Динаміка вивчає причину руху тіл. Вона поділяється на три розділи:
– класична динаміка вивчає рух тіл великої маси (набагато більшої, ніж маса атомів) з малими швидкостями (набагато меншими, ніж швидкість світла 3108 м/с). Вона базується на законах Ньютона;
– релятивістська динаміка вивчає рух тіл із швидкостями, близькими до швидкості світла;
– квантова механіка вивчає рух мікрочастинок.
Ми будемо розглядати спочатку класичну механіку.
1-й закон Ньютона ( закон інерції). Всяке тіло зберігає стан спокою або рівномірного прямолінійного руху до тих пір, поки дія інших тіл не виведуть його із цього стану. Властивість тіл зберігати набутий стан (спокою, чи руху) називається інертністю. Мірою інертності тіл є маса (m), яка в СІ вимірюється в кг. Маса одиниці об’єму (V) тіла називається густиною ρ
.
(3.1)
Є й інша редакція цього закону інерції, а саме: системи відліку, в яких тіла, що не зазнають дії інших тіл, знаходяться у стані відносного спокою, або рівномірного прямолінійного руху, називаються інерціальними. Всі системи відліку, які рухаються відносно інерціальної рівномірно і прямолінійно, або знаходяться у стані спокою, теж являються інерціальними. Всі інші системи неінерціальні. Закони Ньютона справедливі для інерціальних систем.
Сила
(F)
– це міра дії одного тіла на інше, яка
проявляється у виникненні прискорення
тіла, або в його деформації (зміні
розмірів і форми).
2-й
закон Ньютона.
Прискорення (
),
з яким рухається центр маси тіла С
(рис.3.1), прямо пропорційне Рисунок.3.1
векторній сумі сил, що діють на нього (рівнодіючій), обернено пропорційне масі тіла, направлене в сторону рівнодіючої і прикладене в центр маси тіла
. (3.2)
Якщо
хоч одна сила змінюється з часом, формула
(3.2) дає миттєве значення прискорення,
тобто в даний момент часу. З цього закону
визначається одиниця сили Ньютон
.
3-й
закон Ньютона.
Два тіла взаємодіють з силами
F1
і F2,
однаковими за величиною і протилежними
за напрямком. Вони не зрівноважують
одна іншу, так як прикладені до різних
тіл
.
Враховуючи,
що прискорення
,
формула (3.2) 2-го закону Ньютона набуде
виду
.
(3.3)
Тут
добуток маси тіла на швидкість його
руху називається імпульсом
.
Це векторна фізична величина. Швидкість
його зміни з часом дає силу. Змінити ж
імпульс тіла можна не тільки за рахунок
зміни швидкості, а і за рахунок зміни
його маси. Тому формула (3.3) 2-го закону
Ньютона є більш загальною. Таке
формулювання дає можливість вивчати
рух тіл змінної маси, наприклад, рух
ракети.
Ізольованою (замкнутою) називається система тіл, на які не діють зовнішні сили, або їхня рівнодіюча дорівнює нулю. Тобто тіла взаємодіють тільки між собою з внутрішніми силами.
При
формула (3.3) дає
.
Тобто, імпульс ізольованої (замкнутої)
системи не змінюється. Вектор імпульсу
системи тіл знаходиться як векторна
сума імпульсів усіх тіл цієї системи.
В цьому полягає суть закону збереження
імпульсу. Задамось запитанням: чи можуть
швидкості усіх тіл замкнутої системи
одночас-но збільшуватись? Можуть, так
як це векторний
закон.
Динаміка розв’язує дві взаємно-обернені задачі:
– по відомим траєкторії і закону руху знаходять можливі сили, що діють на тіло;
– по заданим силам знаходять траєкторію і закон руху тіла.
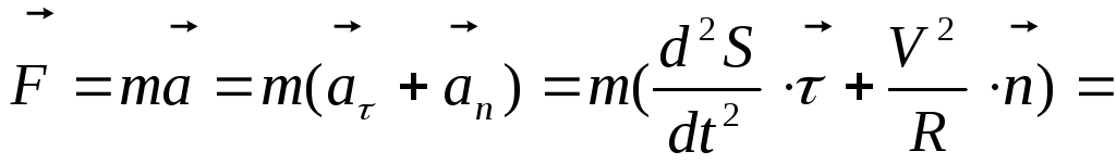
Розглянемо першу задачу.
Задано: траєкторія графічно (рис.3.2), або аналітично і закон руху будь-яким способом, наприклад, звичайним S=S(t).
З
найти:
силу F-?
П
о
траєкторії, знаходять одиничні вектори
, а також радіус R її кривизни. Тоді
згідно з другим законом Ньютона
![]()
![]()

