Материал: 6_kurs_rukovodstvo

Внимание! Если размещение файла нарушает Ваши авторские права, то обязательно сообщите нам

Методика расчета показателей динамического ряда

Наименование

показателя

Методика расчета

Абсолютный прирост

(убыль)

разность между настоящим и предыдущим уровнями

разность между конечным и начальным уровнями

Темп роста (убыли)

Темп

прироста

1)

2) Х = темп роста – 100%

1% прироста

(снижения)

Показатель

наглядности

(т.е. постоянное основание)

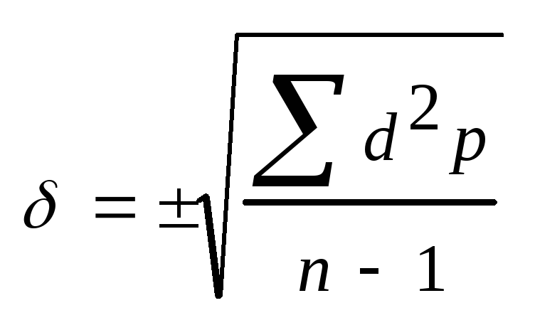
МЕТОДИКА РАСЧЕТА СРЕДНИХ ВЕЛИЧИН

И ДРУГИХ ПАРАМЕТРОВ ВАРИАЦИОННОГО РЯДА

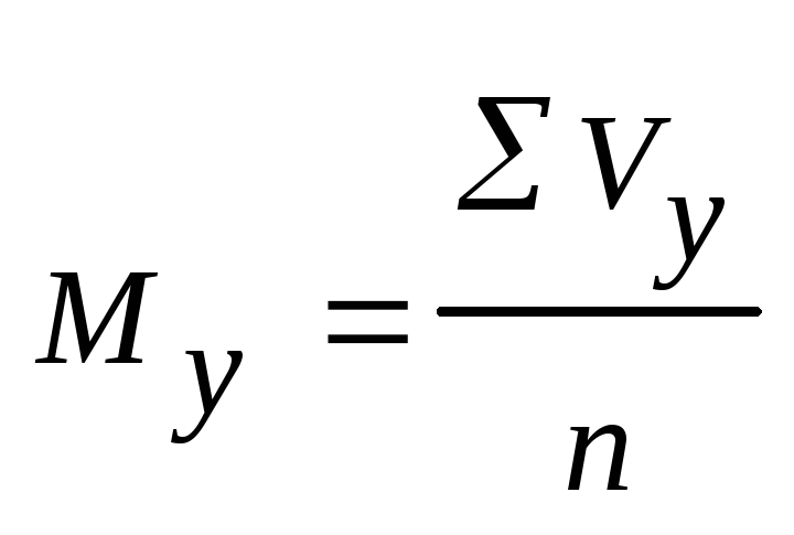
Алгоритм расчета параметров взвешенного вариационного ряда

простым (среднеарифметическим) способом

V

р

Vp

d

(V–M)

d2

d2p

Формулы для расчета

1

2

3

4

5

6

7

*

*

р=n

Vp

d2p

Алгоритм расчета параметров взвешенного ряда по способу моментов

V

р

а

(V-A)

ap

a2

a2p

Формулы для расчета

1

2

3

4

5

6

7

*

*

р=n

ар

a2p

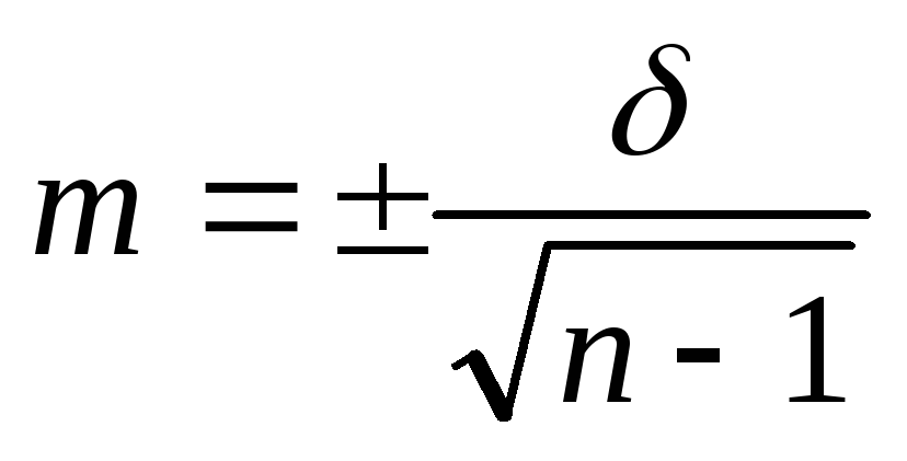
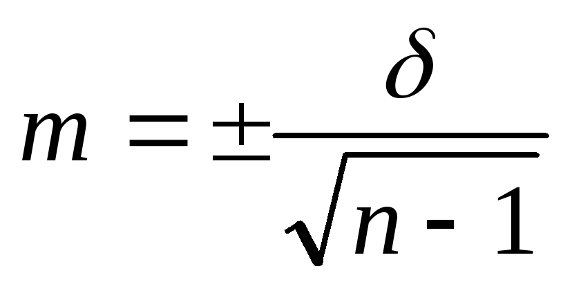
* При большом числе наблюдений (n>30) в знаменателе берут n, а не (n–1).

