Розв’язок в неінерціальній системі спостерігачем СI.
В
його неінерціальній системі тіло
знаходиться у стані спокою. Умова
рівноваги має вид
.
Величина сили інерції
,
а її напрямок уже врахований в попередньому
рівнянні. Маємо
таку ж відповідь.
В
системах, що обертаються, завжди виникає
нормальне (доцентрове) прискорення
.
Тому виникає сила інерції, направлена
проти цього прискорення, тобто від
центра кривизни. Ця сила інерції
називається відцентровою (Fв.ц.)
і дорівнює, як і в поступальних системах
.
(3.21)
![]()
Наряду
з цією силою інерції в обертальних
системах виникає іще одна сила інерції
– коріолісова сила, названа в честь
французького фізика Г.Г.Коріоліса (1792-1843),
який вперше її одержав теоретично. Вона
виникає тоді, коли відносна швидкість
тіла відмінна від нуля. З
’ясуємо
напрямок цієї сили. Нехай в системі, яка
обертається з кутовою швидкістю ω,
вздовж радіуса без тертя рухається куля
з відносною швидкістю Vo
(рис.3.13). В
інерціальній системі спостерігач С
буде бачити рух кулі по прямій ОА. Диск
же обертається, не впливаючи на рух кулі
із-за відсутності тертя. Спостерігач
СI
буде бачити рух кулі по дузі ОВ. Тому
він робить правомірний висновок, що на
кулю діє сила Fk
перпендикулярна до швидкості, яка і
змінює її напрямок. Це і є сила інерції
Коріоліса. Вона перпендикулярна до
векторів ω і Vo
і дорівнює
.
(3.22)
Таким чином, другий закон Ньютона записується в самому загальному випадку неінерціальних систем так:
.
(3.23)
Імпульсом
тіла
називається вектор, величина якого
дорівнює добутку маси тіла на його
швидкість. Напрямок вектора імпульсу
співпадає з вектором швидкості
.
(4.1)
Імпульс
системи тіл (
)
– це векторна сума імпульсів тіл цієї
системи
.
(4.2)
Імпульс
системи тіл можна знайти, ввівши поняття
центра мас системи (рис.4.1) Радіус-вектор
центра мас визначається рівнянням:

(4.3)
Взявши похідну за часом, одержимо
,
звідки
маємо, що імпульс системи тіл дорівнює
добутку маси системи на швидкість руху
її центра мас
.
Нехай
два тіла m1
і m2
взаємодіють з силами і.
На них діють зовнішні сили
і
(рис.4.2). Позначимо
![]()
і
- швидкості
тіл в момент часу t,
і
- швидкості
в момент часу t+dt.
Запишемо другий закон Ньютона для
кожного тіла

Додаємо ці рівняння
.
(4.4)
По
третьому закону Ньютона
як внутрішні сили.
Якщо
векторна сума зовнішніх сил дорівнює
нулю
,
система називається ізольованою, або
замкнутою. Для такої системи із (4.4)
одержуємо
,
тобто векторна
сума імпульсів замкнутої системи
залишається незмінною. Це є закон
збереження імпульсу. Якщо ж система не
замкнута, то її імпульс змінюється на
величину імпульсу зовнішніх сил
.
В основі реактивного руху лежить закон збереження імпульсу. Від тіла з певною швидкістю відокремлюється деяка маса. У відповідності із законом збереження імпульсу, швидкість руху тіла теж буде змінюватись, тобто це рух тіла змінної маси. Типовим прикладом реактивного руху є рух ракети. Продукти згорання палива викидаються через сопло ракети, тоді її корпус рухається в протилежному напрямку (рис.4.3).
Знайдемо рівняння, яке описує рух ракети, та швидкість її руху. Введемо позначення:
m – маса ракети в момент часу t;
![]()
-
миттєва
швидкість корпусу ракети відносно
вибраної системи координат x,y,z;
-
швидкість
продуктів згорання палива віднос-но
цієї ж системи координат x,y,z;
-
зміна швидкості корпусу ракети;
dm – маса викинутих за час dt продуктів згорання;
-
рівнодіюча зовнішніх сил.
