Материал: 2426

Внимание! Если размещение файла нарушает Ваши авторские права, то обязательно сообщите нам

qn8B, qn8Н, qn8, рад

qn8B

qn8

x1, УЛЕ

z1, УЛЕ

 

 

 

 

qn8Н

Рис. 4.56. Зависимость диапазонных qn8B, qn8Н и оптимального qn8 значений управляемой координаты q8 в начальной точке положения груза от положений базового шасси q1, q3 (серия экспериментов № 3)

qk8B, qk8Н, qk8, рад

 

qk8B

x1, УЛЕ

qk8

qk8Н

 

z1, УЛЕ

Рис. 4.57. Зависимость диапазонных qk8B, qk8Н и оптимального qk8 значений управляемой координаты q8 в конечной точке положения груза от положений базового шасси q1, q3 (серия экспериментов № 3)

270

qn9B, qn9Н, qn9, УЛЕ

qn9B

qn9

qn9Н

x1, УЛЕ

z1, УЛЕ

Рис. 4.58. Зависимость диапазонных qn9B, qn9Н и оптимального qn9 значений управляемой координаты q9 в начальной точке положения груза от положений базового шасси q1, q3 (серия экспериментов № 3)

qk9B, qk9Н, qk9, УЛЕ

qk9B

qk9

qk9Н

x1, УЛЕ

z1, УЛЕ

Рис. 4.59. Зависимость диапазонных qk9B, qk9Н и оптимального qk9 значений управляемой координаты q9 в конечной точке положения груза от положений базового шасси q1, q3 (серия экспериментов № 3)

271

qn10B, qn10Н, qn10, УЛЕ

qn10B

qn10

x1, УЛЕ

z1, УЛЕ

qn10Н

Рис. 4.60. Зависимость диапазонных qn10B, qn10Н и оптимального qn10 значений управляемой координаты q10 в начальной точке положения груза от положений базового шасси q1, q3 (серия экспериментов № 3)

qk10B, qk10Н, qk10, УЛЕ

qk10B

x1, УЛЕ

qk10

 

z1, УЛЕ

qk10Н

Рис. 4.61. Зависимость диапазонных qk10B, qk10Н и оптимального qk10 значений управляемой координаты q10 в конечной точке положения груза от положений базового шасси q1, q3 (серия экспериментов № 3)

272

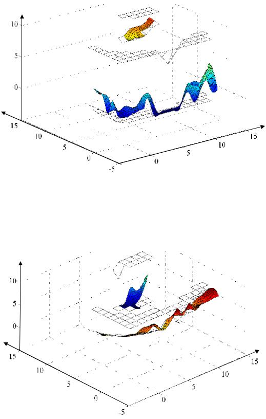
T, c

Точка условного глобального минимума на рассматриваемой области, T= 30 с

x1, УЛЕ

z1, УЛЕ

x1, УЛЕ

z1, УЛЕ

Рис. 4.62. Зависимость временного критерия эффективности T от положений базового шасси q1, q3 при наличии препятствий и ограничении на предельную линейную скорость груза (серия экспериментов № 3)

Наличие препятствий значительно уменьшает область возможного расположения базового шасси в пределах рассматриваемой области (рис. 4.56–4.62). Значение целевой функции (временного критерия, или времени реализации) для оптимальной траектории составляет T=30 с, что примерно в 2 раза больше времени реализации оптимальной траектории в серии экспериментов № 2 и обусловлено необходимостью обхода препятствий.

Результаты 4-й серии экспериментов. В данной серии экспери-

ментов в качестве критерия эффективности использовалось значение абсолютных затрат топлива Ae (энергетический/стоимостный критерий), учитывались ограничения по максимальным рациональным скоростям изменения управляемых координат ГПК вида (4.127), (4.133) и (4.138), в рабочей области отсутствовали препятствия [YПР(i,k)=0

(i,k)].

На рис. 4.63 и 4.64 в качестве примера приведены графики зависимостей энергетического критерия Ae от начального и конечного значений управляемых координат q8, q9, q10 при двух различных по-

273

ложениях базового шасси в пространстве: q1= –1; q3= –3 и q1= –3; q3= –3 УЛЕ.

Ae, л

–3

Точка минимума № 1, Ae=4,5514·10–3 л

q10н, q9н, q8н, рад

q8к, q9к, q10к, рад

Рис. 4.63. Зависимость энергетического критерия эффективности Ae от начального и конечного значений управляемых координат q8, q9, q10 при q1= –1; q3= –3 УЛЕ (серия экспериментов № 4)

–3

Ae, л

Точка минимума № 2, Ae=4,8502·10–3 л

q10н, q9н, q8н, рад

q8к, q9к, q10к, рад

Рис. 4.64. Зависимость энергетического критерия эффективности Ae от начального и конечного значений управляемых координат q8, q9, q10 при q1= –3; q3= –3 УЛЕ (серия экспериментов № 4)

274