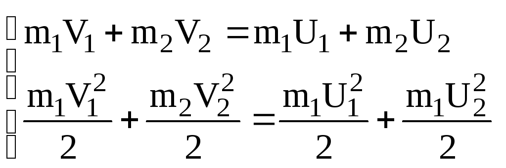
Абсолютно пружний удар. Маємо систему рівнянь:
.
(4.26)
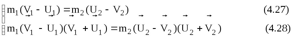
Знаходимо із цієї системи швидкості тіл U1 і U2 після удару. Перепишемо систему так:
.
Розкладемо у другому рівнянні різницю квадратів
Враховуючи
(4.27) після скорочення (4,28) одержимо
систему лінійних рівнянь

Помноживши
(4.30) на m2
і віднімаючи із
(4.29), знаходимо
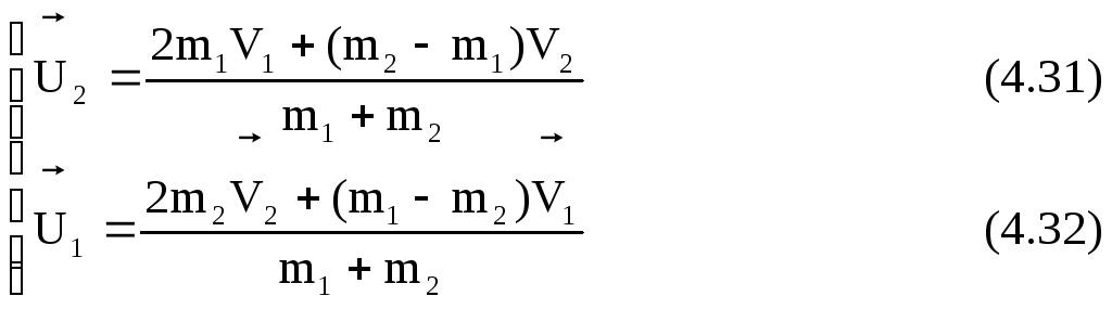
.
Помноживши (4.30) на m1
і додаючи до (4.29), знаходимо
![]()

Розглянемо два випадки співвідношення мас:
а) m1 = m2 =m, тобто маси тіл однакові. У цьому випадку маємо
,
тобто тіла „обмінюються” швидкостями;
б) m2 >> m1 – легке тіла m1 ударяє по масивному m2. Одержимо
.
Швидкість масивного тіла m2
не змінюється,
а швидкість легкого тіла змінюється на
подвоєну початкову швидкість масивного
тіла. Якщо легке тіло m1
наздоганяє масивне
m2,
швидкість легкого тіла зменшується на
подвоєну швидкість V2
масивного.
Якщо легке тіло m1
рухається назустріч масивному m2,
то його швидкість збільшується на
подвоєну швидкість V2
масивного тіла.
Критерієм пружного чи пластичного удару є коефіцієнт відновлення k. Це відношення відносних швидкостей тіл до і після удару
. (4.33)
Для абсолютно пластичного удару k = 0, для абсолютно пружного k = 1.
Перша космічна швидкість - це швидкість, яку необхідно надати тілу, щоб воно стало штучним супутником Землі. При його польоті по орбіті радіусом r сила гравітаційного притягування надає йому доцентрового прискорення.
,
(4.34)
де
- прискорення вільного падіння на висоті
.
Космічні польоти здійснюються на висоті близько сотні кілометрів, а радіус Землі 6300 км. Тому можна вважати, що радіус орбіти штучного супутника дорівнює радіусу Землі. Тоді r = Rз, g = go = 9,8 м/с2;
.
Друга космічна швидкість – це така швидкість тіла, коли воно за рахунок своєї кінетичної енергії може вийти за межі гравітаційного поля Землі. Знайдемо її із закону збереження енергії: кінетична енергія тіла дорівнює роботі сил гравітаційного поля при переміщенні від поверхні Землі до нескінченності, тобто маємо
.
При вивченні обертального руху тіл зручно ввести таку ідеалізацію, як абсолютно тверде тіло. Це такі тіла, в яких не виникають деформації, які б сили на нього не діяли. Зручність полягає в тому, що радіус обертання для таких тіл не змінюється, а отже і зв’язок між кутовими і лінійними характеристиками буде однозначним (як відомо з § 2.7, він здійснюється через радіус). Тому для вивчення обертального руху тіла досить знайти кутові характеристики однієї його точки.
Результат
дії мимобіжної з віссю обертання сили
F
на тіло, яке має нерухому вісь обертання,
залежить не тільки від величини сили,
а і від точки її прикладання та напрямку
дії. Дійсно, сила паралельна осі обертання
намагається здвинути його вздовж осі,
а не повернути. Сила, яка перетинає вісь,
намагається її зігнути і не приводить
тіло в обертальний рух. Ці сили
зрівноважуються силами реакції опори
осі. Сила ж, яка не проходить через вісь
обертання і не паралельна їй приводить
тіло в обертальний рух. В цьому випадку
мірою дії сили на рух тіла є не сама
сила, а її момент.
М![]()
оментом
сили
називається векторний добуток
радіус-вектора
точки
прикладення сили (рис.4.12) і сили
,
проекції сили
на площину, перпендикулярну до осі
обертання
(4.35).
Цей
вектор направлений вздовж осі обертання
у відповідності з правилом правого
гвинта: при обертанні правого гвинта
разом з тілом вектор
співпадає з поступальним рухом гвинта,
в нашому випадку вгору.
Розкриваючи
векторний добуток, і враховуючи, що
,
одержуємо
![]()
.
(4.36)
Тут
р – плече сили – це довжина перпендикуляра,
опущеного з осі обертання на напрямок
дії сили
.
Парою сил називають дві паралельні протилежно направлені однакові за величиною сили.
М
оментом
пари
сил називають добуток однієї з сил на
плече пари, тобто на відстань р
між лініями
дії сил (рис.4.13). Момент пари сил не
залежить від наявності і положення осі
обертання. Дійсно, враховуючи , що моменти
сил F1
і
F2
протилежно
направлені (рис.414) і
,
результуючий момент буде дорівнювати
.
(4.37)

