Материал: 2231

Внимание! Если размещение файла нарушает Ваши авторские права, то обязательно сообщите нам

7.

 

 

 

 

 

 

 

 

dx

 

.

 

8.

 

 

 

 

dx

 

 

 

 

.

 

 

 

 

 

 

 

 

 

 

 

 

 

 

 

 

 

(x

2

+ 4x)

2

4

2x x2

 

 

 

 

 

 

 

 

 

 

 

9.

 

 

 

 

 

 

 

 

3x 1

 

dx.

10.

 

 

 

x +1

 

 

 

dx.

 

(x

2

+ 2x + 5)

2

(x

2

 

 

3

 

 

 

 

 

 

 

 

 

+ 2)

 

 

 

 

 

Ответы:

 

 

 

 

 

 

 

 

1

 

 

 

 

 

 

1. ln

 

x + 8

 

+ C.

 

 

 

3.

 

 

 

 

 

 

 

+ C.

 

 

 

 

 

 

 

 

 

 

 

 

 

 

 

 

9(x 6)9

 

 

 

 

 

 

 

 

 

 

 

 

 

 

 

 

 

 

 

 

 

 

 

5.

 

1

 

 

arctg

x +

1

+ C.

7. arcsin

x +

1

+ C.

 

 

 

 

 

 

 

 

 

 

 

 

 

 

 

 

 

7

 

 

 

7

 

 

 

 

 

 

 

 

 

 

5

 

 

 

 

 

Из сказанного вытекает теорема.

Теорема. Интеграл от рациональной функции всегда выражает-

ся через интегралы от элементарных

рациональных дробей IIV

(см. с. 141) в конечном виде.

 

 

 

 

 

 

 

 

 

 

 

 

 

И

Теперь рассмотрим несколько примеров на интегрирование ра-

циональных дробей.

 

 

 

 

 

 

 

Д

Примеры.

 

 

 

3x

2

1. Вычислить интеграл

 

 

5x +12

 

 

dx.

 

(x

1)(x 2)(x

+ 3)

 

 

 

 

 

 

 

 

 

 

 

 

. На с. 136 мы получили разложение подынтегральной

дроби на элементарные:

А

 

 

 

 

 

 

 

 

 

 

 

 

 

 

 

 

 

 

 

 

 

 

 

 

 

3x2 5x +12

 

 

=

 

52

 

+

145

 

+

 

2710

 

.

 

 

 

 

 

 

 

x 1

x

2

 

x + 3

 

 

(бx 1)(x 2)(x + 3)

 

 

 

 

 

Решение

 

 

 

 

 

 

 

 

 

 

 

 

 

 

 

 

 

С

 

 

 

 

 

 

 

 

 

 

 

 

 

 

 

 

 

 

 

151

Теперь найдем интеграл:

 

 

 

 

 

 

 

 

 

 

 

 

 

 

 

 

 

 

 

 

 

 

 

 

 

 

 

 

 

 

 

 

 

 

 

 

 

 

 

 

 

 

 

 

 

 

 

 

 

 

 

 

3x2 5x +12

 

 

dx

= −

5

 

 

 

dx

 

+

14

 

dx

 

+

 

27

 

 

dx

 

 

=

 

 

 

(x 1)(x 2)(x + 3)

2

 

 

x 1

 

5

 

 

 

x

2

 

10

 

x + 3

 

 

 

 

 

 

 

 

 

 

 

 

 

 

 

 

 

 

 

 

 

 

 

 

 

 

 

 

 

 

 

 

 

 

 

 

 

5 d(x 1) + 14

d(x 2)

 

 

 

 

27 d(x + 3)

 

 

 

 

 

 

 

И

= −

+

= −

5 ln

 

x

1

 

+

 

 

 

 

 

 

2

 

 

 

x 1

 

5

 

 

 

 

x 2

 

 

 

 

10

 

 

 

 

x + 3

 

 

 

 

 

 

2

 

 

 

 

 

 

 

 

 

 

 

 

 

 

 

 

+

14

ln

x 2

+

27

x + 3

+ C = ln

 

 

 

 

 

C

(x 2)28 (x + 3)27

 

.

