Елемент
dl1
кільця, заряд якого
, створює напруженість поля
.
(7.10)
Д
іаметрально
протилежний елемент dl2
створює напруженість dE2.
Ясно, що Х–ві проекції цих векторів
попарно компенсуються, а У-ві – додаються.
.
Враховуючи (7.10), і що
,
одержуємо
![]()

.
(7.11)
При h =0 ( в центрі кільця) Е=0. При h → ∞ Е = 0.
Приклад 2. Розрахувати поле нескінченної зарядженої осі в точці, яка знаходиться на відстані R від неї. Лінійна густина заряду осі дорівнює τ (рис.7.4).
Нескінченно
малий елемент dℓ(точковий
заряд) створює напруженіcть
.
Заряд
цього елемента дорівнює
.
Відстань
.
Одержуємо
.
Знаходимо проекції цього вектора на
осі координат:
,
.
Інтегрування по всій осі зводиться до
інтегрування по куту α в межах від 0 до
π.
.
(7.12)
.
Так як Еу = 0, вектор напруженості направлений вздовж осі ох, тобто перпендикулярно до зарядженої осі.
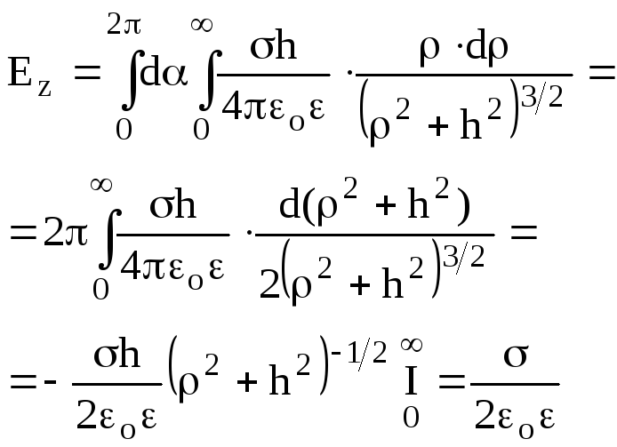
Приклад 3. Розрахувати поле нескінченної зарядженої площини з поверхневою густиною заряду σ (рис.7.5).
Положення нескінченно малого елемента dS, заряд якого dq = σ∙dS,
задамо
полярними координатами ρ
і
α. В цих координатах dS
=
ρ∙dρ∙dα.
Знайдемо dEz
,
яка перпендикулярна до площини.
Щоб
охопити всю площину, кут α повинен
змінюватись від 0 до 2π, а радіус ρ
– від 0 до ∞. Беремо подвійний інтеграл
в цих межах


П![]()
роекція
вектора напруженості на площину,
перпендикулярну до осі ОZ
дорівнює
нулю. В цьому можна впевнитись математично,
замінивши соsφ
на sinφ,
а можна і такими міркуваннями: на
нескінченній площині завжди можна
знайти елемент dS2,
с
иметричний
dS1
відносно перпендикуляра h
до площини (рис7.6). Ці елементи створюють
однакові вектори напруженості dE1
і dE2,
Z-ві
проекції яких співпадають, а перпендикулярні
проекції взаємно протилежні і тому
компенсують одна одну. Отже вектор
напруженості поля нескінченної зарядженої
площини
(7.13)
перпендикулярний до неї і не залежить від положення точки, тобто однакове в усіх точках простору. Такі поля називаються однорідними.
Для
спрощення розрахунку полів симетричних
заряджених тіл застосовується теорема
Остроградського
– Гауса:
потік вектора електростатичної індукції
через будь-яку замкнуту поверхню дорівнює
алгебраїчній сумі зарядів, охоплених
цією поверхнею.
(7.14)
П
отоком
dФ
вектора
через площадку dS називається добуток
вектора
на величину площадки dS і на косинус кута
α між вектором
і нормальним до площадки dS одиничним
вектором
(рис.7.7).
.
(7.15)
П
лощадку
dS
вважають вектором, який за напрямком
співпадає з вектором
.
