2-й закон Вольта: КРП на кінцях послідовно з’єднаних різнорідних металів, контакти яких мають однакову температуру, не залежить від проміжних металів і дорівнює КРП при безпосередньому з’єднанні крайніх провідників.
Знайдемо в рамках класичної теорії електропровідності величину КРП між двома металами і перевіримо, чи пояснює вона закони Вольта.
По класичним уявленням КРП зумовлена двома факторами:
–різною
роботою виходу електронів із різних
металів. Це зовнішня складова КРП
;
–різною
об’ємною концентрацією електронів у
різних металів. Це внутрішня складова
КРП
.
З’ясуємо фізичну природу виникнення кожної із цих складових КРП та знайдемо їх величини.

Нехай
маємо два метали з різною роботою виходу
електронів, наприклад, А1
>
А2
(рис.8.11). В цьому випадку при однаковій
температурі густина електронної хмари
над другим металом буде більшою. Тому
після приведення металів у контакт
електрони із електронної хмари другого
металу будуть переходити в електронну
хмару першого металу. Внаслідок таких
переходів порушаться динамічні рівноваги
електронних хмар над обома металами.
Густина електронної хмари над першим
металом зростає. Тому зростає кількість
електронів, які повертаються в метал
1. Над другим металом густина хмари стала
меншою. Для відтворення динамічної
рівноваги із металу виходить тепер
більше електронів, і він заряджається
позитивно. Знайдемо величину
.
Для цього запишемо роботу по переміщенню
електрона вздовж зображеного на рис.8.11
контуру, враховуючи, що робота по
переміщенню заряду за межами контактного
поля дорівнює 0, а також, що і загальна
робота теж дорівнює 0 (див. розділ 7.4).
.
Одержуємо
![]()
.
(8.26)
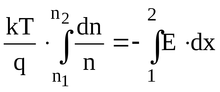
Внутрішня
КРП виникає за рахунок переходу електронів
із одного металу в інший внаслідок їх
дифузії із областей з більшою концентрацією,
наприклад, n2,
в метал з меншою концентрацією n1
(рис.8.12). Виділимо в граничному шарі
контакту нескінченно малий циліндр
довжиною dx
і
площею основи
dS.
Позначимо концентрацію і „тиск”
електронного газу на лівій основі
відповідно n
і P,
а на правій n+dn
і P+dP.
Зміна електронного „тиску”, у
відповідності з основним рівнянням
молекулярно-кінетичної теорії (6.14),
дорівнює dP
= kT∙dn,
а сила тиску dFp
= dP∙dS
= kT∙dn∙dS.
Контактне електричне поле Е буде
перешкоджати переходу електронів із
2-го металу в 1-й, тобто на електрони, які
знаходяться у вибраному циліндрі, діє
електростатична сила dFE
= qEn∙dS∙dx.
При
досягненні рівноваги dFp
= -dFE.
Одержуємо
диференційне рівняння
.
Інтегруємо
.
Права частина у відповідності з (7.27) дає
різницю потенціалів
. (8.27)
Таким чином, загальна КРП дорівнює
. (8.28)
Одержаний вираз показує, що КРП дійсно залежить тільки від характеристик контактуючих металів (робот виходу та концентрацій електронів) і температури. Це 1-й закон Вольта.
![]()
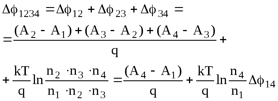
Перевіримо
2-й закон. Для цього знайдемо КРП послідовно
з’єднаних, наприклад, чотирьох металів
(рис.8.13).

Одержали значення КРП при безпосередньому контакті металів 1 і 4. Отже класична теорія дає і 2-й закон Вольта.
