Дуговий розряд виникає при великих потужностях джерела живлення, коли стримери зливаються в один електропровідний канал. Дуговий розряд підтримується в основному за рахунок термоелектронної емісії з поверхні катода, який нагрівається до 3000о ÷ 4000оС за рахунок бомбардування його позитивними іонами. Наряду з цим іде і іонізація газу в розрядному проміжку.
Коронний розряд виникає при відносно високому тискові газу, як правило при атмосферному, в сильно неоднорідному електричному полі поблизу великої кривизни поверхні електродів. Напруженість поля сягає 3∙104 В/м. Корона може виникати як на негативному, так і на позитивному електродах.
У випадку негативної корони електрони прискорюються електричним полем поблизу катода і іонізують молекули газу. Позитивні іони бомбардують катод і вибивають з нього електрони. Це явище вторинної електронної емісії. По мірі віддалення від катода напруженість поля подає і електронні лавини обриваються.
В позитивній короні електронні лавини, які іонізують молекули, зароджуються в результаті об’ємної іонізації газу фотонами, які випромінюються короною. Прискорюючись до аноду, електрони іонізують газ.
У
1820 році датський фізик Г.Ерстед виявив,
що поблизу провідників із струмом
магнітна стрілка зазнає орієнтуючої
дії, тобто струм утворює магнітне поле.
Так як струм – це направлений рух
зарядів, постали питання: чи всякий
рухомий заряд утворює магнітне поле,
чи тільки вільні заряди? Яка роль іонів
кристалічної гратки?
Н
а
перше питання відповів А.А.Ейхенвальд.
Він у 1901 році провів дослід по виявленню
магнітного поля поблизу конвекційного
струму (рис.9.1). Заряджений диск приводився
в обертання. Виявилось, що незалежно
від знаку заряду, а також від того,
металевий а) чи діелектричний б) диск,
магнітна стрілка поблизу них орієнтувалась
певним чином. Причому, коли диски не
обертались, орієнтуючий ефект був
відсутній. Але роль кристалічної гратки
цими дослідами не була вияснена.
У
1911 році російський академік А.Ф.Іоффе
виявив магнітне поле, створене пучком
електронів (рис.9.2). Тепер електрони
рухались не в кристалічній гратці, а у
вакуумі.
Отже, всякий рухомий заряд утворює магнітне поле.
О
рієнтація
магнітної стрілки у магнітному полі
певним чином свідчить про те, що магнітному
полю властивий напрямок, а силові його
характеристики - величини векторні.
Прийнято, що напрямок магнітного поля
і його силової характеристики (індукції
)
вказує п
івнічний
полюс магнітної стрілки. Графічно
магнітне поле зображається лініями
індукції,
це лінії, дотичні до яких у кожній точці
співпадають з вектором індукції
(рис.9.3). Досліди показали, що лінії
індукції завжди замкнуті. Для прямолінійного
провідника зі струмом напрямок силових
ліній можна визначити за правилом
правого гвинта:
коли поступальний рух правого гвинта
співпадає зі струмом, напрямок його
обертання вказує напрямок ліній індукції.
Взаємодію
магнітного поля і провідників із струмом
детально вивчав французький фізик
А.Ампер. Він у 1820 році встановив, що с
ила,
яка діє на провідник із струмом прямо
пропорційна величині струму, довжині
провідника і синусу кута між струмом і
напрямком магнітного поля (рис.9.4) і
направлена перпендикулярно до провідника
і магнітного поля
.
(9.1)
Сила максимальна, коли α = 90о, тобто коли провідник із струмом перпендикулярний до магнітного поля. Тоді індукція
(9.2)
чисельно дорівнює силі, що діє на 1м прямолінійного провідника із струмом в 1А, який перпендикулярний до магнітного поля. Вимірюється індукція в системі СІ в теслах (Тл).
Якщо довжину провідника розглядати як вектор, напрямок якого співпадає із напрямком струму, то закон Ампера (9.1) можна записати у векторній формі
. (9.3)
Напрямок сили Ампера можна визначити по правилу лівої руки: якщо ліву руку розмістити так, щоб силові лінії входили в долоню, чотири витягнутих пальці направити по струмові, то відігнутий великий палець вкаже напрямок сили.