Нехай
деяке тіло може обертатись навколо
закріпленої осі. Виділимо елемент ∆mi
цього тіла, положення якого задається
радіус-вектором
. На цей елемент діють зовнішні сили
і внутрішні сили
,
тангенціальні складові яких
і
надають йому дотичного прискорення
.
Записуємо другий закон Ньютона для
цього елементу
(4.38)
Щоб
перейти до моментів сил рівняння (4.38)
векторно домножаємо на радіус-вектор
![]()
.
Так як
,
маємо
.
(4.39)
Звернемо увагу, що кутове прискорення не має індексу і так як воно
для всіх точок тіла однакове.
Скориставшись формулою подвійного векторного добутку
,
спростимо праву частину (4.39)
![]()
,
так як радіус-вектор і кутове прискорення
взаємно перпендикулярні. Візьмемо суму
по всьому об’єму тіла
.
Тут перший доданок є векторна сума
моментів зовнішніх сил, які діють на
тіло
,
другий доданок – це векторна сума
внутрішніх сил. Вона дорівнює нулю, так
як в противному випадку елемент ∆mi
рухався б відносно інших елементів. А
це означало б можливість деформації
тіла, що ми виключили, ввівши поняття
абсолютно твердого тіла. Отже
.
Вираз
,
або
(4.40)
залежить від розподілу маси тіла відносно осі обертання і називається моментом інерції тіла. Це міра інертності тіла в обертальному русі, аналог маси в поступальному русі. Вимірюється момент інерції в кг∙м2. Таким чином, основне рівняння динаміки обертального руху набуває виду
.
(4.41)
Враховуючи,
що
,
рівняння (4.41) прийме вид
.
(4.42)
Величина
,
яка дорівнює добутку моменту інерції
на кутову швидкість, називається моментом
імпульсу
(аналог імпульсу
в поступальному русі).
Якщо система замкнута, тобто сума моментів зовнішніх сил дорівнює нулю, то момент імпульсу системи не змінюється (зберігається). Це є закон збереження моменту імпульсу, який аналогічний закону збереження імпульсу в поступальному русі.
|
Поступальний рух |
Обертальний рух |
|
S - шлях |
φ – кут повороту |
|
aτ –дотичне прискорення |
ε – кутове прискорення |
|
m - маса |
J – момент інерції |
|
F - сила |
М – момент |
|
P=mV - імпульс |
L=Jω – момент імпульсу |
|
|
|
|
|
|
|
|
|
|
|
|