 

 

 

 

 

 

 

 

 

5

 

10 ln

10

 

 

 

 

 

 

 

 

 

(x 1)25

 

 

 

 

 

 

 

 

 

 

 

 

 

 

 

 

 

 

 

 

 

 

 

 

 

 

 

 

 

 

 

 

 

 

 

 

 

 

 

 

 

 

 

 

 

 

 

 

 

 

 

 

 

 

 

 

 

 

 

 

 

 

 

 

 

 

 

 

 

 

 

 

 

 

 

 

 

 

 

 

 

 

 

 

 

 

 

 

 

 

 

 

 

 

 

 

 

 

 

 

 

 

 

 

 

 

 

 

 

 

 

 

 

 

 

 

 

 

 

 

 

 

 

 

 

 

 

 

 

 

 

 

 

 

 

 

 

 

 

 

 

 

 

 

 

 

 

2. Вычислить интеграл

 

 

 

x3 2x 1

 

 

 

 

dx .

 

 

 

 

 

 

 

 

 

 

 

 

 

 

 

 

 

 

 

 

 

 

 

(x

1)

2

(x

+ 2)

3

 

 

 

 

 

 

 

 

 

 

 

 

 

 

 

 

 

 

 

 

 

 

 

 

 

 

 

 

 

 

 

 

 

 

 

 

 

 

 

 

 

 

 

 

 

 

 

 

 

 

 

 

 

 

 

 

 

 

 

 

 

 

 

 

 

 

 

 

 

 

 

 

 

 

 

 

 

 

Решение. Используем разложение подынтегральной функции на

элементарные дроби, полученное на с. 137:

 

 

 

 

 

 

 

 

 

 

 

 

 

 

 

 

 

 

 

 

 

 

 

 

 

 

 

 

 

 

x3

 

 

 

 

 

б

 

 

 

 

 

 

 

 

Д1 dx 5

 

 

 

 

 

 

 

 

 

2x

1

 

 

 

 

 

 

 

 

 

2

 

 

 

 

 

 

 

 

 

 

 

2

 

 

 

 

3

 

(x

1)

2

(x +

2)

3

dx

= −

27

(x

1)

 

 

 

 

dx +

9

x

1

9

(x +

2)

 

 

dx +

Вычислить

 

 

 

 

dx

 

 

 

 

 

 

 

 

 

 

 

 

 

 

 

 

 

 

 

 

 

 

 

 

 

 

 

 

 

 

 

 

 

 

 

 

 

 

 

 

 

 

 

 

 

 

 

 

 

+

20

 

(x +

2)

2 dx

1

 

 

 

 

=

 

1 ln

x

1

 

1 ln

x + 2

+

 

 

2

 

 

 

 

 

+

 

 

27

 

 

 

 

 

 

 

 

 

 

 

9 xА+ 2 9

9

 

 

 

 

 

 

 

 

 

 

 

27(x

1)

 

 

 

 

 

 

5

 

 

 

 

 

 

 

20

 

 

 

 

 

 

 

 

 

 

 

 

 

 

 

9 x 4x2

 

 

 

 

1

x 1

 

 

 

 

 

 

 

С

 

 

 

 

 

 

 

 

 

 

 

 

 

+ C =

 

 

 

 

 

 

 

 

 

 

 

 

 

 

 

 

 

 

 

 

 

 

 

 

 

 

 

 

 

ln

 

 

 

 

 

 

 

 

 

+ C.

 

+

18(x + 2)

2

 

27(x + 2)

 

6(x 1)(x + 2)

2

+

9

x + 2

 

 

 

3.

 

 

 

 

 

 

 

 

 

 

интеграл

 

 

x6

2x5 x3 + 2x

2 + x 10

 

dx .

