Материал: 6_kurs_rukovodstvo

Внимание! Если размещение файла нарушает Ваши авторские права, то обязательно сообщите нам

Эталон решения задачи №1

Частота абортов = Число случаев искусственного прерывания беременности*1000

Число женщин фертильного возраста

14800*1000

= 500000 = 29,6 сл на 1000 женщин фертильного возраста.

Показатель наглядности – частота абортов в отчетном году по сравнению с данными 10-ти летней давности (темп роста):

24,6 – 100% х = 29,6* 100% = 120,3%

29,6 – х 24,6

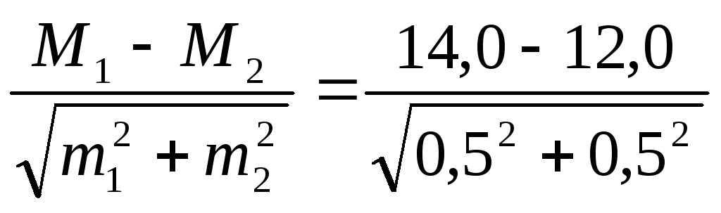
    1. Критерий достоверности различий:

t = = 4,0

1.3.

120,0% (отч.год)

100,0%

95,0% (10 лет назад)

    1. Рис. 1. Частота невынашивания беременности женщинами области по сравнению с данными по Украине в динамике за отчетный и сравниваемый годы (100% – данные по Украине) .

  1. Зависимость частоты невынашивания беременности от ряда факторов:

-наличия хрон. восп. заб-й женских половых органов – (r = +0,27) – прямая, слабая связь,

-наличия гормональных нарушений – (r = +0,23) – прямая, слабая связь,

-наличия абортов в анамнезе (r = +0,71) – прямая, сильная связь,

-наличия соматической патологии – (r = +0,18) – прямая, слабая связь.

Вывод: На невынашивание беременности женщинами области сильное влияние оказывает такой фактор как «наличие абортов в их анамнезе».

3.1. За 10 лет достоверно уменьшился (с 14 до 12 лет) средний возраст девочек, которые начинают половую жизнь, что свидетельствует о снижении моральных устоев среди молодежи и в дальнейшем может сказаться на репродуктивном здоровье (t > 2 и равен 4).

3.2. В отчетном году частота абортов в области в расчете на 1000 женщин фертильного возраста составила около 30 случаев, что на 20,3% больше, чем было 10 лет назад, и на 8,4% больше, чем в среднем по Украине. 10 лет назад показатель распространенности абортов в области был ниже среднеукраинского почти на 37%. Таким образом, в области отмечается активный рост частоты абортов. Больше всего абортов (80,5%) сделано женщинами наиболее детородного возраста (18-34 лет). На втором ранговом месте по частоте проведенных абортов стоит возрастная группа женщин 35-49 лет (16,6%). Как известно, аборты приводят к серьезным нарушениям здоровья, зачастую к бесплодию. Этим можно объяснить и высокий уровень нарушений менструального цикла, который регистрируется у женщин области.

3.3. Учащение абортов стало основной причиной роста и частоты невынашивания беременности женщинами области. Этот показатель за 10 лет вырос на 27,8% (с 9,4 до 12,0 сл на 100 беременностей) и превышает аналогичный средний показатель по Украине на 20%, в то время как 10 лет назад названный показатель был ниже на 5% среднереспубликанского значения (см. рис. 1). Это свидетельствует о явном ухудшении состояния здоровья женщин в указанной области.

4. Направления по улучшению репродуктивного здоровья женщин области:

4.1. Усилить гигиеническую и просветительную работу среди подростков и молодежи по вопросам ответственного сексуального поведения, вреда абортов, особенно в подростковом и молодом возрасте, о важности сохранения репродуктивного здоровья.

4.2. Разработать мероприятия по предупреждению непланируемой беременности (обучение современным способам контрацепции, проведение медикаментозного прерывания беременности в ранние сроки и т.п.) и повышению ответственности отцовства.

4.3. Создать центры планирования семьи в крупных городах области.

4.4. Усилить контроль за профилактической работой акушеров-гинекологов области.

Задача №2

(для специальности «Лечебное дело», «Медико-профилактическое дело»)

В городе К. находится кирпичный завод. Условия труда рабочих характеризуются комплексом неблагоприятных факторов. На заводе работают 4000 человек. По данным СЭС содержание газов и пыли в воздухе цехов обжига кирпича в 3 раза превышает ПДК. Средняя температура воздуха в цехе составляет 41,0±1,0°С (норматив – 37,7±1,0°C).

В отчетном году было зарегистрировано 5340 случаев и 68700 дней временной нетрудоспособности в связи с заболеванием. Основными причинами нетрудоспособности в отчетном году были болезни органов дыхания (45% от всех случаев) и нервной системы (25%), что соответственно составило 35% и 24% от числа дней нетрудоспособности. Особенно часто среди работающих встречались острые и хронические бронхиты и радикулиты. В 2000 году среди причин нетрудоспособности болезни органов дыхания составили 42% от всех случаев, болезни нервной системы – 21%.

В таблице представлены данные о заболеваемости (по данным обращаемости за медпомощью) среди рабочих за 2000 и отчетный годы.

