Материал: 6_kurs_rukovodstvo

Внимание! Если размещение файла нарушает Ваши авторские права, то обязательно сообщите нам

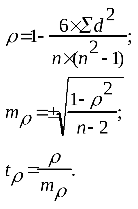
Алгоритм расчета коэффициента ранговой корреляции (р), его ошибки (mp) и коэффициента достоверности (tp)

Признак

x

Признак

y

Порядковые

номера (ранги)

для рядов

Разность

между рангами

(d=x y′)

Квадрат

разности

(d2)

Формулы для расчета

х′

y′

1

2

3

4

5

6

7

d2

Схема оценки коэффициента корреляции

Сила связи

Величина коэффициента при наличии

прямой корреляции

обратной корреляции

Малая (низкая, слабая)

от 0 до +0,3

от 0 до –0,3

Средняя

от 0,3 до +0,7

от –0,3 до –0,7

Большая (высокая, сильная)

от 0,7 до +1,0

от –0,7 до –1,0

Приложение 4

Показатели здоровья населения основные демографические показатели

1. Показатели статики населения

Название показателя

Формула расчета

Численность населения

Абсолютная величина

Удельный вес мужчин (женщин)

Численность мужчин (женщин) Х 100%

Численность населения

Удельный вес детей 0-14 лет (другой возрастной группы)

Численность детей 0-14 лет Х 100%

Численность населения

Удельный вес мигрирующего населения

Число лиц, выехавших из

административной территории Х 100%

Численность населения

2. Общие и специальные показатели (коэффициенты) рождаемости

Название показателя

Формула расчета

Общий показатель рождаемости

Число родившихся живыми X 1000

Численность населения

Специальные показатели рождаемости

Общая

плодовитость

Число родившихся живыми Х 1000

Численность женщин плодовитого возраста

(т.е. 15-49 лет)

Повозрастная

рождаемость

(плодовитость)

Число родившихся живыми у женщин в возрасте 15-19 (20-29, 30-39, 40-49) лет Х 1000

Численность женщин в возрасте 15-19 (20-29,30-39, 40-49) лет

Брачная

плодовитость

(рождаемость)

Число родившихся живыми у женщин, состоящих в браке Х 1000

Численность женщин в возрасте 15-49 лет, состоящих в браке

Повозрастная

брачная

плодовитость

(рождаемость)

Число родившихся живыми у женщин в возрасте 20-29 (15-19, 30-39, 40-49) лет, состоящих в браке Х 1000

Численность женщин в возрасте 20-29 (15-19, 30-39, 40-49) лет, состоящих в браке

3. Показатели естественного прироста населения

Название показателя

Формула расчета

Естественный прирост

населения

1) коэффициент рождаемости минус коэффициент смертности

2) (число родившихся минус число умерших) Х 1000

численность населения

  1. Общий и специальные показатели (коэффициенты) смертности

Название показателя

Формула расчета

Общий показатель смертности

Число умерших Х 1000

Численность населения

Специальные показатели смертности

Повозрастная

смертность

Число умерших в возрасте 50-60 лет (другой возрастной группы) Х 1000

Численность населения в возрасте 50-60 лет (другой возрастной группы)

Смертность

мужчин (женщин)

Число умерших мужчин (женщин) Х 1000

Численность мужчин (женщин)

Смертность от

отдельной причины

Число умерших от отдельного заболевания Х 100000

Численность населения

Удельный вес

умерших от отдель-ной причины

Число умерших от отдельного заболевания (класса болезней) Х 100%

Число умерших

Детская смертность

(младенческая)

Число умерших в возрасте 0-12 месяцев Х 1000

Число родившихся живыми

Перинатальная смертность

Число умерших с 22 недели беременности до 7 дня жизни Х 1000

Число родившихся живыми и мертвыми

5. Показатели младенческой и перинатальной смертности

Название показателя

Формула расчета

Младенческая (детская) смертность (на первом году жизни)

Обычный способ расчета:

Число умерших на первом году жизни в

данном календарном году Х 1000

Число родившихся живыми за

данный календарный год

По способу Ратса:

Число умерших на первом году жизни в

данном календарном году Х 1000

2/3 родившихся живыми в данном году

плюс 1/3 родившихся живыми в предыдущем году

Показатель младенческой смертности за календарные месяцы

Число умерших в возрасте до года в данном

календарном месяце Х 1000

Число родившихся живыми за календарный месяц

По периодам жизни детей 1 года

Неонатальная

смертность (на первом месяце жизни)

Число умерших в возрасте 1 месяца

(0-27 дней) Х 1000

Число родившихся живыми

Ранняя неонатальная

смертность (на первой неделе жизни)

Число умерших в возрасте 0-6 дней

(168 часов) Х 1000

Число родившихся живыми

Поздняя неонатальная смертность (с конца первой недели до конца первого месяца жизни)

Число умерших в возрасте

7-27 дней Х 1000

Число родившихся живыми

Постнеонатальная

смертность(смертность детей в возрасте старше месяца до 1 года)

Число умерших в возрасте старше

1 месяца (27 дней и старше) Х 1000

Число родившихся живыми

Перинатальная смертность (с 22 недель беременности до 7 дня жизни) или (родившиеся мертвыми плюс умершие на 1-ой неделе)

Число умерших с 22 недели беременности

до 7 дня жизни Х 1000

Число родившихся живыми и мертвыми

Число родившихся мертвыми плюс умерших

в возрасте 0-6 дней Х 1000

Число родившихся живыми и мертвыми

Антенатальная смертность (с 22 недели беременности до момента родов)

Число умерших с 22 недели беременности

до момента родов Х 1000

Число родившихся живыми и мертвыми

Интранатальная смертность (смертность в момент родов)

Число умерших в момент родов Х 1000

Число родившихся живыми и мертвыми

Постнатальная смертность (умершие на первой неделе)

Число умерших в возрасте 0-6 дней Х 1000

Число родившихся живыми и мертвыми

Мертворождаемость (умершие в анте- и интра-натальном периодах)

Число родившихся мертвыми Х 1000

Число родившихся живыми и мертвыми

Удельный вес умерших на первом месяце жизни от общего числа умерших на 1-ом году

Число умерших на первом месяце

жизни Х 100%

Число умерших на первом году жизни

Удельный вес умерших на 1-ой неделе жизни от числа умерших на 1-ом месяце

Число умерших на первой неделе Х 100%

Число умерших на первом месяце жизни

Младенческая смертность от отдельных болезней

Число детей в возрасте до года,

умерших от какой-либо болезни Х 1000

Число родившихся живыми

Удельный вес умерших на первом году жизни от какой-либо болезни

Число детей в возрасте до года ,

умерших от какой-либо болезни Х 100%

Число всех умерших на первом году жизни