Відношення
, або
(6.15)
уже не залежить і від ширини інтервалу, а являється тільки функцією швидкості. Це і є функція розподілу молекул, в даному випадку по швидкостям. Вона показує ймовірність того, що значення швидкості потрапляє в інтервал від V до V+1, тобто в одиничний інтервал швидкостей. Тому її називають густиною ймовірності.
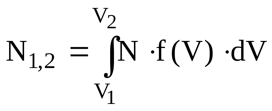
Функція
(6.16)
Називається повною статистичною функцією розподілу. Вона дає можливість знайти кількість молекул, які мають значення швидкості в певному інтервалі від V1 до V2 шляхом інтегрування
.
(6.17)
Ясно, що інтеграл (6.17) у всьому можливому діапазоні швидкостей дає загальну кількість молекул N, тобто
.
(6.18)
Це умова нормування функції розподілу. Останній вираз означає, що ймовірність виявити будь-яке значення швидкості, тобто в інтервалі від 0 до ∞, дорівнює 1.Це достовірна подія.
Максвеллівська функція розподілу молекул по швидкостям має вид (її вивід див.у кн. Р.В.Телеснин. Молекулярная физика)
.
(6.19)
Тут: А – коефіцієнт, який знайдемо із умови (6.18) нормування функції розподілу, m – маса однієї молекули, k – стала Больцмана, Т – абсолютна температура.
Знайдемо нормуючий коефіцієнт А.
.
Виконаємо заміну аргументу інтегрування.
Позначимо
Тоді
.
Одержимо

.
Табличний інтеграл
.
Таким чином маємо
(6.20)
а нормована функція

.
(6.21)
Хаотичний тепловий рух молекул характеризується трьома швидкостями: найбільш ймовірною, середньою арифметичною і середньою квадратичною.
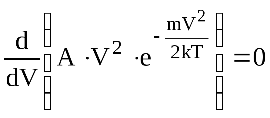
Найбільш ймовірну швидкістьVн.й мають більшість молекул. Це значення аргументу, яке відповідає максимуму функції (6.19). Знайдемо її, дослідивши функцію Максвелла (6.19) на екстремум.
.
.
.
Після спрощень маємо
.
(6.22)
Тут
враховано що
.
Знайдемо середню арифметичну швидкість Vср. ар. з таких міркувань: швидкість V1 мають ∆N(V1) молекул;
швидкість V2 мають ∆N(V2) молекул;
------------------------------------------------
швидкість Vk мають ∆N(Vk) молекул.
Середня арифметична швидкість
,
або з врахуванням (6.16) одержуємо
.
(6.23)
Одержане співвідношення називається правилом статистичного усереднення. Так знаходяться середні значення фізичних величин при відомій функції розподілу по цій фізичній величині. Наприклад, середня енергія може бути знайдена за виразом
.
Розрахуємо середню арифметичну швидкість, скориставшись (6.23) і (6.21).
.
Виконаємо заміну аргументу інтегрування
таку ж, як і в розділі 6.6.
.
Інтегрування по частинам дає
.
Одержуємо
.
(6.24)
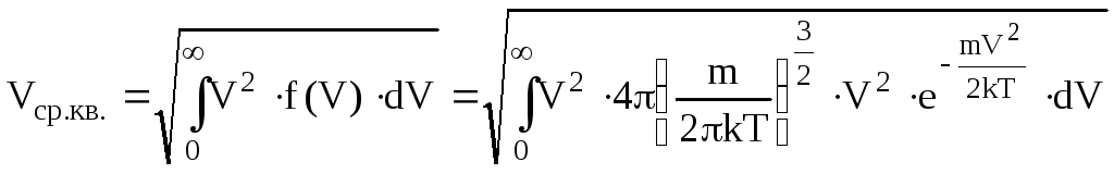
Знайдемо середню квадратичну швидкість Vср.кв – це квадратний корінь із середнього значення квадратів швидкостей
.
Аналогічно попередньому, інтегрування по частинам, дає
Г
рафік
цієї функції показаний на рис.6.7. Це
функція з екстремумом, який відповідає
значенню швидкості, яку мають більшість
молекул. Ця швидкість Vн.й
називається найбільш ймовірною швидкістю.
