.
(4.12)
О
держали,
що робота дорівнює зміні потенціальної
енергії ∆Еп
= mg∆h,
а не самій потенціальній енергії. На
відміну від кінетичної, для потенціальної
енергії необхідно задати її нульовий
рівень, причому цей рівень задається
довільно. Якщо потенціальна енергія на
поверхні Землі дорівнює нулю, то на
висоті h
вона буде
становити
.
(4.13)
П
отенціальна
енергія може, на відміну від кінетичної,
бути від’ємною (рис.4.7).
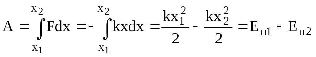
Знайдемо
роботу по розтягуванню пружини від х1
до х2
(рис.4.8). Сила пружності
.
(4.14)
Прийнявши за нульовий рівень потенціальної енергії стан недеформованої пружини, одержуємо потенціальну енергію деформації
.
(4.15)
Консервативною називається система, в якій діють сили, робота яких не залежить від форми траєкторії тіла. Такі сили називаються потенціальними. Це системи, в яких не відбувається перетворення механічної енергії (кінетичної чи потенціальної) в немеханічні види, наприклад, в тепло. Це системи, в яких відсутні сили тертя. Прикладом потенціальних (консервативних) сил можуть бути сили гравітації, сили тяжіння, кулонівські сили. Інші системи, в яких механічна енергія перетворюється в немеханічну, називаються дисипативними. В них відбувається дисипація (розсіювання) механічної енергії. Є ще замкнуті (ізольовані) і незамкнуті системи (див. розд. 4.10). Таким чином можливі чотири типи систем:
а)
консервативні, замкнуті системи. В таких
системах повна механічна енергія
залишається незмінною.
;
б) консервативні незамкнуті системи.
В них зміна механічної енергії дорівнює
роботі зовнішніх сил
;
в)
дисипативні замкнуті системи. Зміна
механічної енергії дорівнює роботі сил
тертя
;
г) дисипативні незамкнуті системи. Зміна механічної енергії дорівнює алгебраїчній сумі роботи зовнішніх сил і сил тертя
.
Силове
поле, в якому робота не залежить від
форми шляху, а визначається тільки
положенням початкового і кінцевого
положення тіла, називається потенціальним.
Прикладом потенціального поля є
гравітаційне поле, електростатичне
поле. Такі поля характеризуються окрім
силової векторної характеристики –
напруженості ще й скалярною, енергетичною
характеристикою – потенціалом.
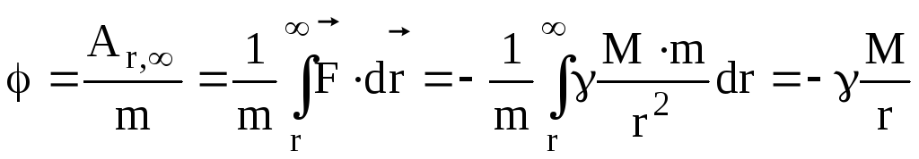
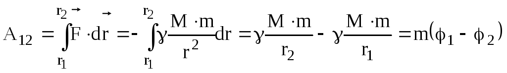
Потенціалом
гравітаційного поля називається робота,
яку виконують гравітаційні сили по
переміщенню тіла одиничної маси із
даної точки поля в нескінченність, де
поле уже відсутнє (рис.4.9).
![]()
Одержали,
що потенціал гравітаційного поля
Землі
(4.16)
залежить тільки від положення тіла, тобто радіус-вектора r.
Робота по переміщенню тіла m із точки 1 в точку 2 дорівнює
(4.17)
добутку маси на різницю потенціалів. Одиницею вимірювання потенціалу є [φ]=Дж/кг=(м/с)2.
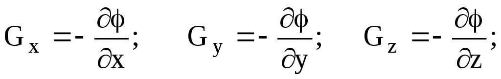
Знайдемо зв’язок між напруженістю і потенціалом. За означенням потенціалу (4.16) і напруженості (див.розд.3.8) маємо
,
де
Gr
– проекція
вектора напруженості
на напрямок
.
Взявши похідну з останнього виразу по
радіус-вектору r,
одержуємо
,
або в декартовій системі координат
.
Тоді вектор напруженості запишеться
через одиничні вектори (орти)
.
(4.18)
Векторна
функція
називається градієнтом скалярної
величини φ і дає швидкість її зміни з
координатою. Напрямок вектора градієнта
вказує напрямок найбільш швидкого
зростання функції φ з координатою.
Помноживши (4.18) на масу m, одержимо зв’язок між силою і потенціальною енергією
.
(4.19)
Нехай
по вигнутому, як показано на рис.4.10,
жолобу може без тертя скочуватись куля.
Положення кулі будемо задавати однією
координатою х. Таким чином крива
залежності висоти кулі від координати
х фактично задає залежність потенціальної
енергії від координати. Така крива
називається потенціальною кривою. Її
ордината дає значення потенціальної
енергії Еп,
а відстань до лінії повної енергії,
наприклад, Е1,
дає значення кінетичної енергії Ек.
Нехай повна енергія тіла дорівнює Е2.
Заштрихована область з координатами
х2
≤ х ≤ х3
називається потенціальним бар’єром,
а область з координатами х1
≤ х ≤ х2
потенціальною ямою. З’ясуємо, як буде
рухатись куля, коли її енергія Е2
менша висоти
потенціального бар’єру?
В
межах потенціальної ями про відхиленні
частинки від положення х = хос
виникає зворотна сила F,
направлена до цього положення хос,
яке називається стійким положенням
рівноваги. Дійсно, враховуючи співвідношення
(4.19), в нашому одномірному випадку маємо
. При відхиленні вліво похідна негативна
і тому сила направлена вправо. При
відхиленні вправо похідна позитивна і
сила направлена проти осі ох. Таким
чином кулька буде здійснювати коливальний
рух від х1
до х2
навколо положення стійкої рівноваги
хос,
в якому потенціальна енергія мінімальна.
Подолати потенціальний бар’єр класична
частинка не може. Квантова ж частинка,
якій характерні хвильові властивості,
може подолати бар’єр навіть якщо її
повна енергія менша за його висоту. Цей
ефект називається тунельним ефектом.
Якщо повна енергія частинки Е1
більша, ніж висота потенціального
бар’єру, вона його завжди долає, зменшуючи
над ним свою кінетичну енергію. При
відхиленні від положення хон
виникає сила, направлена від цього
положення рівноваги. Тому воно називається
нестійким.
Таким чином, умовою стійкої рівноваги системи є мінімум її потенціальної енергії.