 

 

 

 

 

 

 

 

 

 

 

 

 

 

 

 

 

 

 

 

 

 

 

 

 

 

 

 

 

 

 

 

 

 

 

 

 

 

 

 

 

 

 

 

 

x

 

 

 

 

1

 

 

 

 

 

 

 

 

 

 

 

 

 

 

 

 

 

 

 

 

 

 

 

152

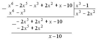
Решение. Подынтегральная дробь является неправильной, так как степень числителя 6 больше 3 – степени знаменателя. Поэтому выделим целую часть делением многочленов:

Отсюда

 

 

 

 

 

 

 

 

 

 

 

 

 

 

 

 

 

 

 

 

 

 

 

 

 

 

 

И

 

 

 

 

 

 

 

 

 

 

 

 

 

 

 

 

 

 

 

 

 

 

 

 

 

 

 

 

 

 

 

 

x6

2x5 x3 + 2x3 + x 10

 

 

 

 

 

 

3

 

2

 

 

 

x 10

 

 

 

 

 

 

 

 

 

 

 

 

 

 

 

 

dx = x

 

2x

 

+

 

 

 

 

 

dx =

 

 

 

 

 

 

 

 

 

3

 

 

 

 

 

 

 

 

 

 

3

 

 

 

 

 

 

 

 

 

 

 

x

 

1

 

 

А

 

 

 

 

x 1

 

 

 

 

 

 

 

 

 

 

 

 

 

 

 

 

 

 

 

 

 

 

 

 

 

 

 

 

=

x4

2

x3

+

x 10

dx.

 

 

 

 

 

 

 

 

Д

 

 

 

4

 

 

 

3

 

 

x

1

 

 

 

 

 

 

 

 

 

 

 

 

=

 

 

 

 

 

 

б.

 

 

 

 

 

 

 

 

 

 

 

 

 

 

 

 

 

 

 

 

x 10

 

Теперь правильную дро ь

 

x3

1

 

нужно разложить в сумму эле-

ментарных дро ей:

 

 

 

 

 

 

 

 

 

 

 

 

 

 

 

 

 

 

 

 

 

 

 

 

числителей

 

 

 

 

 

 

A

 

 

 

Bx + C

 

 

 

 

 

 

 

 

 

 

x 10

=

 

 

 

x 10

 

=

 

+

 

 

 

=

 

 

 

 

 

 

x3 1

(x 1)(x2 + x +1)

x 1

 

x2 + x +1

 

 

 

 

 

С

 

 

 

 

 

 

 

 

 

 

 

 

 

 

 

 

 

 

 

 

 

 

 

 

 

 

 

 

 

 

 

A(x2

 

+ x +1) + (Bx + C)(x 1)

 

 

 

 

 

 

 

 

 

 

 

 

 

 

 

 

 

 

 

 

 

(x 1)(x2

+ x +1)

 

 

 

 

 

 

 

 

 

 

 

 

 

 

 

 

 

 

 

 

 

Для определен я коэффициентов разложения выписываем ра-

венство для

 

 

 

 

 

 

 

:

 

 

 

 

 

 

 

 

 

 

 

 

 

 

 

 

 

 

 

 

 

 

 

 

 

 

 

 

 

 

 

x 10 = A(x2 + x +1) + (Bx + C)(x 1).

 

 

Из этого равенства получаем:

 

 

 

 

 

 

 

 

 

 

 

 

 

 

 

при х = 1

9 = 3A; A = −3;

 

 

 

 

 

 

 

 

 

 

 

 

 

 

 

при х = 0

10 = A C;

 

 

10 = −3 C;

 

 

 

 

C = 7;

 

153

при х = –1 11 = A 2(C B);

 

 

 

 

11 = −3 2(7 B);

 

 

 

 

 

 

 

 

 

 

 

 

 

 

 

 

 

 

 

 

 

 

 

 

 

 

11 = −17 + 2B;

 

 

 

 

 

 

 

2B = 6;

 

 

 

 

B = 3.

