![]()
Тоді
електроємність
(7.40)
Висновок. Приклади 1-4 і формули (7.37)-(7.40) показують , що електроємність не залежить від заряду, а визначається геометричними розмірами конденсаторів і властивостями діелектрика.
При з’єднанні конденсаторів у батареї загальна електроємність знаходиться так:
при
паралельному з’єднанні
(7.41)
як сума електроємностей конденсаторів;
при
послідовному з’єднанні
.
(7.42)
обернена електроємність батареї дорівнює сумі обернених електроємностей конденсаторів.
Для
того, щоб зарядити тіло необхідно
виконати роботу
по перенесенню порції заряду dq
проти сил відштовхування від раніше
перенесеного однойменного заряду q. Ця
робота перетворюється в потенціальну
енергію зарядженого тіла (в енергію
електричного поля). Підставивши
із (7.35), одержимо
.
Інтегруємо по зарядові в інтервалі від
0 до
.
Врахуємо також (7.34).
. (7.43)
Густина енергії електростатичного поля це енергія, яка зосереджена в одиниці об’єму простору, де це поле утворене
(7.44)
Знайдемо
її на прикладі плоского конденсатора
(див. приклад 2 розділ 7.6). Об’єм
.
Із (7.38), (7.43), (7,44) і враховуючи (7.33), одержуємо
. (7.45)
Електричним струмом називається всякий направлений рух зарядів. За напрямок струму прийнятий напрямок руху позитивних зарядів. Для його існування необхідні дві умови:
– наявність рухомих зарядів;
– наявність сили, яка приводить ці заряди в направлений рух.
Наприклад, заряджене тіло переміщуємо у просторі мускульною силою руки. Це струм? Так. Є заряд і є сила, яка його переміщує.

Найчастіше
силою, яка переміщує заряд, виступає
сила електричного поля. Робота цього
поля витрачається на переміщення
зарядів, і тому його енергія зменшується.
Щоб струм протікав відносно довго,
потрібно поповнювати енергію поля, що
відбувається в джерелах струму, або
джерелах електрорушійної сили (е.р.с.).
В них відбувається перетворення в
електричну енергію різних видів енергії:
механічної, оптичної, теплової, хімічної
і т. ін., окрім електричної. Ці сили
називаються сторонніми. Дійсно, в
джерелах е.р.с. позитивні заряди рухаються
проти електричного поля (від – до +)
(рис.8.1). Такий їх рух не може бути
забезпечений силами електричного поля.
Робота по переміщенню заряду по дільниці кола, в якій є е.р.с., виконується силами електричного поля і сторонніми силами
.
Тут
е.р.с.
- це робота, яку виконують сторонні сили
по переміщенню одиничного позитивного
заряду в середині джерела. Величина
(8.1)
називається напругою. Це робота, яку виконують сили електричного поля і сторонні сили по переміщенню одиничного позитивного заряду із точки 1 в точку 2.
Силою струму I називається швидкість направленого переносу заряду
. (8.2)
Вимірюється струм у системі СІ в Амперах (А). Це основна одиниця в цій системі і буде визначена по взаємодії провідників із струмом в розділі “електромагнетизм”.
Для характеристики розподілу перенесення заряду по поперечному перерізу провідника введена густина струму j – це струм, який протікає через одиницю поперечного перерізу
. (8.3)
Не дивлячись, що струм величина скалярна, густина струму – це вектор, напрямок якого співпадає з напрямком швидкості направленого руху позитивних зарядів, тобто
. (8.4)
Струм,
через густину струму знаходять шляхом
інтегрування по площі перерізу провідника
. (8.5)
Після відкриття у 1897 р. Дж. Томсоном електрона німецький фізик П. Друде у 1900 році заклав основи класичної теорії електропровідності металів, яка знайшла розвиток в роботах нідерландського фізика Х. Лорентца. Розглянемо положення цієї електронної теорії Друде-Лорентца.
– Електронний газ в металах має властивості одноатомного молекулярного ідеального газу. Рухаючись хаотично, електрони зазнають зіткнень тільки з атомами кристалічної гратки, а не між собою, так як розміри електронів набагато менші, ніж атомів. Тому вважається, що середня довжина вільного пробігу електронів дорівнює міжатомній відстані і складає декілька ангстрем (1Å = 10-10м).
– Так як теплові швидкості (середня арифметична, середня квадратична, найбільш ймовірна) із-за малої маси електронів дуже великі (~ 100 км/с), вважається що всі вони однакові. Тепловий хаотичний рух не приводить до направленого руху електронів, тобто струм не виникає.
–
Під
дією зовнішнього електричного поля
виникає направлений рух електронів
проти напруженості поля із швидкістю
V.
Знайдемо силу струму і його густину
(рис.8.2). За час dt
через перпендикулярний до вектора
швидкості
переріз dS
провідника перейдуть тільки ті носії,
які знаходяться від нього на відстані
не більшій, ніж
і перенесуть свій заряд через цей
переріз. Носії, які знаходяться далі не
встигнуть за цей час дійти до перерізу
dS
і
внести вклад в електричний струм.
Сумарний перенесений заряд дорівнює
заряду носіїв, що знаходяться в зображеному
циліндрі.
.
(n
- концентрація вільних носіїв заряду).
Враховуючи (8.2) і (8.3), одержуємо струм
та густину струму
.
