Криволінійний
інтеграл виду
називається циркуляцією вектора, в
даному випадку напруженості магнітного
поля. Знайдемо її значення на прикладі
магнітного поля, створеного прямолінійним
нескінченним провідником із струмом
І. Виберемо довільний замкнутий контур
ℓ, який охоплює провідник (рис.9.12).
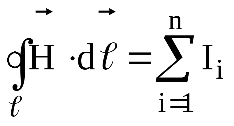
Враховуючи (9.13), а також те, що
,
одержимо

У
загальному випадку
(9.23)
Циркуляція вектора напруженості магнітного поля дорівнює алгебраїчній сумі струмів, які охоплює цей контур. Це співвідношення називають ще законом повного струму. В (9.23) струми, напрямок яких співпадає з поступальним рухом правого гвинта, який обертається в напрямку обходу контуру, беруться зі знаком (+), а протилежні - зі знаком (-). Слід зауважити, що форма контуру ℓ може бути довільною.
Той факт, що циркуляція вектора напруженості магнітного
поля відмінна від нуля , свідчить про те, що магнітне поле не потенціальне, а вихрове.
Застосуємо закон повного струму (9.23) для розрахунку магнітного поля.
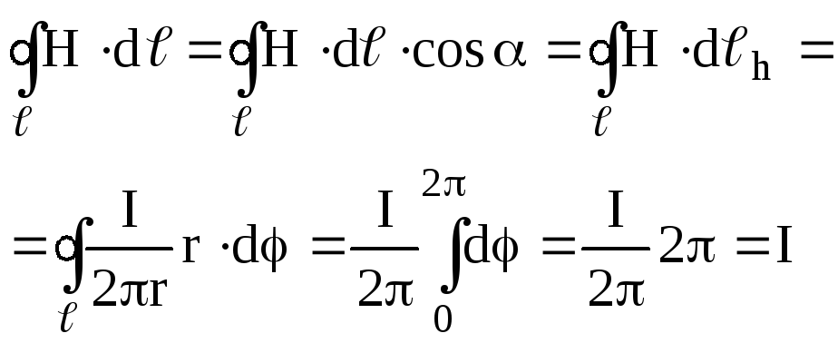
Приклад 1. Поле прямолінійного нескінченного провідника із струмом.
Т

ак
як форма контуру не має значення, виберемо
його у формі кола, площина якого
перпендикулярна до провідника а центр
співпадає із провідником (рис.9.13). Це
дає право вважати, що величина вектора
напруженості у всіх точках контуру
однакова, а кут між вектором напруженості
і вектором
дорівнює 0о.
Тому маємо
.
Звідки одержуємо відому формулу (9.13)
.
П
риклад
2 .Поле
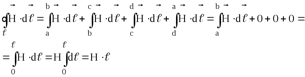
довгого соленоїда. Виберемо контур ℓ
у формі прямокутника рис.9.14. Будемо
нехтувати крайовими ефектами, тобто
будемо вважати, що магнітне поле
зосереджене всередині котушки, а за її
межами напруженість дорівнює нулю.