Якщо
рух тіла по колу радіусом R
(рис.3.3)
заданий
кутовою
координатою, яка змінюється по закону
φ = φ(t),
то сила
знаходиться
так:
![]()
Сила
направлена перпендикулярно до дотичної,
тобто до центра кривизни траєкторії.
Тому її ще називають доцентровою силою.
Як бачимо, перша задача динаміки
розв’язується шляхом диференціювання.
Розглянемо другу задачу динаміки.
Задано:
закон зміни сили
як функцію часу, швидкості, шляху.
Знайти: закон руху S = S(t).
Вона розв’язується інтегруванням. Окрім сили повинні бути задані і початкові умови, так як під дією однієї і тієї ж сили, але при різних початкових умовах, характер руху тіла різний. Наприклад, рух тіла під дією сили тяжіння з різними початковими умовами може бути:
вільне падіння; рух тіла, кинутого вертикально вгору; рух тіла, кинутого під кутом до горизонту; рух по колу – штучний супутник Землі.
Так як в загальному вигляді ця задача не розв’язується, розглянемо два приклади.
Приклад 1. Тіло масою m рухається під дією сили, яка не змінює напрямку і пропорційна часу F = k∙t. Початкові умови:
при t = 0 V = Vo, S = So.
Так як сила не змінює напрямку, тіло буде рухатись по прямій лінії. Знайдемо закон зміни швидкості і шляху від часу. Записуємо другий закон Ньютона
![]()
За
означенням (2.2) швидкість
![]()
![]()
.
Приклад
2.Тіло
масою m
рухається
прямолінійно під дією сили опору, яка
пропорційна швидкості
.
Початкові умови:
при t = 0 V = Vo, S = So.
Знайдемо закон зміни швидкості і шляху від часу. Записуємо другий закон Ньютона
![]()
.
Константу інтегрування С1
знайдемо, підставивши початкові умови.
Одержимо, С1=lnVo.
Отже,
.
![]()
.
Підстановка початкових умов дає
Отже,
,
або
.
Намалюємо графіки V(t)
і S(t).

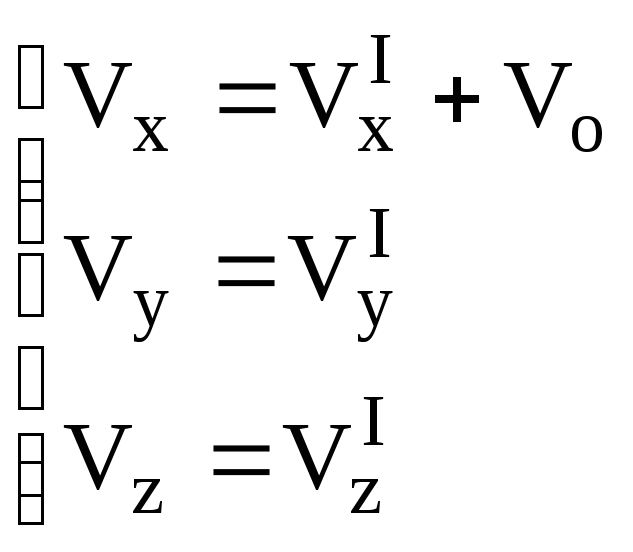
Розглянемо
інерціальну систему К(x,y,z) і систему
К1(x1,y1,z1),
яка рухається відносно системи К з
постійною швидкістю
вздовж осі х. Для простоти
будемо
вважати, що осі y
і z
паралельні осям y1
і z
1
відповідно. Нехай начала координат 0 і
01
в початковий момент часу співпадають
(рис.3.4). Тоді запишемо очевидні із рис.3.4
співвідношення між координатами в
якийсь момент часу t
= t1:
![]()

.
(3.4)
Рівняння (3.4) називаються перетвореннями координат Галілея, які справедливі для швидкостей набагато менших від швидкості світла.
Розглянемо наслідки цих перетворень.
Візьмемо перші похідні за часом

,
або
(3.5)
Одержали
правило складання швидкостей в класичній
механіці: абсолютна швидкість
дорівнює
векторній сумі відносної
і переносної
швидкостей.
Наприклад, човен пливе по річці. Швидкість течії ріки – це переносна швидкість, відносна – це швидкість човна відносно води, тобто в стоячій воді, абсолютна – це результуюча швидкість човна відносно берега.
б) Візьмемо ще раз з рівняння (3.5) похідні за часом
.
Так як
,
,
або
.
У всіх інерціальних системах прискорення однакове, або кажуть, що другий закон Ньютона інваріантний (незмінний) в усіх інерціальних системах відліку.
Принцип відносності Галілея: У всіх інерціальних системах відліку одні і ті ж механічні явища протікають однаковим чином і ніякими механічними дослідами, які проводяться всередині інерціальної системи, неможливо встановити – рухається вона чи ні.