П
о
принципу суперпозиції
.
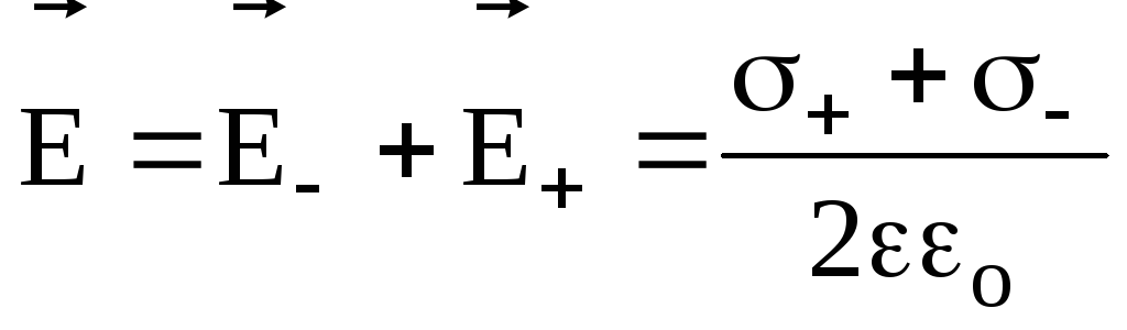
Якщо густини зарядів однакові, то за
межами площин
![]()
(рис.7.17), а між площинами
(7.24)
Нехай
в деякому електростатичному полі
переміщується заряд q
із
точки 1 в точку 2 (рис.7.18). На заряд діє
сила
.
Тоді
е
лементарна
механічна робота
.
З
агальна
робота знаходиться шляхом інтегрування
, (7.25)
де
α – кут між вектором
і напрямком переміщення
.
Для
однорідного поля
.
(7.26)
П
окажемо,
що робота в електричному полі не залежить
від форми шляху, а визначається тільки
зарядом q
і
положеннями початкової і кінцевої точок
та напруженістю електричного поля
.
Нехай в однорідному полі напруженістю
переміщується заряд q двома способами
(рис.7.19): по прямій 1-2 і по ломаній 1-3-2.
Знайдемо роботу електричного поля в
обох випадках.
.
![]()
Одержали
однакову роботу. А це й означає незалежність
роботи від форми шляху. Якщо ж поле
неоднорідне, то аналогічні міркування
виконуються для нескінченно малих
відрізків, на яких можна вважати поле
однорідним. Загальна робота дорівнює
сумі робот на кожному із цих відрізків.
Ясно, що якщо на кожному із них робота
не залежить від форми шляху, то і сумарна
робота не буде залежати від форми шляху.
Якщо в (7.25) віднести роботу до заряду q, то воно уже не буде залежати від величини заряду, а буде визначатись тільки положенням початкової і кінцевої точок та напруженістю поля. Це дає можливість ввести нову енергетичну характеристику поля: потенціал і різницю потенціалів. Із (7.25) одержуємо
(7.27).
-
різниця
потенціалів,
дорівнює роботі, яку виконують сили
електростатичного поля при переміщенні
одиночного позитивного заряду із точки
1 в точку 2.
Отже робота в електростатичному полі дорівнює добуткові заряду на різницю потенціалів вихідної і кінцевої точок
. (7.28)
Якщо точку 2 віддалити у нескінченність, де поле відсутнє, одержуємо потенціал
(7.29).
Потенціал
–
це робота сил електричного поля по
переміщенню одиничного позитивного
заряду із даної точки поля r
в
нескінченність, де потенціал поля
прийнятий за нуль. Потенціал і його
різниця вимірюються у вольтах (В).
![]()
Криволінійний
інтеграл по замкнутому контуру
називається циркуляцією вектора
напруженості. Враховуючи (7.27), видно, що
такий інтеграл дорівнює нулю (початкова
і кінцева точки переміщення заряду
співпадають φ1
= φ2).
Отже умова
є необхідною умовою потенціального
характеру поля.
Знайдемо потенціал поля точкового заряду. За означенням
![]()

Будемо
переміщувати пробний заряд qo
по радіальній лінії
(рис.7.20).
Тоді кут α = 0о
і з врахуванням (7.16)
одержуємо
(7.30)
Для потенціалу, аналогічно напруженості (розділ 7.2) справедливий принцип суперпозиції:
(7.31)
потенціал поля, створеного декількома зарядами, дорівнює алгебраїчній сумі потенціалів, створених у цій точці кожним зарядом. Якщо тіло не точкове, то сума (7.31) переходить в інтеграл.
Геометричне
місце точок однакового потенціалу
називається еквіпотенціальною
поверхнею.
Встановимо зв’язок між напруженістю
і потенціалом. Нехай маємо дві
еквіпотенціальні поверхні з потенціалами
φ і φ +dφ
(рис.7.21). Перемістимо заряд q
із
однієї поверхню на другу. Робота для
такого переміщення дорівнює:
,
або через напруженість
![]()
Прирівнюємо
праві частини цих рівнянь
,
або
.
(7.32)
Напруженість дорівнює градієнту потенціалу з протилежним знаком
Для
однорідного поля напруженість дорівнює
відношенню різниці потенціалів між
двома точками до проекції відстані між
ними на напрямок поля
. (7.33)
Еквіпотенціальні
і силові лінії взаємно перпендикулярні
(рис.7.21). Дійсно, при переміщенні заряду
по еквіпотенціальній поверхні робота
дорівнює нулю (
).
Але на заряд діє сила, і щоб її робота
дорівнювала нулю, необхідно щоб кут між
силою і переміщенням становив 90о (соs 90o = 0).
Досліди
показують, що при зарядженні провідників
змінюється і їхній потенціал, причому
між ними має місце лінійна залежність
.
(7.34)
Коефіцієнт
пропорційності
,
(7.35)
тобто відношення заряду провідника до його потенціалу називається електроємністю провідника. Одиницею вимірювання електроємності в системі СІ є фарада (Ф). Це електроємність такого провідника, при зміні заряду якого на 1Кл його потенціал змінюється на 1В. Менші одиниці електроємності: 1мкФ = 10-6Ф, 1Нф = 10-9Ф, 1пФ = 10-12Ф.
Для
системи провідників (конденсаторів)
їхня взаємна електроємність
, (7.36)
де
різниця потенціалів між тілами, q
– заряд одного із тіл.
Знайдемо електроємності простих конденсаторів.
Приклад 1. Електроємність сфери радіусом R.
Із
(7.30) знаходимо
. (7.37)
Приклад 2. Ємність плоского конденсатора.
Я

к
правило відстань між пластинами d
набагато менша від розмірів пластин.
Тому крайовими ефектами можна знехтувати
і вважати поле між пластинами однорідним.
Із (7.27) з врахуванням (7.24) одержуємо
Тоді
.
(7.38)
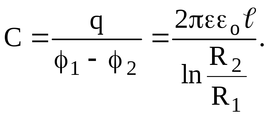
Приклад 3. Ємність циліндричного конденсатора (рис.7.23). Це два коаксіальних циліндри. Із (7.27), враховуючи (7.22) і (7.6) знайдемо різницю потенціалів між циліндрами.

.
Тоді
(7.39)
Приклад 4. Ємність сферичного конденсатора (рис.7.24).
Р
ізницю
потенціалів між сферами знайдемо
врахувавши висновок розділу 7.3 і формулу
(7.30).