Закон
трьох французьких вчених Біо(1774-1862),
Савара(1791-1841) і Лапласа(1749-1827) – це
експериментальний закон, який визначає
індукцію
магнітного поля, створеного елементом
провідника довжиною
із струмом I
в точці, віддаленій від цього елементу
на відстань
(рис.9.5)
![]()
, (9.4)
або в скалярній формі
. (9.5)
Т
ут:
μ – відносна магнітна проникність
середовища, показує у скільки разів
індукція поля в середовищі більша, ніж
у вакуумі. Це безрозмірна величина; μо
= 4∙π∙10-7
Гн/м – магнітна стала, введена в системі
СІ для узгодження одиниць вимірювання.
В електростатиці аналогічною є
діелектрична стала εо.
Крім індукції, аналогічно електростатичному полю, вводиться ще одна силова характеристика магнітного поля – напруженість
. (9.6)
Закон Біо-Савара-Лапласа для напруженості
,
або
(9.7)
показує, що вона не залежить від магнітних властивостей середовища. Вимірюється напруженість в А/м.
Закон
Біо-Савара-Лапласа в магнетизмі
аналогічний закону Кулона в електростатиці.
Він використовується для розрахунку
магнітних полів, утворених провідниками
із струмом різних за формою, виходячи
із принципу
суперпозиції:
індукція (напруженість) магнітного поля
будь-якого провідника із струмом дорівнює
векторній
сумі індукцій (напруженостей), створених
у даній точці кожним елементом
провідника. Для цього необхідно
розрахувати криволінійні інтеграли
,
. (9.8)
Принцип суперпозиції використовується і для розрахунку магнітного поля декількох джерел, наприклад, провідників із струмом. Результуюче поле є векторною сумою полів від кожного джерела.
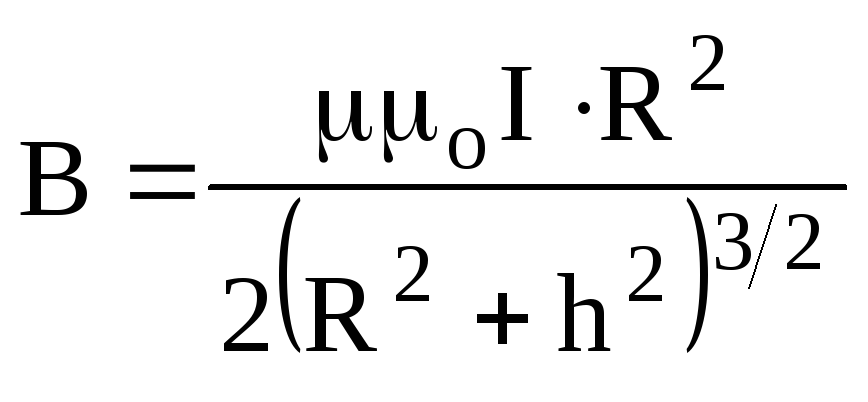
Знайдемо
напруженість магнітного поля на осі
колового провідника радіусом R, по якому
тече струм І. Положення точки задамо
висотою h від центра кола (рис.9.6). Спочатку
визначимо напрямок вектора
.
Для цього виберемо два однакових
діаметрально протилежних елементи
провідника
.
Вони створюють у даній точці вектори
напруженості
,
які перпендикулярні до відповідних
радіус-векторів і однакові за величиною.
Спроектуємо ці вектори напруженостей
на осі x
і y.
З рисунка видно, що
,
тобто попарно компенсуються. Проекції
на вісь у
направлені паралельно, тому будемо
додавати їх алгебраїчно. Таким чином
результуюч
ий
вектор направлений вздовж осі кільця
у відповідності з правилом
правого гвинта:
якщо обертати гвинт в напрямку струму,
його поступальний рух вздовж осі вказує
напрямок вектора напруженості.
По принципу суперпозиції (9.8), враховуючи (9.7), маємо
.
Кут
α між вектором
та
дорівнює 90о;
;
.
![]()
.
Так як
є довжина кола, одержуємо
;
.
(9.9)
В
центрі колового струму при h
= 0 одержуємо
;
.
(9.10)