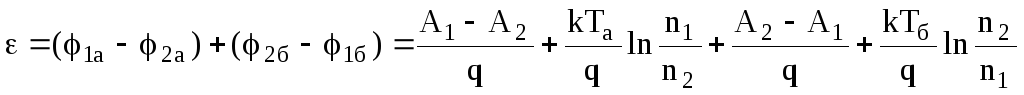
Розглянемо
замкнуте коло із двох металів 1 і 2
(рис.8.14). В н
ьому
є два контакти: а і б. Нехай температури
цих контактів Та
і Тб
різні. В такому контурі виникає
електрорушійна сила, яка називається
термо-е.р.с., і протікає електричний
струм. Знайдемо термо-е.р.с. ε. Очевидно,
що вона буде дорівнювати, у відповідності
із 2-м законом Кірхгофа, сумі КРП на
контактах. Використаємо (8.28)
![]()
Після спрощень, маємо
. (8.29)
О
держали,
що термо-е.р.с. пропорційна різниці
температур контактів. Це явище прямого
перетворення теплової енергію в
електричну називається термоелектричним
явищем. Воно було вперше відкрите
німецьким фізиком Т.Зеебеком у 1821 р. на
контакті мідь-вісмут. Воно лежить в
основі вимірювання температури за
допомогою термопар. Першу термопару
запропонував і виготовив теж Зеебек.
Вона уявляє собою два різних
провідники, спаяні одними кінцями, а до інших вмикається гальванометр, яким і вимірюють термо-е.р.с (рис.8.15). Термопару попередньо градуюють по відомій різниці температур для знаходження коефіцієнта α термо-е.р.с. По (8.29) знаходять різницю температур, і, знаючи температуру Та, де знаходиться гальванометр, можна знайти температуру Тб другого контакту.

У
1834 р. французький годинникар Ж. Пельтьє
виявив протилежний ефект, який був
названий його ім’ям. Ефект Пельтьє
заключається в тому, що при проходженні
струму через контакт різних провідників
у контактах крім джоулевого тепла, в
залежності від напрямку струму,
виділяється чи поглинається додаткове
тепло, назване теплом Пельтьє. На відміну
від тепла Джоуля-Ленца, яке пропорційне
квадрату струму, тепло Пельтьє пропорційне
першій степені струму і змінює знак при
зміні напрямку струму. Пояснимо механізм
виділення цього тепла. Нехай через
контакти двох металів від зовнішнього
джерела ε пропускається струм I
(рис.8.16). Нехай КРП має таку полярність,
що метал 1 заряджається відносно металу
2 негативно. Електрони рухаються в
контакті а
проти контактного поля Еа
і тому ним прискорюються. Ця додаткова
кінетичне енергія черпається за рахунок
зменшення теплової енергії контакту,
і тому він охолоджується. В контакті б
електрон гальмується контактним полем
Еб
і віддає йому частину кінетичної енергії
направленого руху. Контакт б
додатково нагрівається. Отже Тб
> Та.
Таким чином електрон виконує роль
переносчика енергії від одного контакту
до іншого, а саме від холодного (а)
до гарячого (б).
А ц вже є не що інше, як холодильна машина.
Саме так на контакті вісмут-сурьма
Е.Ленц у 1838 році заморозив краплю води.
Термоелектронна
емісія
– це явище випускання електронів з
поверхні нагрітих тіл. Воно було відкрите
у 1883 році американським вченим Т.Едісоном.
При підвищенні температури теплова
енергія руху електронів зростає, тому
кількість електронів, здатних подолати
поверхневий подвійний електричний шар(
енергію виходу), зростає. Ц
е
явище забезпечує протікання струму в
електронних лампах, тобто являється
джерелом вільних носіїв заряду для
протікання струму у вакуумі. Вивчається
це явище на прикладі електронної
лампи-діода (рис.8.17). Досліджується
вольт-амперна характеристика (рис.8.18).
Розглянемо особливості цих характеристик
та їх пояснення.
а
)
При відсутності анодної напруги (U
= 0) анодний струм відмінний від нуля (I
≠ 0). Це зумовлено можливістю електронів
потрапити на анод за рахунок енергії,
яка залишилась після подолання роботи
виходу. Тобто електрони після емісії
мають деяку початкову швидкість. При
більшій температурі катода цей „нульовий”
струм теж більший (див.рис.8.18, криві Т1
і Т2).
б) При деякій напрузі струм перестає зростати і виходить на насичення. Це зумовлене тим, що при великих напруженостях прискорюючого електричного поля всі емітовані електрони потрапляють на анод. При підвищенні температури катода його емісійна здатність зростає, і струм насичення теж зростає. Залежність густини струму насичення від температури катода була одержана Річардсоном і Дешманом
.
(8.30)
Стала А = 120 А/(см2∙К) однакова для всіх металів. Досліджуючи залежність (8.30), можна визначити роботу виходу.