З
апишемо
другий закон Ньютона: імпульс сили
дорівнює зміні імпульсу системи
„ракета-продукти згорання”
![]()
![]()
Нехтуючи
доданком
,
який набагато менший, ніж інші, так як
є добуток двох нескінченно малих величин,
одержуємо
.
Векторна сума
дає швидкість
витоку газів відносно корпусу ракети.
Її величина залишається незмінною, так
як вона визначається конструкцією сопла
реактивного двигуна. Рівняння
(4.5)
називається
рівнянням І.В.Мещерського (російський
вчений, 1859-1935). Другий доданок в рівнянні
(4.5) має розмірність сили і називається
реактивною силою, яка виникає за рахунок
зміни маси тіла з часом
.
К.Е.Ціолковський
(російський вчений, 1857-1935) розв’язав
рівняння (4.5) Мещерського для випадку
відсутності зовнішніх сил
з початковими умовами: при t
= 0 V
= 0, m
= mo
–стартова маса ракети. В скалярній
формі рівняння (4.5) в проекції на
вертикальну вісь z має вид
.
Інтегрування дає
. (4.6)
Це рівняння К.Е.Ціолковського. Воно показує, що кінцева швидкість ракети пропорційна відносній швидкості витоку газів і тим більша, чим більше відношення стартової маси mo до кінцевої маси m. Щоб збільшити це відношення, Ціолковський запропонував багатоступеневі реактивні двигуни. Конструктивно неможливо виготовити легкий корпус двигуна, заправивши в нього велику масу палива. Модульний же корпус дає можливість збільшити відношення mo/m, а значить і кінцеву швидкість ракети.
Поняття
механічної роботи пов’язане з
переміщенням. Якщо під дією сили
тіло переміщується на відстань
(рис.4.4), то елементарна механічна робота
(4.7)
д
орівнює
скалярному добутку сили на переміщення.
На графіку залежності сили від переміщення
(рис.4.5) вона відповідає площі заштрихованої
області. Вся робота змінної сили
знаходиться як інтеграл
(4.8)
і чисельно дорівнює площі, обмеженій лініями r1, r2, віссю Or абсцис і кривою F(r). Вимірюється робота в джоулях [A]=H∙м = Дж.
Потужність – це швидкість виконання роботи, тобто це робота, виконана за одиницю часу
(4.9)
і дорівнює скалярному добутку сили і швидкості. Потужність вимірюється у ватах [P] = Дж/с = вт. Позасистемною одиницею потужності є кінська сила 1к.с. = 735 вт.
Фізична величина, яка характеризує здатність тіла виконувати роботу, називається енергією і вимірюється тією роботою, яку може виконати тіло. До механічної енергії відносяться два види енергії у відповідності з тим, за рахунок чого може бути виконана робота: - кінетична енергія, коли робота виконується за рахунок руху тіла; - потенціальна енергія, коли робота може бути виконана за рахунок положення тіл, або взаємного положення частин тіла (за рахунок деформації). Вимірюється енергія в одиницях роботи, в Дж.
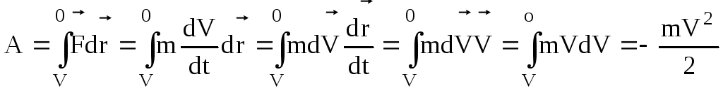
Знайдемо вираз для кінетичної енергії, яка дорівнює роботі тіла за рахунок руху до зупинки. Враховуючи (3,3), одержуємо
(4.10)Знак
(-) мінус показує, що кінетична енергія
(4.11) при виконанні роботи зменшується.
Звертає на себе увагу, що кінетична
енергія не може бути від’ємною, тобто
Ек
≥
0.
Потенціальна
енергія
(енергія положення) вимірюється роботою,
яку необхідно виконати зовнішнім силам,
щоб перевести систему без зміни її
кінетичної енергії із одного стану в
інший.
Знайдемо
потенціальну енергію тіла масою m
в
гравітаційному полі тяжіння Землі.
Початкове і кінцеве положення тіла
будемо задавати його висотами h1
і
h2
над поверхнею Землі (рис.4.6). Для переміщення
тіла без зміни його кінетичної енергії
( без зміни швидкості), тобто для
рівномірного переміщення із положення
1 в положення 2, до нього, у відповідності
з першим законом Ньютона, необхідно
прикласти силу
.
Робота цієї сили