Материал: 2_MIKROBIOLOGIYa_temy_5-9_FIZIOLOGIYa_I_IZMENChIVOST_MIKROORGANIZMOV

Внимание! Если размещение файла нарушает Ваши авторские права, то обязательно сообщите нам

Схема опыта трансдукции

(формирование у лактозонегативного штамма E.coli способности разлагать лактозу)

Реципиент

Донор фаг λ

Зараженная трансдуцирующим

E.coli lac-

dgal, 1 мл

фагом λ dgal культура E.coli lac-

1 мл

 

 

 

 

 

соединение

Высев на

Высевы на среду Эндо по 0,1 мл

среду

из разведения смеси 10-6

Эндо 1 мл

 

Условные обозначения: - лактозонегативные колонии - лактозопозитивные колонии

Пример расчета:

 

 

 

 

частота трансдукции =

(5+1)х10х106

=

6

= 1,3х10-2

 

(138+170+160)х10х106

468

4. Области использования учения о генетике и изменчивости микроорганизмов

I. Применение в промышленности генетически модифицированных микроорганизмов с заданными свойствами для получения коммерчески ценных продуктов

илекарств

1)производство вакцин:

-живых вакцин путем аттенуации (ослабления вирулентности) микробов под действием физических, химических и биологических факторов с сохранением иммуногенности;

-штаммов бактерий с высокой продукцией экзотоксинов для производства анатоксинов;

-генно-инженерных вакцин.

2)производство антибиотиков (получение штаммов бактерий и грибов с высокой продукцией антибиотиков);

3)производство биологически активных веществ (гормонов, например, инсулина, витаминов группы В,С, цитокинов и др.);

4)получение химических веществ: ацетона, спиртов, органических кислот, ингибиторов ферментов и др.

II. Генная диагностика с использованием молекулярно-генетических методов (ПЦР,

методов гибридизации и амплификации ДНК, секвенирование ДНК и др.):

1)экспресс-диагностика инфекционных заболеваний;

2)диагностика неинфекционных заболеваний (наследственных, онкологических, различных видов иммунопатологии и др.);

3)идентификация ДНК, белков в судебной медицине

III. Генная терапия - лечение соматических заболеваний путем переноса в дефектные клетки организма человека необходимых генов; для переноса используют векторы на основе вирусов.

5. Молекулярно-генетические методы исследований, используемые при диагностике инфекционных заболеваний

Наиболее часто используется полимеразная цепная реакция.

Полимеразная цепная реакция (ПЦР)

ПЦР разработана американским исследователем K.B.Mullis в 1985 году, является прямым, высокочувствительным и специфичным методом диагностики. Она основана на репродукции в пробирке уникальных участков генов вирусов или бактерий и образовании миллионов и миллиардов копий-амплификаций за 2-3 часа в присутствии фермента термостабильной ДНК-полимеразы (tag – полимеразы). Чувствительность ПЦР может достигать математически возможного предела (детекции 1 копии ДНК-матрицы).

ПЦР и методика ее постановки

При выполнении исследования ПЦР в реакторе (амплификаторе, или термоциклере) повторяются определенные циклы:

1.Денатурация - исследуемый биологический материал помещают в реактор (амплификатор, или термоциклер), где происходит нагревание материала и расщепление ДНК на две отдельные цепочки.

2.Отжиг - присоединение праймеров к противоположным концам полученных цепочек ДНК-мишени; праймеры («затравки») — это искусственно синтезированные олигонуклеотиды, комплементарные искомому фрагменту ДНК, они выделяют и ограничивают нужный участок.

3.Элонгация – после отжига праймеров фермент Taq-полимераза (по названию бактерии – Thermus aquaticus) начинает достраивание второй цепи ДНК с 3'-конца

праймера и формируется вторичная копия ДНК. Температурный цикл амплификации многократно повторяют (30-40 раз) по типу «цепной реакции». На каждом цикле количество синтезированных копий фрагмента ДНК — ампликонов - удваивается.

1.Идентификация копий ДНК, которую возможно проводить тремя методами:

а) электрофоретическим (в агарозном или полиакриламидном геле) — только качественный анализ, не автоматизированный, требует затрат времени, высокая степень опасности получения ложноположительного результата из-за переноса через предметы и реагенты как самой ДНК-матрицы, так и ампликонов, получаемых в больших количествах в течение ежедневной работы, сложность и субъективность трактовки результато в;

б) гибридизационно–ферментным; в) гибридизационно–флуоресцентным - используются праймеры, меченые

флюоресцентной меткой и детекторы флюоресценции для учета результатов; регистрацией продукта может проводиться после полного окончания реакции амплификации («анализ по конечной точке») или детекцией продукта в режиме «реального времени».

2.Компьютерный анализ и сравнение результатов с данными базы различных видов

ДНК.

Для предотвращения контаминации необходимо постоянно использовать собственные лабораторные контроли и периодически применять зашифрованные отрицательные и положительные образцы для оценки специфичности и чувствительности ПЦРгенодиагностических исследований.