в)
Для того, щоб струм зник, потрібно на
анод подати затримуючу напругу (на анод
-, на катод +). Ясно, що чим більшою буде
температура катода, тим з більшою
швидкістю його будуть покидати електрони,
тим більшу потрібно затримуючу напругу,
щоб робота затримуючого поля була не
меншою, ніж маки сальна кінетична енергія
випущених електронів
.
г)
С.А.Богуславський (рос. фізик) і І. Ленгмюр
(амер. фізик) у 1913 р. незалежно показали,
що зростання анодного струму пропорційне
анодній напрузі в степені 3/2
. (8.31)
Це закон Богуславського-Ленгмюра, або його ще називають законом „степені три других”
Процес протікання струму у газах називається газовим розрядом. Його існування можливе при наявності вільних носіїв заряду, тобто необхідна їх генерація. В газах носіями струму є електрони і іони, як позитивні, так і негативні. Створити (генерувати) вільні заряди можна: а) Дією зовнішнього іонізатора: рентгенівські промені, α,β,γ-випромінювання, космічні промені, нагрівання і т. д. Під дією зовнішнього генератора молекули розпадаються на іони і електрони, якщо для цього виконані енергетичні умови.
б)
За рахунок процесу ударної іонізації.
Наявні заряди під дією прикладеного
електричного поля на довжині свого
вільного пробігу набирають енергію,
достатню для іонізації нейтральних
молекул газу при зіткненні (ударі) з
ними.
Наряду
з генерацією іде і зворотній процес
рекомбінації іонів.
Розряд, який відбувається під дією зовнішнього генератора називається несамостійним, а без нього – самостійним. Типова вольт-амперна характеристика газового розряду, досліджена по схемі рис.8.19, представлена на рис.8 20. В області несамостійного розряду характерні дві дільниці: початкова, майже лінійна, коли виконується закон Ома, і горизонтальна, насичення, коли всі генеровані іони досягають електродів. При вимиканні генератора розряд припиняється після рекомбінації (загиненні) всіх зарядів. При деякій напрузі Uc несамостійний розряд переходить у самостійний. Тепер носії струму генеруються за рахунок процесу ударної іонізації і за рахунок термоелектронної емісії із катода при його нагріванні за рахунок бомбардування позитивними іонами. Розряд підтримується без зовнішнього генератора.
Розрізняють чотири типи самостійних газових розрядів: тліючий, коронний, іскровий і дуговий.
Тліючий
розряд
виникає при тискові газу від 2÷3 мм рт.ст.
до 0,01 мм рт.ст. Вільні заряди (електрони)
генеруються за рахунок бомбардування
катода позитивними іонами і фотонами,
які утворюються в газі, а також за рахунок
ударної іонізації. Структура цього
розряду показана на рис. 8.21.
Безпосередньо
до катоду примикає 1- астоновий темний
простір (Астон вперше звернув на нього
увагу), де електрони, випущені із катоду,
ще не встигли набрати швидкості достатньої
для збудження атомів і молекул. Ширина
цього простору декілька десятих
міліметра. Далі іде катодний шар 2, де
відбувається збудження атомів і молекул,
але ще не іонізація. Повертаючись у
нормальний стан, молекули і атоми
випромінюють кванти світла. За катодним
шаром іде темній катодний простір 3, де
починається ударна іонізація і зростання
електронних лавин. Саме тут виникають
позитивні іони, які і бомбардують катод.
Потім формується негативне тліюче
свічення 4 зумовлене виділенням енергії
рекомбінації електронів з позитивними
іонами. Область 5 називається темний
простір Фарадея, куди уже електрони не
долітають. Потім формується світний
стовп 6 – це сукупність іонів протилежних
знаків, або холодна плазма. Тут ідуть в
основному процеси рекомбінації.
Прикладена до електродів напруга в
основному падає на перших трьох областях.

Іскровий
розряд
характеризується перервною формою
навіть при використанні джерела
постійного струму. В природі – це
блискавка. Зовнішній вид цього розряду
(рис.8.22) уявляє собою сніп яскравих
зигзагоподібних тонких каналів, які
швидко заповнюють розрядний простір
швидко змінюючи один одного. За рахунок
ударної іонізації утворюються
електропровідні канали іонізованого
газу, які називаються стримерами.
Стримери виникають, зливаються,
розгалужуються, продовжують один одного
і таким чином відбувається досить швидке
перенесення заряду між електродами
(10-7
÷ 10-8с).