Н
айменша
відстань, на які зближуються центри
двох молекул, називається ефективним
діаметром
молекул (рис.6.11). Це не діаметр простору,
який займає молекула, а зіткнення молекул
не означає їх механічний дотик. При
зближенні молекул зростають сили
відштовхування і на певній відстані
вони відштовхують молекули одну від
другої. Ясно, що із зростанням швидкості,
тобто температури, ефективний діаметр
зменшується
.
(6.28)
Це формула Сьозерленда. С – константа Сьозерленда, для кожного газу різна. Наприклад, для кисню С = 398К (125оС).

Знайдемо
частоту ν зіткнень молекули з іншими
молекулами. Припустимо, що рухається
одна молекула, а інші зупинились.
Траєкторія її руху буде ломана лінія,
а рух молекули можна розглядати як рух
всередині ломаного циліндра, радіус
основи якого дорівнює ефективному
діаметрові d
(рис.6.12). За час dt
молекула пройде відстань Vср.ар.∙dt
і зазнає зіткнення з тими молекулами,
центри яких потрапляють всередину цього
колінчатого циліндра
.
З врахуванням того, що рухаються усі
молекули, а не одна, частота зіткнень
збільшується в
раз
.
(6.29)
Тут
називається ефективним перерізом
молекули.
Знайдемо
середню довжину вільного пробігу λ
молекули, тобто середню відстань між
зіткненнями. За одиницю часу молекула
пройде відстань, яка дорівнює
і зазнає ν зіткнень. Тоді
.
(6.30)
Підставимо (6.28) в (6.30). Одержимо температурну залежність λ
.
Із
збільшенням температури довжина вільного
пробігу зменшується. При Т = С вона в два
рази менша, ніж при дуже високій
температурі
.
Проаналізуємо
залежність довжини вільного пробігу
молекул від концентрації, або від тиску,
так як Р = nkT.
Із зменшенням тиску (концентрації) λ
зростає по гіперболічному закону. Але
її зростання обмежене розміром посудини,
в якій знаходиться газ (рис.6.13). Н
астає
такий стан, коли молекули стикаються
тільки із стінками посудини, а не між
собою. Такий стан газу називається
вакуумом. Як бачимо, це поняття відносне.
Стан вакууму наступає тоді, коли
теоретичне значення довжини вільного
пробігу, знайдене за формулою (6.30), стає
більшим, ніж характерний (найбільший)
розмір посудини. Довжина вільного
пробігу перестає залежати від тиску
(концентрації) і виходить на насичення.
П
ри
хаотичному русі молекул вони переходять
із одного шару в інший і переносять
імпульс, енергію і власну масу. До явищ
переносу відносяться: 1) внутрішнє тертя
(виникнення сили в’язкості) – перенос
імпульсу направленого руху молекул; 2)
теплопровідність – перенос енергії
теплового руху; 3) дифузія – перенос
маси.
Р
озглянемо
спочатку явище внутрішнього тертя. Сила
внутрішнього тертя виникає тоді, коли
швидкість U
направленого руху шарів газу різна,
тобто існує градієнт швидкості
направленого руху. Механізм її виникнення
в газах такий. Молекула одночасно приймає
участь у хаотичному русі з тепловою
швидкістю Vср.ар.
і в направленому русі із швидкістю U,
характерною для кожного шару (рис.6.14).
За рахунок хаотичного теплового руху
молекула переходить із одного шару в
інший і переносить в новий шар імпульс
направленого руху, характерний тому
шару, де вона зазнала останнього
зіткнення. При переході молекули в
повільніший шар вона, за рахунок зіткнення
з новими сусідніми молекулами, віддає
їм частину свого імпульсу направленого
руху, тим самим прискорюючи його. І
навпаки, потрапляючи у більш швидкий
шар, молекула забирає частину імпульсу
направленого руху його молекул, тобто
виникає гальмівна сила в’язкості.
З
найдемо
величину цієї сили. Епюра швидкості
направленого руху, тобто її зміна з
координатою z,
перпендикулярною до напрямку руху
зображена на рис.6.15. Виберемо площадку
∆S
паралельну швидкості направленого
руху. Порахуємо кількість молекул ∆N1
і ∆N2,
які переходять через цю площадку після
останнього свого зіткнення. Очевидно,
що останнє зіткнення молекула зазнає
на відстані, не більшій ніж довжина
вільного пробігу λ, де швидкості
направленого руху дорівнюють U1
і U2.
Через площадку перейде 1/6 частина молекул
(див. розд. 6.4), які знаходяться в циліндрі
з площею основи ∆S
і висотою λ
.
(6.31)
Кожна
молекула має відповідний імпульс
направленого
руху m∙U1
і m∙U2.
Запишемо другий закон Ньютона в редакції
імпульс сили дорівнює зміні імпульсу
системи, врахувавши, що час переходу
молекул
визначається тепловою швидкістю
![]()
.
.
Тут
- градіент швидкості направленого руху,
- густина, коефіцієнт в’язкості
.
(6.32)