Якщо заряд, наприклад, q1
знаходиться
за межами замкнутої п
оверхні
(рис.7.8), потік дорівнює нулю. Дійсно,
скільки силових ліній входить в об’єм,
обмежений поверхнею, стільки ж і виходить.
Силові ж лінії від заряду q2,
який
знаходиться всередині поверхні, тільки
виходять з неї.
Розглянемо приклади застосування цієї теореми.
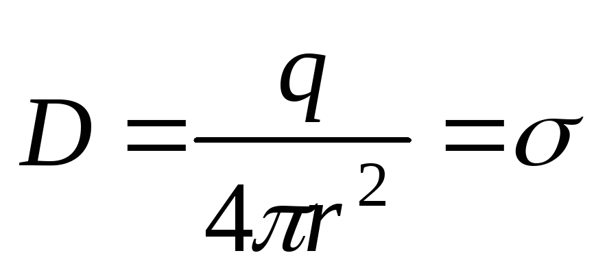
Приклад 1. Напруженість поля точкового заряду.
Поверхню S вибираємо у вигляді сфери радіусом r, в центрі якої знаходиться заряд q (рис.7.9).
П
о
теоремі Остроградського-Гауса маємо
![]()
Для
різних точок сфери вектор D
однаковий
за величиною, так як всі вони однаково
розміщені по відношенню до заряду q.
Тому його винесли за знак інтегралу. А
дає
площу поверхні сфери. Одержуємо
![]()
і
.
(7.16)
Приклад 2. Поле зарядженої по поверхні до заряду q металевої кулі радіусом R (рис.7.10).
Для
r
<
R
Тому D
= 0
і Е = 0. Поле всередині провідників
відсутнє. При r
>
R
аналогічно
прикладу 2,
і
.
(7.17)
Г
рафік
залежності індукції D
від радіуса r
показана на рис.7.12. На поверхні кулі
індукція зазнає стрибкоподібної зміни
на величину σ поверхневої густини
вільних зарядів.
П
риклад
3.
Поле рівномірно зарядженої по об’єму
до заряду q
кулі
радіусом R
(рис.7.13).
Для r>R аналогічно прикладу 2 і 3
і
.
(7.18)
О
б’ємна
густина заряду
.
Вирази (7.18) приймуть вид
(7.19)
При
r<R
одержуємо
.
,
(7.20)
або
через густину заряду
і
(7.21)
Г
рафік
залежності індукції D
від радіуса r
показана на рис.7.14. При r
= R
вирази (7.18) і (7.20) дають однакову величину
D.
Отже на поверхні кулі вектор індукції
розриву не зазнає.
Висновок. Із прикладів 1-3 видно, що поле зарядженої кулі за її межами таке ж, як і поле точкового заряду, якщо заряд кулі зосередити в її центрі (див. вирази (7.16)-(7.18).
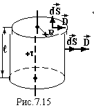
П
риклад
4. Поле
нескінченної зарядженої осі (циліндра)
з лінійною густиною заряду τ (рис.7.15).
П
оверхню
S
виберемо у вигляді циліндра, вісь якого
співпадає з зарядженою віссю. Для основ
цього циліндра кут між
і
дорівнює 90о.
Тому потік через основи дорівнює нулю.
Для елементів
бічної поверхні цей кут дорівнює 0о.
Отже можна записати
Одержуємо![]()
(7.22).
Одержаний результат співпадає з (7.12).
П
риклад
5. Поле
нескінченної зарядженої площини з
поверхневою густиною заряду σ (рис.7.16).
Поверхню
S
вибираємо у вигляді циліндра, основи
якого радіусом r
паралельні площині. Для бічної поверхні
кут між
і
дорівнює 90о.
Тому потік через бічну поверхню дорівнює
нулю. Для елементів
основ цей кут дорівнює 0о.
Отже можна записати
Одержуємо
(7.23).
О
держали
такий же результат, як і в (7.13).
Приклад 6. Поле нескінченних паралельних різнойменно заряджених площин до густини зарядів +σ і -σ.