Ударом
називається явище кінцевої зміни
швидкостей тіл за відносно короткий
проміжок часу їх взаємодії між собою.
Розрізняють центральні і косі удари.
При центральному ударі вектори швидкостей
співпадають за напрямком з лінією, що
з’єднує центри мас тіл (рис.4.11,а).
При косих ударах вектори швидкостей
утворюють з цією лінією кут, відмінний
від нуля (рис.4.11,б). Ми будемо розглядати
центральний удар. Які ж процеси
відбуваються при ударі? Кінетична
енергія тіл в момент удару частково,
або повністю перетворюється в потенціальну
енергію деформації, яка потім, в залежності
від характеру деформації, повністю, або
частково знову перетворюється в кінетичну
енергію і в тепло (тіла нагріваються за
рахунок деформації).

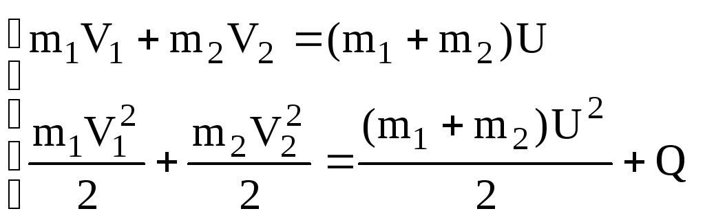
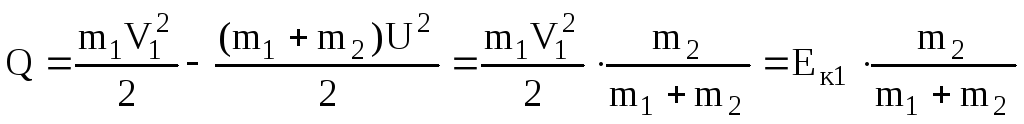
Розглянемо
центральний удар двох куль, які рухаються
горизонтально, що дає можливість не
враховувати зміну потенціальної енергії
в полі тяжіння Землі. Запишемо закон
збереження імпульсу (4.20) і закон збереження
енергії (4.21) з врахуванням теплоти Q,
яке виділяється при ударі

Маємо систему двох рівнянь з трьома невідомими: U1, U2, Q. В загальному випадку вона не має розв’язку. Тому цю задачу розв’язують для двох ідеальних випадків:
– абсолютно не пружний (пластичний) удар, після якого тіла рухаються як одне ціле. Тому можна записати третє рівняння
U1 = U2 = U (4.22)
–абсолютно пружній удар, при якому теплота не виділяється, тобто Q = 0 (4.23)
Абсолютно пластичний удар. Маємо систему рівнянь:
(4.24)
звідки знаходимо
.
(4.25)
Розглянемо випадок, коли одне із тіл, наприклад, друге не рухається, тобто V2 = 0. Одержуємо:
.
– Коли m2 >> m1, тобто легким тілом m1 ударяють по нерухомому масивному тілу m2. Q = Eк1 – в енергію деформації перетворюється майже вся кінетична енергія тіла, яке ударяє, наприклад, ковка деталей.
– Коли m2 << m1. Важким тілом m1 ударяють по легкому нерухомому тілу m2.
-
в енергію деформації перетворюється
незначна доля енергії тіла, яке ударяє,
тобто вся енергія перетворюється в
кінетичну енергію, наприклад, пори
забиванні цвяхів.