Основные варианты ПЦР

1.Стандартная ПЦР - проводится на основе многократной амплификации (удвоения) конкретного фрагмента ДНК при использовании особых ферментов-праймеров; в результате многократного копирования (30-40 циклов) получается количество материала, достаточное для исследования.

2.ОТ-ПЦР (режим обратной транскрипции) - используется для идентификации вирусной РНК; используемый в этом варианте ПЦР фермент обратная транскриптаза позволяет на базе РНК выстроить комплементарную цепь ДНК, их которой восстанавливают вторую цепь ДНК и далее выполняют стандартную методику.

3.ПЦР с анализом результатов «по конечной точке» (End-point PCR) – это модификация метода ПЦР, которая позволяет учитывать результаты реакции по наличию флуоресценции после амплификации, не открывая пробирки; таким образом, решается одна из основных проблем ПЦР – проблема контаминации ампликонами.

4.ПЦР в реальном времени Real-time - количественный вариант, позволяющий не только идентифицировать, но и определить концентрацию ДНК, поскольку выявление заданного фрагмента ДНК запускается после прохождения каждого цикла амплификации, а не после осуществления всей цепочки; идентификация проводится без использования электрофореза и позволяет учитывать результаты реакции, не открывая пробирки; высокая степень автоматизации и специфичность, сокращение времени исследования и площади, занимаемой ПЦР-лабораторией.

5.ПЦР в CMD формате «Мультипрайм» (позволяет выявить в одной пробе несколько патогенов).

Область применения ПЦР

Выявление генов наследственных болезней.

Диагностика инфекционных болезней, особенно вызванных трудноили некультивируемыми на питательных средах микроорганизмами (микоплазмами, хламидиями, вирусами, риккетсиями и др.), а также медленнорастущими микроорганизмами (возбудителем туберкулеза).

Контроль вирусной безопасности крови доноров в качестве подтверждающего теста при ее серонегативности.

Оценка эффективности противовирусной терапии у больных ВИЧ-инфекцией и вирусными гепатитами.

Обнаружение маркеров лекарственной устойчивости у микроорганизмов для повышения эффективности антибактериальной терапии и др.

Судебно-медицинская экспертиза при наличии для исследования крайне малого количества ДНК.

ДНК – идентификация личности.

Установление родства людей.

Фармакогеномика.

Санитарная эпидемиология.

При диагностике инфекционных заболеваний необходимо иметь ввиду, что ни один из методов не имеет 100% гарантии чувствительности и специфичности, поэтому результаты ПЦР должны учитываться в комплексе с результатами других лабораторных методов исследования.

Тема: Действие химических и физических факторов на микроорганизмы. Антимикробные мероприятия. Антибиотики. Методы определения чувствительности микроорганизмов а антибиотикам (1 этап).

1. Основные группы антимикробных мероприятий, используемых для профилактики и лечения инфекционных заболеваний.

Существует множество мероприятий, направленных на создание безмикробной зоны в ЛПУ. Они могут быть разделены на прямые, косвенные и комплексные (рис. 6):

1)прямые - микробная деконтаминация - полное или частичное удаление микроорганизмов с объектов внешней среды и биотопов человека с помощью факторов прямого повреждающего действия

2)косвенные:

разграничительные меры (разобщение потоков людей, помещений, транспорта и т.д., тормозящее миграцию возбудителей);

меры воздействия на иммунную систему индивидуума (иммунопрофилактика, иммунотерапия, иммунокоррекция);

физические и механические методы воздействия, снижение численности микробной популяции (хирургическая, ультразвуковая, лазерная обработка ран, их дренирование и др.).

3)комплексные (сочетание прямых и косвенных методов) - асептика

Асептика - комплекс прямых и разграничительных антимикробных мероприятий, целью которых является создание безмикробной зоны в местах нахождения больных, проведения лечебно-диагностических манипуляций и лабораторных исследований для предупреждения развития и распространения инфекционных болезней.

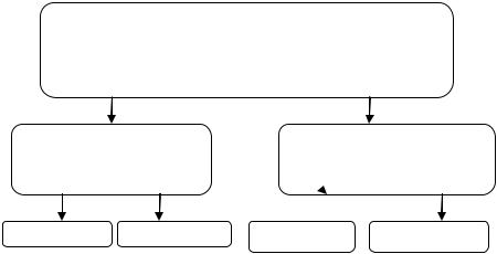
МИКРОБНАЯ ДЕКОНТАМИНАЦИЯ - полное или частичное удаление микроорганизмов с

объектов внешней среды и биотопов человека с помощью факторов прямого повреждающего

МИКРОБНАЯ

МИКРОБНАЯ

ДЕКОНТАМИНАЦИЯ

ДЕКОНТАМИНАЦИЯ

объектов внешней среды

биотопов человека

Дезинфекция Стерилизация

Антисептика Химиотерапия

Рис. 6. Группы антимикробных мероприятий прямого повреждающего действия

Основные группы факторов, оказывающих прямое бактериостатическое и/или бактерицидное действие на микроорганизмы

физические (табл.16);

химические (табл.17);

биологические (антибиотики, бактериоцины, бактериофаги и др.).