Сума
струмів дорівнює
.
Одержуємо
.
Отже
напруженість
,
а індукція
,
як і по формулам (9.16).
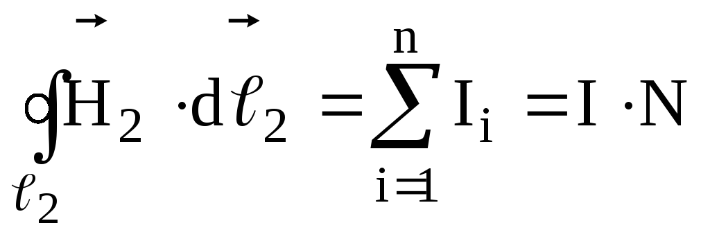
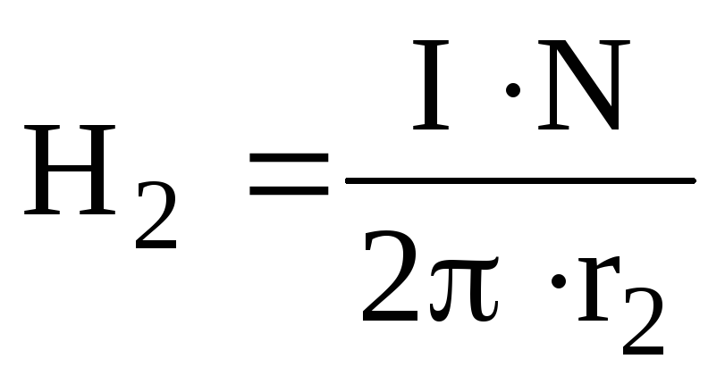
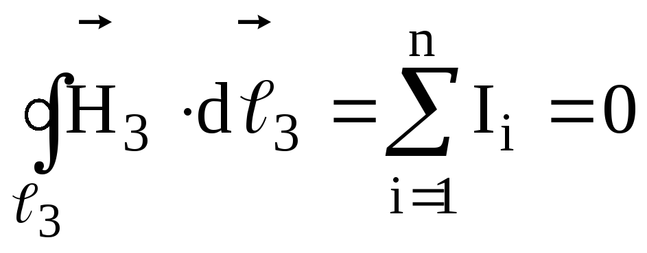
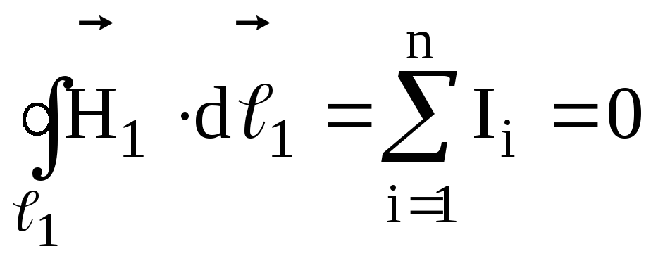
Приклад 3. Поле тороїда. Тороїд – це котушка, намотана на тороїдальний сердечник (бублик) (рис.9.15,а). Переріз тороїда показаний на рис.9.15,б. Розрахуємо напруженість магнітного поля для трьох областей: 1) всередині осердя; 2) в осерді; 3) зовні за межами осердя. Виберемо в кожній області кільцевий контур ℓ радіусом r і запишемо для кожного із них закон повного струму (9.23).
а
).
r
< R1.
,
так як в контур не потрапляє ні один
виток із струмом. Отже Н1
= 0.
б).
R1
< r2
< R2.
![]()
;
![]()

.
в). r3 > R2.
![]()
,
так як контур ℓ3
охоплює однакову кількість витків з
протилежно направленими струмами.
Таким чином, за межами осердя поле відсутнє, а всередині осердя
. (9.24)
В теорії магнетизму, так же, як і в електростатиці, вводиться поняття потоку вектора індукції (рис. 9.16)
.
(9.25)
Вn
– проекція
вектора індукції на перпендикуляр до
площадки.
![]()
На відміну від потоку вектора електростатичної індукції через замкнуту поверхню, який, як відомо (7.14), дорівнює алгебраїчній сумі зарядів, потік вектора індукції магнітного поля через довільну замкнуту поверхню дорівнює нулю
. (9.26)
Ц
е
є теорема Остроградського Гауса для
магнітного поля. Рівність нулю означає,
що лінії індукції магнітного поля
замкнуті і в природі не існує уособлених
джерел північного, або південного
полюсів магніту.
На
елементи контуру із струмом у магнітному
полі діють сили Ампера, які приводять
до повороту контуру, його деформації і
поступального руху. Розглянемо спочатку
поводження прямокутного контуру
розмірами а·b
в однорідному магнітному полі індукцією
В (рис.9.17). Сили Ампера
,
що діють на сторони b,
утворюють пару сил. Момент М цієї пари
сил (4.37)
![]()
повертає контур так, щоб вектор магнітного моменту контуру
(9.27)
співпав
з вектором індукції. Вектор Рm
н
аправлений
перпендикулярно
до площини контуру у відповідності з
правилом правого гвинта. У векторній
формі
.
(9.28)
Д
ругими
словами, контур повертається в таке
положення, щоб магнітний потік через
його площу був максимальним. В цьому
положенні площина контуру перпендикулярна
до магнітного поля, а сили Ампера
розтягують контур (рис.9.18).
В неоднорідному магнітному полі, коли силові лінії індукції не паралельні, виникає рівнодіюча сил Ампера, направлена вздовж поля (рис.9.19). Пара сил F┴ обертає контур, а сили FII рухаютьйого поступально вздовж поля.
Знайдемо
роботу dA
по переміщенню елемента провідника dℓ
із струмом
І у магнітному полі індукцією В. Сила
Ампера
переміщує провідник на відстань dx
(рис.9.20). Враховуючи
(9.1) і (9.25), знайдемо роботу