Методика расчета коэффициентов достоверности

Статистическая величина

Методика расчета

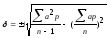
ошибки репрезентативности

критерия (коэффициента) достоверности

критерия (коэффициента) достоверности различий

Средняя

Относительная

Методика расчета стандартизованных показателей

Алгоритм расчета стандартизованных показателей прямым способом

Погруп-

повой признак

Исходные данные

сравниваемых групп

I этап

II этап

III этап

интенсивный

показатель

стандарт

«ожидаемые»

(стандарт.) числа

группа

А

группа

В

состав группы

распреде

ление явления

состав группы

распреде

ление явления

группа

А

группа

В

абс.

число

%

группа

А

группа

В

Всего

IV этап

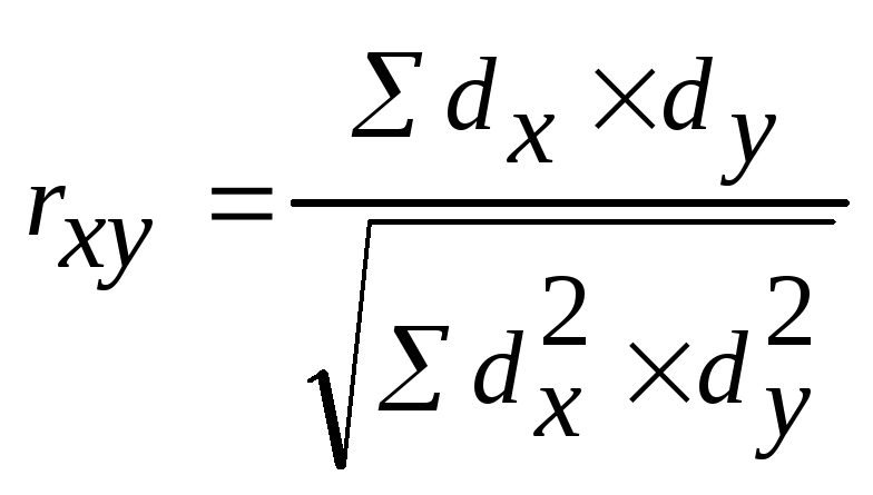
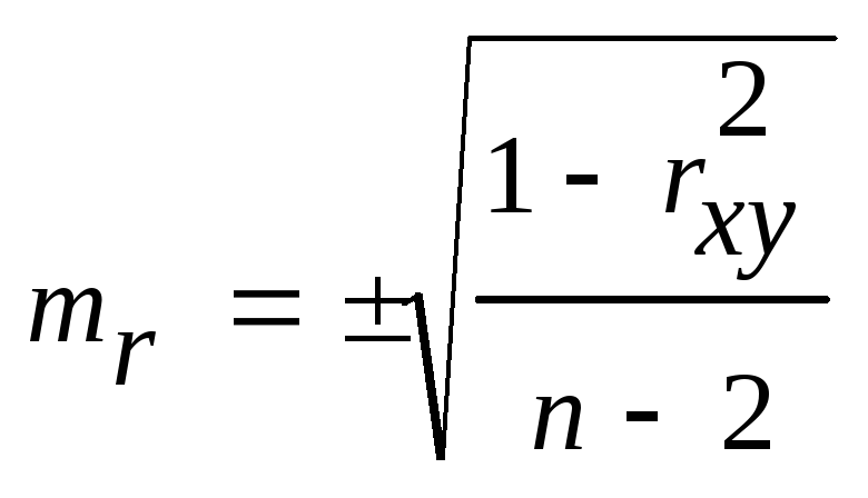
Методика корреляционного анализа Алгоритмы расчета коэффициента линейной корреляции (rху), его ошибки (mr) и коэффициента достоверности (tr)

Vx

Vу

dx

(X-Mx)

dү

(Y-My)

dx × dү

dх2

dу²

Формулы

1

2

3

4

5

6

7

8

ΣVx

ΣVy

Σdx×dү

Σdx2

Σdy2

Образец таблицы для сравнения общих интенсивных и

общих стандартизованных показателей

Показатели

Сравниваемые группы

Группа А

Группа В

Общие интенсивные

Стандартизованные