 

 

 

 

 

 

 

 

 

 

 

 

 

 

 

 

 

 

Итак,

 

x 10

=

 

3

 

 

+

 

 

 

 

3x + 7

 

 

 

, поэтому

 

 

 

 

 

 

 

 

И

 

 

 

 

 

 

 

 

 

 

 

 

 

 

 

 

 

 

 

 

 

 

 

 

 

 

 

 

 

 

 

 

 

 

 

 

 

 

 

 

 

 

 

 

 

 

 

x3 1 x 1 x2 + x +1

 

 

 

 

 

 

 

 

 

 

 

 

 

 

 

 

 

 

 

 

 

 

 

 

 

 

 

 

 

 

 

 

 

 

 

 

 

 

 

 

 

 

 

 

 

 

 

 

 

 

 

 

 

 

 

 

 

 

 

 

 

 

 

 

 

 

 

 

 

 

 

 

 

 

 

 

 

 

 

 

 

 

 

 

 

 

 

 

 

 

 

 

 

 

 

 

 

 

x

10

dx

= −3

 

 

dx

 

 

 

+

 

 

 

 

 

3x + 7

 

 

dx.

 

 

 

 

 

 

 

 

 

 

 

 

 

 

 

 

 

 

 

 

 

 

 

 

 

 

 

 

 

 

 

 

 

 

 

 

 

x

3

 

 

 

 

 

x 1

 

x

2

 

 

 

 

 

 

 

 

 

 

 

 

 

 

 

 

 

 

 

 

 

 

 

 

 

 

 

 

 

 

 

 

 

 

 

 

 

 

 

 

 

 

 

 

 

 

 

1

 

 

 

 

 

 

 

 

 

 

 

 

 

 

 

 

 

 

 

 

+ x +1

 

 

 

 

 

 

 

 

 

 

 

 

 

 

 

 

 

 

 

 

 

Вычислим эти интегралы:

 

 

 

 

 

 

 

 

 

Д

 

 

 

 

 

 

 

 

 

 

 

 

 

 

 

 

 

 

 

 

 

 

 

 

 

 

 

 

 

 

 

 

 

 

 

 

 

 

 

 

 

 

 

 

 

 

 

 

 

 

 

 

 

 

 

 

 

 

 

а)

 

 

dx

 

x 1 = t;

 

 

=

dt

= ln

 

t

 

+ C = ln

 

x 1

 

+ C;

 

 

 

 

 

 

 

 

 

 

 

 

 

 

 

 

 

 

 

 

 

 

 

 

 

 

 

 

 

 

 

 

 

 

 

 

 

 

 

 

 

 

 

 

 

 

 

 

 

 

 

 

 

 

 

 

 

 

 

 

 

 

 

 

 

 

 

 

 

 

 

 

 

 

 

 

 

x 1

dt

= dx.

 

 

t

 

 

 

 

 

 

 

 

 

 

1 2

 

 

 

 

 

 

 

 

 

 

 

 

 

 

 

 

 

 

 

 

 

 

 

 

 

 

 

 

 

 

 

 

 

 

 

 

 

 

 

 

 

 

 

 

 

 

 

 

 

 

 

 

 

 

 

 

 

 

 

 

 

 

 

 

 

 

 

 

 

 

 

 

 

 

 

 

 

 

3x + 7

 

 

 

 

 

 

 

2

 

 

 

 

 

 

 

 

 

 

 

 

 

 

 

 

 

2

 

 

 

 

 

 

 

 

 

1

 

 

 

3

 

 

 

 

 

 

 

 

 

 

 

3

 

 

 

 

 

 

 

 

 

 

 

 

 

 

 

 

 

 

 

 

 

 

 

 

 

 

 

 

 

 

 

 

 

 

 

 

