контура.
Резистор
запобігає можливості шунтування
коливального контуру при переміщенні
повзунка потенціометра. Опір
вибирають більшим, ніж резонансний
опір контуру.
Варактори, які мають виражену нелінійну вольт-амперну характеристику, використовують у пристроях параметричного підсилення і помноження частоти.

Рисунок 2.11 – Схема ввімкнення варикапа
Основні
параметри варикапів: номінальна ємність,
виміряна при даній зворотній напрузі
;
максимально допустима зворотна напруга
;
добротність варикапа, яка визначається
відношенням реактивного опору до опору
втрат.
Розглянемо вплив параметрів еквівалентної схеми діодів (рис. 1.17 б) на добротність варикапа.
Комплексний опір діода при зворотному включенні:
. (2.6)
З формули (2.6) випливає, що реактивна складова опору діода
, (2.7)
а активна –
. (2.8)
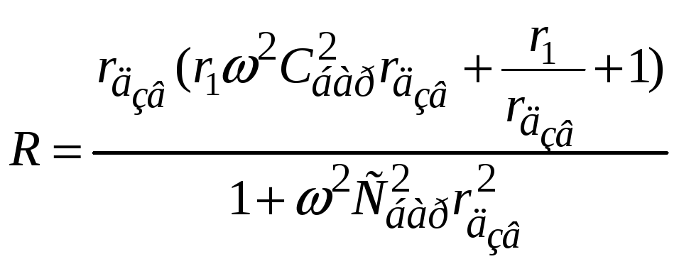
З формул (2.7) та (2.8) можна записати вираз для добротності варикапа:
. (2.9)
В області низьких частот
і
. (2.10)
В
області високих частот
,
і тоді
. (2.11)
З
виразів (2.10) та (2.11) випливає, що з метою
збільшення добротності варикапа
необхідно збільшувати зворотний опір
його
переходу
і зменшувати опір бази.
Для
виконання першої умови варикапи
виготовляють з кремнію. Для одержання
малого опору бази для варикапа
використовують структуру
,
в якій база складається з двох шарів:
і
(рис. 2.12);
-
шар бази має малу товщину, тому при
зворотному вмиканні весь
перехід
розміщується в цьому шарі. Опір бази в
цьому випадку утворено лише сильнолегованою
-областю,
і тому він має малу величину. Ця структура,
крім того, дозволяє значно збільшити
зворотну напругу варикапа.

Рисунок 2.12 – Напівпровідникова структура варикапа
Діод Шотткі – це напівпровідниковий діод, провідні властивості якого ґрунтуються на застосуванні випрямного контакту металу зі збідненим шаром напівпровідника.
Як
відомо, при співвідношенні робіт виходу
електронів з металу і напівпровідника
<
або
<
у приконтактній області напівпровідника
можна сформувати збіднений шар, який
забезпечує вентильні властивості
контакту (несиметрію ВАХ). При цьому
випрямна дія діодів з такими контактами
«метал-напівпровідник» (діодів Шотткі)
ґрунтується на перенесенні заряду лише
основними носіями, і тому в цих приладах
відсутнє явище інжекції неосновних
носіїв при вмиканні, а відтак явище
екстракції при вимиканні. Оскільки ці
явища є інерційними у часі, то діоди
Шотткі, позбавлені їх, виявляють
підвищену порівняно з діодами на основі
переходу
швидкодію.
На швидкодію і частотні властивості діодів Шотткі також суттєво впливають бар’єрна ємність контакту і розподілений опір бази. Зменшення першої досягається збільшенням товщини збідненого шару, що додатково впливає на збільшення пробивної напруги діода і зменшення ймовірності небажаного тунельного ефекту на потенційному бар’єрі. Зниження другого досягається збільшенням концентрації домішок у базі діода (для поліпшення частотних властивостей застосовують n-бази, бо електрони мають рухомість вищу, аніж дірки). Якщо мінімізація ємності контакту і опору бази є процесами суперечливими (адже одночасне задовільнення цих умов вимагає відповідно зменшувати концентрацію донорних домішок і разом з тим збільшувати її), то у конструкції діодів Шотткі доцільно застосовувати двошарову базу (рис. 2.13), де n-шар низьколегований, і в ньому переважно розміщується збіднена область бар’єра Шотткі, а n+-шар – високолегований, бо саме він забезпечує мале значення розподіленого опору бази.

Рисунок 2.13 - Будова діодів Шотткі
Таким чином, будова діодів Шотткі може бути такою, як показано на рис. 2.13.
На
рисунку: 1 – металевий анод; 2 – прошарок
оксиду; 3 – р-області
для створення запобіжного
переходу
(таке «запобіжне кільце» дозволяє
усунути периферійні лавинні пробої
структури і через це збільшити напругу
пробою до 250 В
у потужних приладах); 4 – область
просторового заряду (власне бар’єр
Шотткі); 5 – активний шар бази; 6 –
сильнолегована підкладка; 7 – омічний
контакт катода.
Ще однією перевагою діодів Шотткі є менше падіння напруги на приладі у відкритому стані (рис. 2.14).