Явище
теплопровідності заключається в
перенесенні теплоти від холодних частин
системи до більш нагрітих. Отже необхідною
умовою існування цього явища є наявність
градієнта температури. Фізичний механізм
теплопровідності заключається в
перенесенні молекулами енергії теплового
руху з областей, де температура вища, в
області з меншою температурою. Переходи
молекул зумовлені їх хаотичним тепловим
рухом. Молекула, покидаючи шар, де вона
зазнала останнього зіткнення, має
теплову енергію, яка відповідає
температурі цього шару. Потрапляючи в
шар з іншою температурою, вона або
віддає, або забирає в результаті зіткнення
з новими сусідніми молекулами частину
енергії теплового руху. Внаслідок цього
навий шар нагрівається, якщо молекула
потрапила в нього із більш гарячого
шару, або охолоджується, якщо молекула
перейшла із шару з меншою температурою.
Ясно, що молекула несе теплову енергію,
характерну температурі того шару, де
вона зазнала останнього зіткнення.
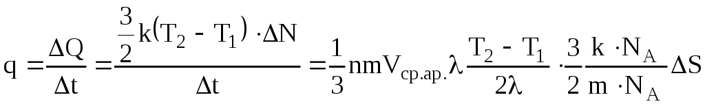
Знайдемо
теплову потужність, яку переносять
молекули. Залежність температури від
координати показана на рис.6.16. Через
площадку ∆S,
перпендикулярну до градієнта температури
переходить
молекул
після останнього зіткнення за час
вільного пробігу
.
Теплова енергія, що відповідає шару, де
молекула зазнала останнього зіткнення,
дорівнює відповідно
.
Таким чином, потік теплової потужності через площадку ∆S
.
Тут:
-
питома теплоємність газу при сталому
тискові;
- градіент температури. Знак (-) означає,
що вектор градієнта направлений в
сторону зростання температури, а потік
теплової потужності q має протилежний
напрямок. Отже одержуємо рівняння
теплопровідності
.
(6.33)
Коефіцієнт
теплопровідності
.
(6.34)
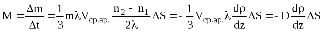
Дифузія – це перехід молекул із місць з більшою концентрацією в місця з меншою концентрацією. Отже, необхідною умовою дифузії є наявність градієнта концентрації (густини). Молекули переходять за рахунок хаотичного теплового руху із шарів з більшою концентрацією молекул в шари з меншою концентрацією. При цьому вони переносять власну масу. Знайдемо потік маси М, тобто масу, яка переноситься через площадку ∆S за одиницю часу (рис.6.17). Кількість молекул, які переходять через площадку ∆S після останнього зіткнення зліва направо і навпаки дорівнюють:
Таким
чином, сила в’язкості
.
Одержана формула є не що інше, як формула
Ньютона (5.1).
![]()

,
.
Тоді за час ∆t вільного пробігу перенос маси буде дорівнювати
.
Потік маси
(6.35)
Рівняння
(6.35) називається рівнянням дифузії, або
першим законом Фіка. Коефіцієнт
дифузії
.
(6.36)
Запишемо коефіцієнти переносу:
коефіцієнт
в’язкості (6.32)
,
к
оефіцієнт
теплопровідності (6.34)
,
коефіцієнт
дифузії (6.36)
.
Ці коефіцієнти зв’язані між собою очевидним співвідношенням
.
(6. 37)
Проаналізуємо
залежність цих коефіцієнтів від
концентрації молекул, або, що теж саме
від тиску, так як Р = nkT.
При високих значеннях тиску (до стану
вакууму) λ ~ n-1
(див.(6.30)), а ρ
~ n.
Vср.ар∙
від n не залежить. Тому η
~
no
, χ
~ no
не залежать
від концентрації (тиску), а D ~ λ ~ n-1
(рис. 6.18). В стані вакууму λ ~ no
не залежить від концентрації (див. розділ
6.10). Тому η ~ n,
χ
~ n
пропорційні концентрації, а D ~ nо
не залежить від неї. Зменшення коефіцієнта
теплопровідн
ості
газу в стані вакууму використовується
при створенні тепло ізольованих посудин
– термосів, посудин Дюара (термоси для
зберігання зріджених газів), а також в
манометричних перетворювачах Пірані
(рис.6.19), які використовуються для
вимірювання тиску газу. Платинова нитка
1 нагрівається електричним струмом, а
її температура вимірюється термопарою
2. При зміні тиску змінюється
теплопровідність газу і температура
нитки. По термоелектрорушійній силі
термопари (mV)
вимірюють тиск газу.