 

 

 

 

 

 

 

 

 

 

 

 

 

 

 

 

 

 

 

 

 

 

 

 

 

 

б)

 

 

 

 

 

 

 

 

 

 

 

 

 

 

 

 

 

 

dx

x

 

 

+ x +1

= x

 

 

+ x

+

 

 

 

 

 

 

 

 

+

 

 

 

 

 

=

x +

 

 

 

 

+

 

 

=

 

 

 

 

x

2

 

+ x +1

 

 

 

 

4

 

4

 

4

 

 

 

 

 

 

 

 

 

 

 

 

 

 

 

 

 

 

 

 

 

 

 

 

 

 

 

 

 

 

 

 

 

 

 

 

 

 

 

 

 

 

 

 

 

 

 

 

 

 

 

 

 

 

 

2

 

 

 

 

 

 

 

 

 

 

 

 

 

 

 

 

 

 

 

 

 

 

 

б

 

 

 

 

 

 

 

 

 

 

 

 

 

 

 

 

 

 

 

 

 

 

 

 

 

 

 

 

 

 

 

 

 

 

 

 

 

 

 

 

 

 

 

 

 

 

 

 

 

 

 

 

 

 

 

 

 

 

 

 

 

 

 

 

 

 

 

 

 

 

 

 

 

 

 

 

 

 

x +

1

= t;

 

 

 

 

 

 

 

 

 

 

 

 

1

 

+

7

 

 

 

 

 

 

 

3t + 11

 

 

 

 

 

 

 

 

 

 

 

 

 

 

 

 

3x + 7

 

 

 

 

 

 

 

 

 

 

 

 

 

 

 

 

2

 

 

 

 

 

 

 

 

 

 

 

 

3 t

 

 

 

 

 

 

 

 

 

 

 

 

 

 

 

 

 

 

 

 

 

 

=

 

 

 

 

 

 

 

 

 

 

 

 

 

 

 

 

 

 

 

 

 

 

 

dx

dx = dt;

=

 

 

 

 

 

 

 

 

 

2

 

 

 

 

dt =

 

 

 

 

2

dt =

 

 

 

 

 

 

 

 

 

 

 

 

 

 

 

 

 

 

 

2

 

 

 

 

 

 

 

 

 

 

 

 

 

 

 

 

 

 

 

 

 

 

 

 

 

 

 

 

 

 

 

 

 

 

 

 

 

 

 

 

 

 

 

и

 

 

 

 

 

 

 

 

 

 

 

 

 

 

 

 

 

 

 

 

 

 

 

 

 

 

 

2

 

 

 

 

 

 

 

 

3

 

 

 

 

 

 

 

 

 

 

 

 

 

2

3

 

 

 

 

 

 

 

 

 

 

 

 

 

 

 

 

 

 

 

1

 

 

 

 

 

 

 

 

3

 

 

 

 

 

 

 

 

 

 

 

 

 

 

 

 

1.

 

 

 

 

 

 

 

 

 

 

 

t

 

 

 

 

 

 

 

 

 

 

 

 

 

 

 

 

 

 

 

t

 

 

 

 

 

 

 

 

 

 

 

x

+

 

 

2

 

+

 

4

 

 

 

 

 

x = t

 

 

 

 

 

 

 

 

 

 

 

 

 

 

+

 

4

 

 

 

 

 

 

 

 

 

 

 

 

+ 4

 

 

 

 

 

 

 

 

 

 

 

 

 

 

 

 

 

 

 

 

 

 

 

 

 

 

 

 

 

 

 

 

 

 

 

 

 

 

 

А2

 

 

 

 

 

 

 

 

 

 

 

 

 

 

 

 

 

 

 

 

 

 

 

 

 

 

 

 

С

 

 

 

 

 

 

 

 

 

 

 

 

 

 

 

 

 

 

 

 

 

 

 

 

 

 

 

 

 

 

 

 

 

 

2

 

