.
Після спрощень, одержуємо
.
(5.4)
Таким чином, знаючи густини ρт, ρр, прискорення вільного падіння g, вимірюючи радіус R і швидкість рівномірного руху Vo, можна розрахувати коефіцієнт в’язкості.
Будемо вивчати рух рідин і газів. Введемо кілька понять.

Лінії,
дотичні до яких у кожній точці співпадають
з вектором швидкості
рис.(5.3), називаються лініями
току. Поверхня,
утворена лініями току, що проходять
через будь-яку замкнуту лінію, називається
трубкою току.
Стаціонарним називається такий потік рідини або газу, при якому лінії току не змінюються з часом.
Розглянемо рух рідини, або газу по трубці току (рис.5.4) в таких припущеннях: 1) густина вздовж трубки току однакова; 2) будемо нехтувати нагріванням рідини, або газу за рахунок сил внутрішнього тертя, тобто вважатимемо систему консервативною; 3) рух стаціонарний.
Введемо позначення: S1, S2 – площі перерізу трубки на вході і виході відповідно; Р1, Р2 – тиск на об’єм рідини в трубці току з боку
р
ідини,
яка знаходиться за межами трубки току;
V1,
V2
– середні по перерізу швидкості течії;
h1,
h2
– висоти положення середніх ліній
трубки від нульового рівня потенціальної
енергії Еп.
Знайдемо масу рідини ∆m1, яка втікає в трубку току за час ∆t, і масу ∆m2, яка витікає з неї за цей же час. На рис.5.4 це маси заштрихованих об’ємів, які мають форму циліндрів. Тому
![]()
В стаціонарному режимі течії ці маси однакові. Таким чином маємо умову нерозривності стаціонарної течії:
(5.5)
швидкість течії більша в місці з меншою площею поперечного перерізу труби.
Застосуємо до рідини, яка знаходиться в трубці току, закон збереження механічної енергії. Система консервативна (див. припущення 2) і незамкнута. Сили тиску Р1 і Р2 являються зовнішніми силами для вибраної системи. Робота цих сил за час ∆t іде на зміну кінетичної і потенціальної енергії рідини масою ∆m
.
Даний
метод оснований на вимірюванні витрати
рідини (газу) при протіканні їх по круглій
трубі. Витрата - це маса речовини, яка
протікає через трубу за одиницю часу.
Для її розрахунку знайдемо спочатку
закон розподілу швидкості руху речовини
по перерізові труби, так як вона в різних
точках перерізу різна. Дійсно, біля
стінок швидкість дорівнює нулю і зростає
до центру перерізу.
Розглянемо
в потоці рідини (газу) елементарний
об’єм у формі циліндра радіусом r
і довжиною dx,
вісь якого співпадає з віссю труби
(рис.5.5). Він рухається під дією сил тиску,
що діють на основи
і
,
а також сила внутрішнього тертя, яка
діє по бічній поверхні
.
Стаціонарний рух цього елементу буде
при умові
,
тобто
,
або
.
(5.7)
У
випадку стаціонарного режиму течії
падіння тиску на одиниці довжини труби
є величиною сталою і дорівнює
,
де
Р1
і Р2
– тиск на вході і на виході труби
відповідно,
-
довжина труби. Рівняння (5.7) набуде
вигляду
.
Після інтегрування
.
Константу інтегрування знайдемо із
граничної умови: при r
= R
V
= 0. Одержимо
.
Тоді розподіл швидкості по перерізу
труби як функція радіуса r
буде мати вид
(5.8)
квадратної параболи (див. рис.5.5).

Знайдемо
витрату рідини. Виберемо в перерізі
труби кільце радіусом r
і шириною dr
(рис.5.6, заштриховано). Вісь труби співпадає
з центром цього кільця. Тому швидкість
руху рідини по всій площі кільця однакова
і задається виразом (5.8). Об’єм рідини,
який пройде через це кільце за час dt,
буде мати форму трубки довжиною V∙dt
радіусом r
і товщиною стінки dr.
За цей час протече маса рідини
Поділивши
це рівняння на об’єм рідини, яка втікає
і витікає з труби за час ∆t,
тобто на вираз
,
і врахувавши, що відношення маси до
об’єму дає густину, одержуємо рівняння
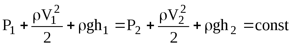
Д. Бернуллі
.
(5.6)
Сума
статичного тиску Р, динамічного
і
гідравлічного
напорів для будь-якого перерізу труби
є величиною сталою.
Така закономірність течії лежить в основі дії пульверизатора, карбюратора, водоструменевого насосу, витратомірів і т.д.
dm = ρ∙V∙dt∙2πr∙dr.
Тоді
витрата рідини через вибране кільце
буде дорівнювати
.
Через увесь переріз витрата знаходиться
шляхом інтегрування по радіусу в межах
від 0 до R
.
(5.9)
Звернемо увагу на досить сильну залежність витрати від радіуса труби М ~ R4.
Таким
чином, знаючи густину рідини і вимірявши
експериментально витрату М, тиски Р1,
Р2
та геометричні розміри R і
,
знаходять в’язкість
.
(5.10)