.
(6.25)
Можна середню квадратичну швидкість знайти простіше, знаючи середню енергію поступального руху молекул (6.13) і означення (6.11) середньої квадратичної швидкості.
.
Видно
(6.22), (6.24) і (6.25), що всі характерні швидкості
відрізняються числовими коефіцієнтами
і із збільшенням температури зростають
пропорційно
.
П
ерша
експериментальна перевірка Максвеллівського
розподілу молекул по швидкостям була
здійснена німецьким фізиком О.Штерном
(1888-1969) у 1920 р. Схема досліду показана на
рис 6.8. Вздовж осі двох к
оаксіальних
циліндрів була натягнута платинова
нитка, покрита сріблом. Внутрішній
циліндр мав вузьку щілину. Вся система
була поміщена у вакуум. При нагріванні
нитка срібло випаровувалось. Щілиною
формувався пучок атомів срібла, які
осідали на внутрішній поверхні більшого
циліндра напроти щілини. Коли циліндри
приводились в обертання (~2700 об/хв),
срібна пляма зміщувалась і розмивалась
так як за час прольоту атомів між
циліндрами
вони
встигали повернутися на певний кут.
Зміщення
.
Тоді швидкість атомів
.
По зміщенню максимуму плями знаходили
найбільш ймовірна швидкість (~600 м/с),
яка добре узгоджувалась з розрахованим
по (6.22) значенням. Вимірювання товщини
плівки срібла з різним зміщеннями дали
можливість впевнитись у справедливості
формули (6.19), так як молекули з різними
швидкостями зазнавали різного зміщення:
повільні молекули – більшого, швидкі
– меншого.
Б
арометричною
формулою називається залежність тиску
Р атмосфери Землі в залежності від
висоти h
над її
поверхнею. Знайдемо її. Для цього виділимо
нескінченно малий циліндр повітря
висотою dh
і площею основи dS
(рис.6.9). Позначимо тиск на нижню основу
Р(h),
на
верхню P(h+dh).
Маса повітря в цьому циліндрі dm
= ρ·g∙dh∙dS.
Густину знайдемо із (6.5) рівняння
Клапейрона-Менделєєва
.
Запишемо умову рівноваги циліндра.
Горизонтальні сили тиску, які діють на
бічну поверхню взаємно компенсуються.
Залишаються вертикальні сили
![]()
.
Інтегруємо це рівняння з граничними
умовами:
при
h
= 0 P
= Po. ![]()
Одержали барометричну формулу
,
(6.26)
де m – маса однієї молекули, Еп – потенціальна енергія молекули в гравітаційному полі Землі. Формула (6.26) показує, що по мірі збільшення висоти тиск зменшується по експоненті.
Враховуючи
основне рівняння молекулярно-кінетичної
теорії (6.14)
,
формула (6.25) перейде в формулу
Больцманівського розподілу молекул по
потенціальним енергіям
.
(6.27)
В
ираз
(6.27) показує, що на більш високому
енергетичному рівні знаходиться менше
частинок (рис.6.10). При Еп2
> Еп1
n2
< n1.
Такий розподіл частинок називається
нормальним. Якщо ж на більш високому
енергетичному рівні знаходиться більше
частинок, тобто при Еп2
> Еп1
n2
> n1,
такий розподіл називається інверсною
заселеністю енергетичних рівнів. Це
термодинамічно нерівноважний стан
системи. Саме таке заповнення рівнів
необхідне для роботи лазерів.
Із виразу (6.27) випливає, що з пониженням температури концентрація молекул на висотах, відмінних від нуля зменшується, і при Т = 0К стає рівною нулю. Це означає, що при Т = 0К всі молекули знаходяться на поверхні Землі, тобто при h = 0. Отже силове поле намагається розмістити частинки в положення з мінімальною потенціальною енергією. Тепловий же рух навпаки намагається розподілити молекули рівномірно. Внаслідок цих протилежних факторів і встановлюється експоненціальний розподіл молекул з висотою.