 

 

3

 

 

 

 

 

 

 

 

 

 

 

 

 

 

 

 

 

 

 

 

 

 

 

 

 

 

 

 

 

 

 

 

 

 

 

 

 

 

 

 

 

 

 

 

 

 

 

 

 

 

 

 

 

 

11

 

 

 

 

 

dt

 

 

 

 

 

 

t

 

 

+

4 = k;

 

 

 

 

 

 

 

 

 

 

 

 

 

 

 

 

 

 

 

1

 

 

 

 

 

 

t

 

 

=

3

 

 

 

 

t

 

 

 

 

dt +

 

 

 

 

 

 

=

 

 

= 3

 

dk + 11

 

arctg

 

=

 

 

 

 

 

 

 

3

 

 

 

 

 

 

 

 

 

 

 

 

 

3

 

 

 

 

 

 

 

 

 

 

 

 

 

 

 

 

 

 

 

t

2

+

 

 

 

 

 

 

 

 

 

2

 

t2 +

 

 

 

 

2tdt

= dk.

 

 

 

 

 

2

 

 

k

 

 

 

2

3

 

 

 

 

 

3

 

 

 

 

 

 

 

 

 

 

 

 

 

 

 

 

 

 

 

 

 

 

 

 

 

 

 

 

 

 

 

 

 

 

 

 

 

 

 

 

 

 

 

 

 

 

 

 

 

 

 

 

 

 

 

4

 

 

 

 

 

 

 

 

 

 

 

 

 

 

 

 

 

 

 

 

 

 

 

4

 

 

 

 

 

 

 

 

 

 

 

 

 

 

 

 

 

 

 

 

 

 

 

 

 

 

 

 

 

 

 

 

 

 

 

 

 

 

 

 

 

4

 

 

 

 

 

4

 

 

 

 

 

 

 

 

 

 

 

 

 

 

 

 

 

 

 

 

 

 

 

 

 

 

 

 

 

 

 

 

 

 

 

 

 

 

 

 

 

 

 

 

 

 

 

 

 

 

 

 

 

 

 

 

 

 

 

 

 

 

 

 

 

 

 

 

 

 

 

 

 

 

 

 

 

 

 

 

 

 

 

3

 

 

 

 

 

 

 

 

 

 

 

 

11

 

 

 

 

 

 

 

 

 

 

 

2t

 

 

 

 

 

 

 

 

 

3

 

 

 

 

 

 

2

 

 

 

 

3

 

 

 

 

11

 

 

 

 

 

 

 

 

 

2t

 

 

 

 

 

 

 

 

 

 

 

 

 

 

 

 

 

 

 

 

 

 

 

 

 

 

 

 

 

 

 

 

 

 

 

 

 

 

 

 

 

 

 

 

 

 

 

 

 

 

 

 

 

 

 

 

 

 

 

 

 

 

 

 

 

 

 

 

 

 

 

 

 

 

 

 

 

 

 

 

 

 

 

 

 

 

 

 

 

 

 

 

 

 

 

 

 

 

 

 

 

 

 

 

 

 

 

 

 

 

 

 

 

 

 

 

 

 

 

 

 

 

 

 

 

 

 

 

 

 

 

 

 

=

2 ln

 

k

 

 

+

 

 

 

 

arctg

 

 

 

 

 

 

 

 

+ C =

 

2 ln

t

 

+

 

 

4

 

 

+

 

 

 

arctg

 

 

 

 

 

+ C =

 

 

 

 

 

 

 

 

 

 

 

 

 

 

 

 

 

 

 

 

 

 

 

 

 

 

 

 

 

 

 

 

 

 

 

 

 

 

 

 

 

 

 

 

3

 

 

 

3

 

 

 

 

 

 

3

 

 

 

3

 

 

 

 

 

 

 

 

 

 

 

 

 

 

 

 

 

 

 

 

 

 

 

 

 

 

 

 

 