Год

Заболеваемость по данным обращаемости

на 100 работающих

в % по сравнению с отраслью

стандартизованные

по работе во вредных

условиях показатели,

на 100 работающих

число случаев

число дней

частота случаев

частота дней

случаи

дни

2000

97,1

1070,2

114,5

107,4

85,7

1040,1

Отчетный

119,8

121,3

138,4

1980,2

Задания:

1. Провести статистическую обработку следующих данных:

1.1. рассчитать частоту случаев и дней нетрудоспособности в связи с заболеванием за отчетный год;

1.2. рассчитать темп прироста заболеваемости (по случаям и по дням) с 2000 по отчетный год;

1.3. сравнить среднюю температуру воздуха в цехе обжига кирпича с нормативом, используя критерий достоверности различий.

1.4. изобразить графически удельный вес ведущих причин нетрудоспособности по случаям и дням среди рабочих кирпичного завода в отчетном году.

2. Установить влияние неблагоприятных условий труда рабочих на рост заболеваемости (используя стандартизованные показатели).

3. Проанализировать состояние здоровья рабочих по:

3.1. показателям заболеваемости по данным обращаемости (по случаям и по дням) за отчетный год и в динамике;

3.2. показателям заболеваемости по данным обращаемости (по случаям и по дням) в сравнении с отраслевыми данными;

3.3. удельному весу отдельных заболеваний среди причин нетрудоспособности в динамике.

4. Определить направления медицинского характера по снижению заболеваемости среди рабочих кирпичного завода.

Эталон решения задачи №2

    1. Расчет показателей заболеваемости с ВУТ за отчетный год:

а) Частота случаев = Число случаев заболеваний с ВУТ * 100 =

Число работающих

= 5340 * 100 = 133,5 сл. на 100 работающих

4000

б) Частота дней = Число дней с ВУТ * 100 = 68700 * 100 =

Число работающих 4000

= 1717,5 дн. на 100 работающих

    1. Темп прироста заболеваемости с ВУТ с 2000 по отчетный год:

а) по случаям = (133,5 – 97,1) * 100% = 37,5%

97,1

б) по дням = (1717,5 – 1070,2) * 100% = 60,5%

1070,2

    1. Критерий достоверности различий :

===2,3

1.4. Случаи Дни

– болезни органов дыхания

– болезни нервной системы

25,0

24,0

45,0 35,0

Рис. 1. Удельный вес ведущих причин нетрудоспособности по случаям и дням среди рабочих кирпичного завода в отчетном году (в %)

2. Таблица

Интенсивные и стандартизованные показатели заболеваемости с ВУТ

(на 100 работающих)

Случаи Дни

Показатели

Год

Показатели

Год

2000

отчетный

2000

отчетный

Интенсивные

97,1 < 133,5

Интенсивный

1070,2 < 1717,5

Стандарт. по работе во вредных условиях

85,7 < 138,4

Стандарт. по работе во вредных условиях

1040,1 < 1980,2

Вывод: На кирпичном заводе среди рабочих отмечается рост заболеваемости с ВУТ по случаям и дням. Но это не связано с работой во вредных условиях, а зависит от другого фактора.

3.1. По ориентировочной шкале Ноткина частота случаев с ВУТ среди рабочих кирпичного завода оценивается как «высокая», а частота дней – как «очень высокая». В динамике отмечается рост заболеваемости с ВУТ по случаям (на 37,5%) и особенно по частоте дней (на 60,5%). Это свидетельствует об ухудшении состояния здоровья рабочих за счет роста всех форм заболеваний, но с преобладанием хронической или длительно текущей патологии.

3.2. В отчетном году показатели заболеваемости с ВУТ среди рабочих завода превышают среднеотраслевые данные на 19,8% по случаям и на 21,3% по дням потери трудоспособности. В 2000 году также отмечалось превышение показателей, но менее выраженное: по случаям – на 14,5%, по дням – на 7,4%. Все названные показатели также свидетельствуют о более низком уровне здоровья работающих на данном предприятии, чем в целом по отрасли. Однако, если в 2000 году – за счет заболеваемости острой патологией, то в отчетном – за счет перобладания хронических и длительно текущих форм заболеваний.

3.3. Основными причинами нетрудоспособности в отчетном году были болезни органов дыхания и нервной системы. Их удельный вес среди всех случаев составил 45% и 25% и среди всех дней – 35% и 24% соответственно. В 2000 году доля названной патологии и по случаям, и по дням была несколько ниже, чем в отчетном, но также высокая. Болезни органов дыхания составляли 42% от всех случаев, болезни нервной системы – 21%. Особенно часто встречаются среди рабочих предприятия острые и хронические бронхиты и радикулиты. Причинами таких заболеваний могут быть вредные условия труда (по данным СЭС, содержание газов и пыли в воздухе цеха обжига в 3 раза превышает ПДК) и высокая температура воздуха в цехе (подтверждено критерием достоверности различий нормативной величины и средней температуры в цехе, который больше «2» и равен 2,3).

4. Направления медицинского характера по снижению заболеваемости среди рабочих кирпичного завода:

4.1. Разработать комплекс мероприятий по улучшению условий труда.

4.2. Предложить мероприятия вторичной профилактики, направленные на снижение хронической патологии.

4.3. Разработать комплекс профилактических мероприятий, направленных на снижение заболеваемости бронхитами и радикулитами.