(8.6)
Оцінка значення швидкості V із формули (8.6) дає ~ 0,8 мм/с, що набагато менше, ніж теплова швидкість. Не дивлячись на це, струм у провіднику виникає практично миттєво, так як у направлений рух після вмикання електричного поля приходять усі електрони.
– Від зіткнення до зіткнення з атомами електрон рухається з середньою тепловою швидкістю. Зіткнення електрона з атомами носять абсолютно пружний характер, причому вважається, що електрон при цьому повністю втрачає набуту швидкість направленого руху. Отже направлений рух електрона між зіткненнями рівноприскорений без початкової швидкості направленого руху.
Розглянемо
досліди, які підтверджують електронну
природу струму в металах:
–
Через
послідовно з’єднані мідь-алюміній-мідь
(рис.8.3) протягом приблизно року пропускався
електричний струм, після чого досліджувались
контакти на предмет взаємного проникнення
металів. Не дивлячись на те, що в одному
контакті струм протікав від міді до
алюмінію, а в другому від алюмінію до
міді, взаємне проникнення металів в
обох контактах було однаковим.
Стимульованої струмом дифузії виявлено
не було. Це означає, що протікання струму
в металах не супроводжується переносом
речовини, а носіями струму являються
загальні для всіх металів частинки –
електрони.
–
Металевий
стержень, замкнутий чутливим гальванометром
(рис.8.4), рухався, а потім різко зупинявся.
Гальванометр фіксував імпульс струму,
зумовлений тим, що в момент зупинки
кристалічної гратки металу електрони
ще продовжують рухатись по інерції в
напрямку направленого руху.
–
У
1913 році російські фізики Л.І.Мандельштам
і М.Д.Папалексі вдосконалили вище
розглянутий дослід. Вони замінили
масивний провідник котушкою (довжина
дроту ~500 м), яку привели в обертальні
коливання (рис.8.5). В момент зміни напрямку
руху котушки в ній виникав електричний
струм, наявність якого фіксувалася
телефоном, увімкнутим до кінців котушки
(виникав характерний тріск). Тепер
фіксувались уже не однократні імпульси
струму.
–У 1916 році шотландський фізик Ч.Стюарт і американський Т.Толмен замінили в досліді Л.І.Мандельштама і М.Д.Папалексі телефон, чутливим гальванометром. Це дало можливість провести кількісні вимірювання, а саме визначити відношення заряду носіїв струму до їх маси (питомій заряд). Виявилось, що це відношення дорівнює питомому заряду електрона.
Отже струм у металах зумовлений направленим рухом електронів.
Запишемо
другий закон Ньютона для направленого
руху електрона
.
Інтегруємо
це рівняння в межах: швидкості від 0 до
Vмакс,
часу від 0 до τ – час вільного пробігу
електрона
.
Одержуємо

.
(8.7)
Середня
швидкість направленого руху V дорівнює
півсумі початкової (V0
= 0, див положення 4) і кінцевої Vмакс.
Враховуючи (8.6), густина струму
,
або
.
(8.8)
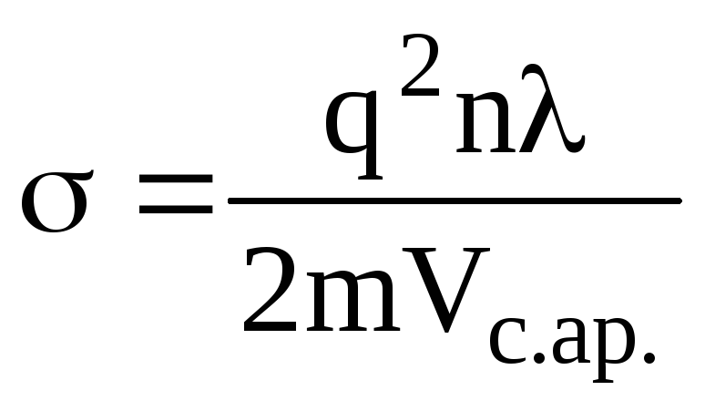
Це
і є закон Ома в диференційній формі. Тут
питома електропровідність
.
(8.9)
Величина обернена питомій електропровідності називається питомим опором ρ
.
(8.10)
Це опір суцільного куба з ребром 1м при протіканні струму між протилежними гранями.
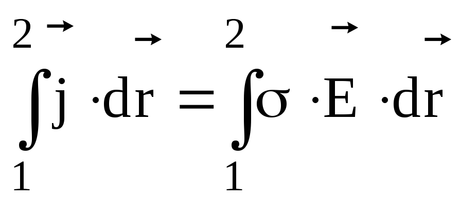
Одержимо
закон Ома в інтегральній формі. Для
цього рівняння (8.8) домножаємо скалярно
на вектор
переміщення вздовж провідника в напрямку
протікання струму і інтегруємо в межах
двох точок провідника
.
Врахуємо (7.27), 8.1) і що кут між векторами
дорівнює нулю, одержуємо
.
.
.
(8.11)
Тут U – напруга, R – опір провідника
(8.12)
залежить від матеріалу і геометричних розмірів: площі перерізу S та довжини ℓ.
П
риклад.
Знайти опір R
однорідного провідника у формі зрізаного
конуса при протіканні струму між його
основами (рис.8.6). Задані геометричні
розміри R1,
R2
і питомий опір ρ.