Рисунок 2.14 - Прямі гілки ВАХ:
1 – діода Шотткі; 2 – діода на основі p-n переходу
Недоліком діодів Шотткі є більші приблизно на 3 порядки зворотні струми порівняно з діодами на основі p-n переходу.
Потужні
діоди Шотткі з площею переходу в декілька
квадратних міліметрів при
В,
А
і граничною частотою кілька сотень кГц
застосовуються в перемикачах джерел
живлення. Швидкодіючий бар’єр Шотткі
широко використовується в
ТТЛ-мікросхемотехніці.
Біполярний транзистор (БТ) – це електроперетворювальний напівпровідниковий прилад з одним, двома або кількома p-n переходами, який має три або більше виводів і здатний підсилювати потужність. Робота БТ ґрунтується на тому, що між його переходами існує взаємодія: змінюючи струм одного з переходів, можна керувати зміною іншого переходу (струмом через прилад). Малі розміри й маса, здатність працювати при малих напругах, висока механічна міцність, довговічність і зручність мікромініатюризації зумовили найширше використання цих приладів у електроніці впродовж останніх десятиріч.
1 За характером перенесення носіїв заряду розрізняють біполярні (БТ) та польові (ПТ) транзистори. БТ – це здебільшого двоперехідні прилади, у процесі струмопроходження яких беруть участь носії обох знаків: і основні, і неосновні. У польових транзисторів струм створюється рухом носіїв одного знака.
2 За кількістю переходів розрізняють одноперехідні, двоперехідні та багатоперехідні транзистори. Серед БТ найбільш поширені транзистори з трьома виводами.
3 За
типом провідності (послідовність
розміщення напівпровідникових областей)
розрізняють
-
-
та
-
-
транзистори.
4 За характером розподілу атомів домішок та руху носіїв у базі розрізняють дрейфові та бездрейфові БТ.
5 За величиною допустимої потужності, що розсіюється на електродах приладу, транзистори поділяють на малопотужні (до 0,3 Вт), середньої потужності (від 0,3 до 1,5 Вт) та потужні (більше 1,5 Вт).
6 За значенням граничної частоти розрізняють БТ: низькочастотні (до 3 МГц), середньої частоти (від 3 до 30 МГц) та високочастотні (більше 30 МГц).
Згідно з ГОСТ 10862-72 система позначень транзисторів налічує 6 елементів:
1-й – буква або цифра, що означає матеріал виготовлення приладу (Г/1/ - германій або його сполуки, К/2/ - кремній або його сполуки);
2-й – буква, що визначає підклас приладу (Т – біполярний, П – польовий транзистор);
3-й – цифри від 1 до 9, характеризують призначення транзистора згідно з таблицею 3.1;
Таблиця 3.1
|
Транзистор |
Малої потужності |
Середньої потужності |
Потужний |
|
Низької частоти |
1 |
4 |
7 |
|
Середньої частоти |
2 |
5 |
8 |
|
Високої частоти |
3 |
6 |
9 |
4-й та 5-й – цифри від 01 до 99, визначають порядковий номер розробки транзистора;
6-й – літери від А до Я, показують параметричну групу технологічного типу.
Позначення площинних БТ, що розроблялися до 1964 р., але мають застосування й сьогодні, складаються з двох або трьох елементів:
1-й – буква “П” (або “МП” – для БТ з уніфікованим корпусом);
2-й – число (номер), що визначає призначення транзистора згідно з таблицею 3.2;
3-й – буква, що означає різновид транзистора.
|
Транзистори |
Германійові |
Кремнійові |
|
|
Низької частоти |
Малопотужні |
Від 1 до 100 |
Від 101 до 200 |
|
Потужні |
Від 201 до 300 |
Від 301 до 400 |
|
|
Високої частоти |
Малопотужні |
Від 401 до 500 |
Від 501 до 600 |
|
Потужні |
Від 601 до 700 |
Від 701 до 800 |
|
Приклади позначень транзисторів: ГТ 605А – германієвий біполярний транзистор середньої потужності високої частоти широкого використання, номер розробки 05, група А; 2Т 144А – кремнієвий біполярний транзистор малої потужності низької частоти для пристроїв спеціального призначення, номер розробки 44, група А.
Таблиця 3.2
|
Транзистор |
Германієвий |
Кремнієвий |
|
|
Низької частоти |
малопотужний |
Від 1 до 100 |
Від 101 до 200 |
|
потужний |
від 201 до 300 |
Від 301 до 400 |
|
|
Високої частоти |
малопотужний |
Від 401 до 500 |
Від 501 до 600 |
|
потужний |
Від 601 до 700 |
Від 701 до 800 |
|