 

 

 

 

 

 

 

 

 

 

 

 

 

154

 

 

 

 

 

 

 

 

 

 

 

 

 

 

1

 

 

 

3

 

 

1

 

2

3

 

11

 

 

2 x +

2

 

 

 

 

 

 

 

 

 

 

 

 

 

 

 

 

 

=

2

ln

x +

2

 

+

4

+

 

 

 

arctg

 

 

 

 

+ C =

 

 

 

 

 

 

 

 

 

 

 

 

 

3

 

3

 

 

 

= 3 ln

 

x2 + x +1

 

+ 11

arctg

2x

+

1

+ C.

 

 

 

 

 

 

 

 

 

 

 

 

 

И

 

 

 

 

 

 

 

 

 

 

 

 

 

 

 

 

 

 

 

 

 

 

 

 

 

 

 

 

 

 

 

 

 

 

 

 

 

 

 

 

 

 

 

 

 

 

 

 

 

 

 

 

 

 

 

 

 

 

 

 

 

 

 

 

 

 

 

 

 

 

 

 

 

 

 

 

 

 

 

 

 

 

 

 

 

 

 

 

 

 

 

 

 

 

 

 

 

 

 

 

 

 

 

 

 

 

 

 

 

 

 

 

 

 

 

 

 

 

 

 

 

2

 

 

 

 

 

 

 

 

 

 

 

 

 

 

 

3

 

 

 

 

 

 

 

 

 

 

3

 

 

 

 

 

 

 

 

 

 

 

 

 

 

 

 

 

 

 

 

 

 

 

 

 

 

 

 

 

 

 

 

 

 

 

 

 

 

 

 

 

 

 

 

 

 

 

 

 

 

 

 

 

 

 

 

 

 

 

 

 

 

 

 

 

 

 

 

 

 

 

 

 

 

 

 

 

 

 

 

 

 

 

 

Нашли, что

 

 

 

 

 

 

 

 

 

 

 

 

 

 

 

 

 

 

 

 

 

 

 

 

 

 

 

 

 

 

 

 

 

 

 

 

 

 

 

 

 

 

 

 

 

 

 

 

 

 

 

 

 

 

 

 

 

x 10

 

 

 

 

 

 

 

 

 

 

 

 

 

 

 

 

 

 

 

3

 

 

 

 

 

 

 

2

 

 

 

 

 

 

 

 

 

 

 

11

 

 

 

 

2x +1

 

 

 

 

 

 

 

 

 

 

 

 

 

 

 

 

 

 

 

 

 

 

 

 

 

 

 

 

 

 

 

 

 

 

 

 

 

 

 

 

 

 

 

 

 

 

 

 

 

 

dx

= −3ln

x 1

 

+

2 ln

 

x

 

 

 

+ x +1

 

+

 

 

arctg

 

 

 

 

 

 

 

+ C.

 

x3 1

 

 

 

 

 

 

 

 

 

 

 

 

 

 

 

 

 

3

 

 

 

3

 

 

 

 

 

 

 

 

 

 

 

 

 

 

 

 

 

 

 

 

 

 

 

 

 

 

 

 

 

 

 

 

 

 

 

 

 

 

 

 

 

 

Поэтому

 

 

 

 

 

 

 

 

 

 

 

 

 

 

А

 

 

 

 

 

 

 

 

 

 

 

 

 

 

 

 

 

 

 

 

6

 

 

 

 

 

 

 

5

 

 

3

 

 

 

 

 

 

 

3

 

 

 

 

 

 

 

 

 

 

 

 

 

 

 

 

 

 

 

 

x

2x

x

 

+ 2x

 

+ x 10

 

 

 

 

 

 

 

1

 

4

 

 

 

2

 

3

 

 

 

 

 

 

 

 

 

 

 

 

 

 

 

 

 

 

 

 

 

 

 

 

 

 

 

 

 

 

 

 

 

 

 

 

 