Є
два режими течії рідини (газу): ламінарний
і турбулентний. При ламінарному режимі
лінії току на перетинаються (рис.5.7,а) і
шари рідини (газу) не перемішуються. При
турбулентному режимі шари перемішуються,
а лінії току перетинаються як між собою,
так і самі себе (рис.5.7,б).
Англійський фізик О. Рейнольдс ввів безрозмірний критерій режиму течії (число Рейнольдса)
,
(5.11)
де
V
– швидкість течії, ℓ - характерний
поперечний розмір труби (діаметр для
круглих труб, діагональ для прямокутних),
ν – кінематична в’язкість -
,
η – коефіцієнт в’язкості, ρ – густина.
При Rе < 1 режим ламінарний, при Rе > 1 – турбулентний. Слід зауважити, що це не строгий критерій, наприклад, значення Rе = 1,1 ще не означає, що режим течії турбулентний. Потрібні додаткові дослідження. Але при значенні Rе = 2 можна бути впевненим, що режим течії турбулентний.
При русі тіл в рідинах і в газах на них діють дві сили: 1) сила лобового опору Fл.о. направлена проти швидкості; 2) підіймальна сила перпендикулярна до швидкості руху.
При малих швидкостях сила лобового опору зумовлена в основному силами внутрішнього тертя. При великих швидкостях (точніше при великих числах Рейнольдса) переважну роль грає різниця тисків. Попереду тіла тиск більший, ніж позаду (утворюється розрідження) (рис.5.8). Різниця сил тиску направлена проти швидкості.
С
ила
лобового опору
,
(5.12)
д
е
S
– максимальна площа перерізу тіла
п
лощиною,
перпендикулярною до вектора швидкості
,
Сх
– коефіцієнт лобового опору, величина
стала і залежить від форми тіла і напрямку
руху (рис.5.9).
Молекулярна фізика – це розділ, який вивчає фізичні властивості і агрегатні стани речовин в залежності від їх молекулярної будови і сил взаємодії між молекулами. Вона базується на трьох основних положеннях:
– всі тіла складаються з молекул і атомів;
– молекули і атоми хаотично рухаються;
– між молекулами і атомами існують сили взаємодії.
Молекулярно-кінетична теорія пояснює властивості тіл виходячи с характеру руху молекул і сил взаємодії між ними. Враховуючи, що кількість молекул дуже велика (в 1см3 газу при нормальних умовах міститься 2,69∙1019молекул), вивчення систем такої великої кількості частинок не можна звести до вивчення руху кожної молекули. В таких системах проявляються специфічні статистичні закономірності. Наприклад, швидкості молекул можуть бути самими різними і знати всі їх значення неможливо, та і безкорисно, тим більше, що вони весь час змінюються при зіткненнях. А ось середнє значення швидкості залишається сталим і характеризує стан системи.
Н
априклад,
тиск газу зумовлений ударами молекул
об стінки посудини зазнає флуктуацій
з часом (рис.6.1), але його середнє значення
не змінюється і його можна виміряти
експериментально. Таким чином, задача
молекулярно-кінетичної теорії – це
знаходження середніх значень фізичних
величин, які характеризують системи
великої кількості частинок і які можна
виміряти експериментально. Для цього
використовується статистичні методи,
в основі яких лежить теорія ймовірності.
Системи великої кількості частинок вивчає іще один розділ фізики – термодинаміка. Це вчення про зв’язок і взаємні перетворення енергії, теплоти і роботи. Термодинаміка наука феноменологічна (описова). Вона не дає пояснення тих чи інших явищ, властивостей на молекулярному рівні, а встановлює зв’язок між параметрами системи, наприклад, тиском, об’ємом, температурою, кількістю теплоти, роботою, ентропією, вільною енергією і т.д.
Обидва розділи доповнюють один одного.
Ідеальний – це газ, в якому нехтують власним об’ємом молекул і силами взаємодії між ними.
Стан газу характеризується такими величинами: m – маса, P – тиск, V – об’єм, T – абсолютна температура. Закони ідеального газу встановлюють зв’язок між цими параметрами.
Ізотермічний закон (закон Бойля-Маріотта) m = const, T= const: при незмінній масі і температурі добуток тиску на об’єм залишається незмінним
.
(6.1)
Г
рафіки
цього закону зображені на рис.6.2 в різних
координатах.
Ізобарний закон (закон Гей-Люсака) m = const, P = const: при незмінній масі і тискові об’єм газу прямо пропорційний температурі