Одержуємо
,
або
,
(9.29)
щ
о
робота по переміщенню провідника із
струмом у магнітному полі дорівнює
добуткові струму на магнітний потік
через площу, яку описує провідник при
своєму рухові.
Перевіримо
розмірність
![]()
.
Знайдемо
роботу по переміщенню замкнутого контуру
зі струмом. Розіб’ємо контур на дві
частини (рис.9.21): ліву abc
і праву сda.
Нехай контур перемістився в положення
a1b1c1d1.
Позначимо початкову площу контуру S1,
кінцеву S2,
а фігури сс1b1a1ad
– S0.
Роботу по переміщенню контуру знайдемо
як алгебраїчну суму робіт по переміщенню
його частин, скориставшись формулою
(9.29). Врахуємо, що при вибраному напрямку
струму і магнітного поля сили Ампера,
які діють на частину abc
утворюють з напрямком переміщення тупі
кути. Тому ця робота буде від’ємною.
Робота по переміщенню частини cda
позитивна.
Одержуємо
.
Робота
,
або
(9.30)
дорівнює добуткові струму на зміну магнітного потоку через площу контуру.
Якщо маємо не один виток, а котушку з N витками, то робота буде в N разів більшою.
(9.31)
Добуток
магнітного потоку Ф на кількість витків
N
називається потокозчепленням
. (9.32)
Явище електромагнітної індукції було відкрите англійським фізиком М.Фарадеєм у 1821 році і заключається у виникненні електрорушійної сили і індукційного струму в замкнутому контурі при зміні магнітного потоку через площу, обмежену цим контуром. Величина е.р.с. дорівнює швидкості зміни магнітного потоку – це закон Фарадея
,
а якщо N
витків
. (9.33)
З
нак
(-) відображає правило
(закон) Ленца
про напрямок індукційного струму.
Індукційний струм має такий напрямок,
щоб своїм магнітним полем протидіяти
зміні основного магнітного поля. Це
зовсім не означає, що магнітне поле
індукційного струму протилежне основному.
Якщо потік зовнішнього поля зростає,
поле індукційного струму протилежне
йому, якщо ж потік зовнішнього поля
зменшується, то магнітне поле індукційного
струму співпадає з ним.
Е
лектрорушійна
сила виникає і в розімкнутому провіднику,
якщо він рухається в магнітному полі.
Під дією сили Лорентца
вільні електрони зміщуються до одного
кінця провідника. Відбувається розділення
зарядів (рис.9.22). Виникає електричне
поле напруженістю Е, яке діючи на заряд
з силою
,
перешкоджає подальшому перерозподілу
зарядів. В стаціонарному випадку ці
сили рівні між собою
.
Напруженість
.
Одержуємо для е.р.с.
. (9.34)