 

 

 

 

 

 

 

 

 

 

 

 

 

 

 

 

 

 

 

 

 

 

 

 

 

 

 

 

 

 

 

 

 

 

 

 

 

 

 

 

 

 

 

dx = 4 x

 

 

 

3 x

 

 

3ln

x

1

+

 

 

 

 

 

 

 

 

 

 

 

 

 

 

 

x3 1

 

 

 

 

 

 

 

 

 

 

 

 

 

 

 

 

 

 

 

 

 

 

 

 

 

 

 

 

 

 

 

 

 

 

 

 

 

 

 

 

 

 

 

 

 

 

 

 

 

 

 

 

 

 

 

 

 

 

 

 

 

 

 

+

3 ln

 

x2

+ x +1

 

+ 11

arctg

2x

+

1

+ CД.

 

 

 

 

 

 

 

 

 

 

 

 

 

 

 

 

 

 

 

 

 

 

 

 

 

2

 

 

 

 

 

 

 

 

 

 

 

 

 

 

 

 

 

 

 

 

3

 

 

 

 

 

 

 

 

 

3

 

 

 

 

 

 

 

 

 

 

 

 

 

 

 

 

 

 

 

 

 

 

 

 

 

 

 

 

 

 

 

 

 

 

 

 

 

 

 

 

 

 

 

 

 

 

 

 

 

 

 

 

 

 

 

 

 

 

 

 

 

 

 

 

 

 

 

 

 

 

 

 

 

 

 

 

 

 

 

 

 

 

 

 

 

 

 

 

виду

 

 

 

 

 

 

 

 

 

 

 

 

 

 

 

 

 

 

 

 

 

dx

 

 

 

 

 

 

 

 

 

 

 

 

 

 

 

 

 

 

 

 

 

 

 

4. Вычислить интеграл

 

(x

3

 

 

3x

2

+

5x 3)

2

.

 

 

 

 

 

 

 

 

 

 

Решен е. Прео разуем знаменатель дроби

 

 

 

 

 

 

 

 

 

 

 

 

 

 

С

 

 

 

 

 

 

 

 

 

dx

 

 

 

 

 

 

 

 

 

 

=

 

 

 

 

 

 

 

 

 

 

dx

 

 

 

 

 

 

 

 

 

.

 

 

 

 

 

 

 

 

 

 

 

 

 

 

 

 

 

3

 

 

2

 

 

 

 

 

 

 

 

 

2

 

 

(x 1)

2

(x

2

2x +

3)

2

 

 

 

 

 

 

 

 

 

 

 

 

 

 

 

 

 

(xб3x + 5x 3)

 

 

 

 

 

 

 

 

 

 

 

 

 

Раскладываем подынтегральную дробь в сумму простейших

дробей по

 

 

 

 

знаменателя:

 

 

 

 

 

 

 

 

 

 

 

 

 

 

 

 

 

 

 

 

 

 

 

 

 

 

 

 

 

 

 

 

 

 

 

 

 

 

 

 

 

 

 

 

 

 

 

 

 

 

 

 

 

1

 

 

 

 

 

 

 

 

 

 

 

 

 

=

 

A

 

+

 

 

 

 

B

 

 

 

+

 

 

Cx + D

 

 

+

 

 

 

Ex + F

=

 

(x 1)2 (x2

2x + 3)2

 

 

x 1

 

(x 1)2

 

x2 2x + 3

(x2 2x + 3)2

 

 

 

 

 

 

 

 

 

 

 

 

 

 

 

 

=

1

(x 1)

2

1

 

 

 

 

 

 

 

 

 

 

1

 

 

 

 

 

 

 

1

 

 

 

 

 

 

 

1

 

 

 

 

 

 

 

.

 

 

 

 

 

 

 

 

 

 

4

 

4

(x2 2x + 3)

 

2

(x2 2x + 3)2

 

 

 

 

 

 

 

 

 

 

155