Доведемо
останню формулу. Кінетична енергія ∆Екі
елементу тіла ∆mi
дорівнює
.
Ми врахували зв’язок лінійної і кутової
швидкостей
.
Кінетичну енергію обертання всього
тіла знайдемо як суму кінетичних енергій
усіх його елементів, врахувавши (4.40),
тобто
.
(4.43)
Якщо тіло не тільки обертається, а ще і його центр маси рухається поступально з швидкістю V, наприклад, котиться колесо, то кінетична енергія дорівнює сумі поступальної і обертальної складових
.
(4.44)
Момент інерції тіла залежить не тільки від маси тіла, а і від її розподілу відносно осі обертання. Тому одне і теж тіло має різні моменти інерції відносно різних осей обертання. Розглянемо ряд прикладів розрахунку моменту інерції, користуючись його означенням (4.40).
a)
момент
інерції матеріальної точки .
Задана маса m і радіус о
бертання
R (рис.4.16). Знайти J.
Згідно
з означенням (4.40) моменту інерції
.
В
нашому випадку r
= R
= const.
Тому
. (4.45)
б)
момент інерції
обруча (труби)
відносно
осі, яка проходить через його центр і
перпендикулярна площині обруча.
Задана маса m
і радіус о
бруча
R
(рис.4.17). Знайти J.
.
r
= R
= const.
Т
ому
.
(4.46)
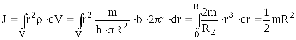
в) Момент інерції диска (циліндра) відносно осі, яка співпадає з віссю циліндра. Задана маса диска m і його радіус R (рис.4.18). Знайти J.
![]()

.
Виберемо елемент dm
у вигляді труби радіусом r
з товщиною стінки dr
і довжиною b,
яка дорівнює товщині диска (висоті
циліндра). Маса цієї труби
.
Густина
.
Тоиму маємо
.
Таким
чином, момент інерції обруча (циліндра)
.
(4.47)
В
идно,
що порівнюючи з обручем (трубою) маса
диска (циліндра) розподілена в цілому
ближче до осі обертання. Тому і одержаний
момент інерції менший.
г
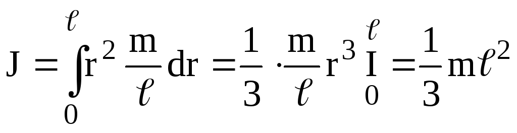
)
момент
інерції довгого тонкого стержня
відносно
осі, яка
перпендикулярна до нього і проходить
через середину стержня.
Задані маса m
стержня і
його довжина
(рис.4.19).
Знайти J.
Виберемо елемент dm у вигляді частини стержня довжиною dr, який віддалений від осі на відстань r.
Його
маса dm
порційна
довжині і дорівнює
.
Момент інерції стержня
.
(4.48)
д
)
момент інерції
кулі відносно діаметра.
Задана маса m і радіус R.
Момент інерції кулі
.
(4.49)

Для
розрахунку моментів інерції тіл відносно
осей, які не проходять через центр маси
тіл (рис.4.20), застосовується теорема
Штейнера:
момент інерції J тіла відносно будь-якої
осі дорівнює сумі моменту інерції Jo
цього тіла відносно осі, яка проходить
через центр маси О тіла та паралельна
заданій, і добуткові маси m тіла на
квадрат відстані d між цими осями
.
(4.50)
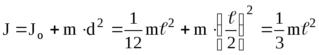
Впевнимося у справедливості цієї теореми на прикладі розрахунку моменту інерції довгого стержня відносно осі, яка перпендикулярна до стержня і проходить через його край (рис.4.21). Безпосереднє інтегрування, як і у прикладі 4) дає
![]()
.
По теоремі Штейнера, враховуючи (4.48), одержуємо
(4.51)
такий же результат, як і безпосереднім інтегруванням.

Гіроскоп
– це масивне тіло, приведене в обертальний
рух. Гіроскопічний ефект заключається
в тому, що при спробі повернути вісь
гіроскопа силою
в якійсь площині, наприклад, (zoy),
вона (вісь) повертається в перпендикулярній
площині (xoy)
(рис.4.22).Пояснення цього ефекту основане
на векторному характері основного
рівняння динаміки обертального руху.
Момент
сили
направлений по осі ох. Згідно з основним
рівнянням динаміки обертального руху
(4.42) зміна моменту імпульсу
.
Цей вектор, як і вектор
,
направлений також вздовж осі ох. Тоді
нове значення вектора моменту імпульсу
повернеться в площині хоу на нас на кут
dφ.
Таким чином вісь гіроскопа буде обертатись
навколо осі oz
з деякою кутовою швидкістю
.
Такий рух гіроскопічної осі називається
прецесією. Знайдемо кутову швидкість
прецесії Ω. Довжина хорди dL радіус L і
центральний кут dφ (рис.4.22) зв’язані
співвідношенням dL = L∙ dφ. Поділимо це
рівняння на dt
і врахуємо, що
,
а
,
одержуємо
.
Таким
чином видно, що вісь гіроскопа прагне
зайняти таке положення, щоб кут між
векторами моменту імпульсу
і моменту
зовнішньої сили став мінімальним.

Сила
в’язкості, або сила внутрішнього тертя,
виникає в рідинах і в газах при відносному
русі шарів і направлена паралельно
напрямку руху цих шарів (рис.5.1). В рідинах
поява цієї сили зумовлена наявністю
міжмолекулярних сил взаємодії. Природу
виникнення сил в’язкості в газах
встановимо пізніше.
Сила в’язкості гальмує шар, що рухається з більшою швидкістю, і прискорює повільніший шар. Величина цієї сили тим більша, чим більша відносна швидкість шарів і чим менша відстань між ними. Вона знаходиться за формулою Ньютона
.
(5.1)
Тут:
η [Па∙с] – коефіцієнт в’язкості, для
різних речовин різний, але при заданій
температурі величина стала; ∆S
– площа шарів;
- градієнт швидкості направленого руху
шарів, тобто „швидкість” її зміни з
координатою oz,
яка перпендикулярна до площини шарів.
При рухові тіла в рідині або в газі приповерхневий молекулярний шар рідини чи газу рухається разом з тілом і утягує в направлений рух більш віддалені від поверхні шари. Так виникає градієнт швидкості і сила внутрішнього тертя, яка гальмує рух тіла. Ясно що вона залежить від форми тіла. Для кулі цю силу вперше розрахував англійський фізик Д.П.Стокс (1818-1903)

,
(5.2)
де: R – радіус кулі, Vo – швидкість кулі.
Розглянемо визначення в’язкості рідини методом Стокса, оснований на формулі (5.2).
В
посудину з досліджуваною рідиною
кидається кулька радіусом R.
Під дією сили тяжіння
і виштовхуючої
сили Архімеда
вона
рухається з прискоренням. Ясно, що
густина тіла ρт
повинна бути більшою, ніж густина рідини
ρр.
По мірі зростання швидкості зростає
сила в’язкості
,
внаслідок чого величина прискорення
зменшується, і в кінці кінців рух кульки
стає рівномірним, коли рівнодіюча цих
трьох сил стане дорівнювати нулю, тобто
,
або в скалярній формі
.
(5.3).
Підставимо в (5.3) силу Стокса (5.2), масу і силу Архімеда: