соответственно в е Я , ; С е /72; D <= /73 (рис. 3.4). В случае равенства нулю двух координат точки получаем ее принадлежность оси проек
ции, например, точка |
Е(х, О,0) е X . |
|
|
|
|
||||||||
Точно также можно построить проекции точки |
А |
общего положе |
|||||||||||
ния |
на плоскости |
X хТ, YxT, |
Z хТ |
модели четырехмерного |
про |
||||||||
странства |
(рис. |
3.5). |
Здесь |
А4 |
е X хТ, |
АЪ е Y хТ, |
А6 |
<а Z хТ . |
Бели |
||||
одна из координат равна |
|
|
|
IT |
|
|
|||||||
нулю, |
то точка |
принад |
|
|
|
|
|
||||||
|
|
|
|
|
|
||||||||
лежит |
гиперплоскости |
|
|
|
|
|
|
||||||
координат. |
Если |
какие- |
|
|
|
|
-Л As |
|
|||||
либо |
|
две |
координаты |
|
|
|
|
|
|
||||
равны |
нулю, |
то |
точка |
|
А? |
|
|
-\j^A6 |
|
||||
принадлежит |
плоскости |
|
|
|
|
||||||||
П2Д |
|
|
|
|
|||||||||
проекций. Если три ко X- |
|
О |
4 _ L _ |
|
|||||||||
/7; |
|
|
|
Y.T |
|||||||||
ординаты |
равны |
пулю, |
|
|
|
|
|
||||||
то |
точка |
принадлежит |
|
At |
|
|
|
|
|||||
оси |
координат. |
Напри |
|
|
|
|
|
||||||
|
|
|
Y |
|
|
||||||||
мер, |
|
В(х, |
у, |
0, |
0 |
при |
|
|
|
|
|
||
надлежит |
гиперплоско |
Рис, 3.5. Модель точки пространства Е4 |
|
||||||||||
сти XxYxT (рис. 3.6). |
|
|
|
|
|
|
|||||||
Точка |
С(х, |
0, |
z, |
0) |
принадлежит |
плоскости |
|
XxZ, а |
точка |
||||
D(0, 0, 0, г) |
принадлежит оси |
Т. Однако на практике не пользуются |
|||||||||||
чертежом, содержащим все шесть проекций, т.к. половина из них
лишние. |
Кроме того, |
для п—мерного |
пространства |
получаются |
|||||
n\ |
_п{п-\) |
|
|
|
ZJ |
|
|
||
|
|
|
|
|
|||||
2 и > _ 2 ) ! ~ |
2 |
|
|
|
|
|
|||
Bi |
|
|
|
As |
|||||
проекций. |
Поэтому |
|
|
0=0,4 |
|||||
|
|
|
|
|
|
||||
используют |
чертеж |
|
|
|
|
\ |
|
||
|
|
|
|
|
|
|
|||
с п-\ проекциями. |
|
|
|
|
|
|
|
||
Из |
совпадения |
6 |
|
|
|
|
|
|
|
простейшей |
графи |
|
|
Сь=Сй |
el |
|
l 4 |
||
В, |
|
|
|
||||||
|
|
|
|
|
|
|
|||
ческой модели про X- |
|
|
|
|
|
|
|
||
77=Z7 |
|
|
0=0^-- |
|
|
Y.T |
|||
странства Е3, полу |
|
|
|
|
|
|
|
||
ченной |
аксиомати |
Вт |
1 |
|
|
|
|
|
|
ческим путем, с мо |
|
|
|
|
|
||||
|
|
|
Y |
|
|
||||
делью Монжа этого |
|
|
|
|
|
||||
пространства, полу- |
Рис. 3.6. Модель точек пространства Е4 |
||||||||
|
|
|
|
|
|
|
|||
ченной конструктивным путем, следует, что некоторые аксиоматиче ские модели абстрактного пространства могут быть реализованы на основе конструктивной взаимосвязи между пространством прообра зов и его моделью.
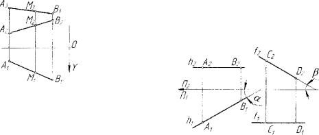
Из рассмотрения взаимного по ложения пары точек относительно плоскостей проекций следует, что па ра точек может принадлежать одной проецирующей прямой, или одной проецирующей плоскости и тогда на одной из плоскостей проекций при сутствуют совпавшие одноименные проекции этих точек. Такие точки на зываются конкурирующими. Напри мер, точки А и В принадлежат про ецирующей Z -плоскости, перпенди кулярной плоскости /7,, а точки С , D
принадлежат проецирующей прямой, перпендикулярной гиперпло скости X х Z х Т (рис. 3.7).
Кроме основных проекций, полученных проецированием на ос новные плоскости проекций //,, //2, /73, точка может иметь допол нительные проекции, полученные ортогональным проецированием на плоскости, отличающиеся от основных. Дополнительная плоскость проекций образует с одной из основных плоскостей проекций либо с
другой дополнительной плоскостью проекций |
пару взаимно перпен- |
|||||||
|
|
дикулярных |
плоскостей. |
Па рисун |
||||
|
|
ке 3.8 представлен чертеж, содержа |
||||||
|
|
щий |
построения |
дополнительных |
||||
х rii |
|
проекций АА |
и |
А} |
точки |
А е Е3, за |
||
|
данной основными проекциями Л,, А2 |
|||||||
А А. |
А, |
|||||||
. Эти |
построения |
соответствует из |
||||||
|
||||||||
|
Ахг |
вестному в начертательной |
геометрии |
|||||
|
методу замены |
плоскостей |
проекций, |
|||||
|
|
|||||||
|
П1 |
при котором |
основной объект про |
|||||
|
странства - точка, неизменна в своем |
|||||||
|
|
|||||||
Рис. 3.8. Дополнительные |
положении, а в парах плоскостей про |
|||||||
|
|
|
|
|
|
|||
проекции точки |
|
екций |
происходит |
последовательная |
||||
пространства £, |
|
замена одной из плоскостей проекций |
||||||
60 |
61 |
на новую, дополнительную: |
|
X, I1! |
х А |
Я , |
2П5 |
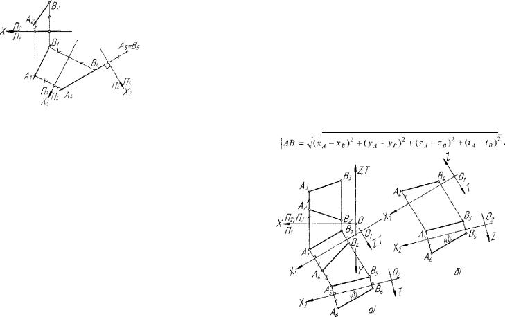
Из метрических свойств последовательной замены плоскостей ортогональных проекций вытекает алгоритм построения дополни тельных проекций точки А:
(А2,А1) -> АА(А7АХ = АХХАА),(АХ,АА) -> A5(ASAXX = АХ2А}),...
|
3.2. |
Моделирование прямой линии |
||
Прямая |
в евклидовом пространстве |
|
||
определена парой несовпадающих точек. |
|
|||
Построив модели этих точек и соединив |
|
|||
прямыми линиями пары их одноименных |
|
|||
проекций, получим прямые - проекции |
/7, /77 |
|||
прямой линии пространства (рис. 3.9). С |
/7/ |
|||
|
|
|
||
другой стороны, прямая линия простран |
|
|||
ства Е„, на |
основании |
формулы (1.1), |
|
|
принадлежит 2(и - 1)-параметрическому |
Рис. 3.9. Модель прямой |
|||
множеству прямых этого пространства, |
||||
линии пространства Е4 |
||||
поскольку: |
D™ = (1 +1) -(n-l) = 2(п - 1 ) . |
|||
|
||||
Произвольные пары прямых на плоскости |
образуют также 2 ( я - 1 ) - |
|||
параметрическое множество, поскольку |
на плоскости |
множество |
прямых, в соответствии с формулой |
(1.1), двухпараметрично: |
|
D™ = (1 +1) • (2 -1) = 2. Следовательно, на чертеже, как |
и на его ак |
|
сиоматическом аналоге, прямая линия моделируется in -1) прямыми ((п -1) ортогональными проекциями прямой).
В зависимости от расположения прямой линии пространства от носительно плоскостей проекций различают прямые общего и частно го положений.
3.2А. Прямая общего положения
Если в системе ортогональных плоскостей проекций прямая ли ния не параллельна ни одной гиперплоскости, натянутой на оси про екций, то она называется прямой общего положения относительно этой системы плоскостей проекций. Па рисунке 3.9 приведена модель
такой прямой в системе X п2,п: з . Исходя из конструктивного пред
Я ,
ставления моделей точки и прямой линии пространства на рассмат риваемой его графической модели, можно сформулировать критерий принадлежности точки прямой линии: точка принадлежит прямой ли нии в пространстве, если модель точки принадлежит модели прямой, или в терминах чертежа Монжа - если проекции точки принадлежат одноименным проекциям прямой. Так точка А/принадлежит прямой
АВ, поскольку м{ е АХВ,, М2 е А2В2, Мъ е А3В3.
3.2.2.Прямые уровня
Если прямая параллельна одной из гиперплоскостей проекций, то она называется прямой уровня относительно этой гиперплоскости. На рисунке 3.10 для пространства ЕГ изображены:
1. Горизонтальная пря мая уровня h (горизонтать h II Я,), при ЭТОМ lij IIX .
х- |
|
2. |
Фронтальная |
прямая |
||||
|
уровня |
/ |
(фронталь |
/ , 7 Я Д |
||||
|
|
|||||||
|
|
при этом |
/, ИХ. |
|
|
|||
|
|
Линии уровня обладают |
||||||
|
|
метрическими |
свойствами. |
|||||
Рис. 3.10. Модели прямых уровня |
Проекция |
л, 5, |
отрезка АВ |
|||||
горизонтали |
h |
представляет |
||||||
пространства |
Е} |
|||||||
собой |
длину |
отрезка |
АВ. На |
|||||
|
|
|||||||
основании известного в школьном курсе стереометрии определения
угла между прямой и плоскостью следует, |
что угол а |
А, л X |
есть |
|
угол а = А л /7, между горизонталью h |
и плоскостью проекций |
fl2. |
||
Проекция C2D2 отрезка CD фронтали |
/ |
представляет собой длину |
||
отрезка CD, а угол р = /2лХ есть угол |
р |
= / л Я, |
между фронта- |
|
лью и плоскостью проекций я, • |
|
|
|
|
3.2.3.Проецирующие прямые
Рхли прямая перпендикулярна гиперплоскости проекций, то она называется проецирующей относительно этой плоскости.
63
62
На рисунке 3.11 для пространства |
|
изображены: |
аг |
1.Горизонтально-проецирующая ^
прямая |
о 1 Я р при этом а2 ± X , а, - |
Х~^" |
.г, |
точка. |
|
/7/ |
|
|
|
|
|
2. |
Фронтально-проецирующая |
|
|
прямая |
ЫП2, при этом Ьх 1 X , Ъ2 - |
Рис. 3.11. Модели |
|
точка. |
|
||
|
|
|
|
3. |
Профильно-проецирующая |
проецирующих прямых |
|
прямая |
с!П:„ при этом, с, // X , с, // X , |
пространства |
£3 |
г, - точка.
3.2.4.Прямые уровня пространства Е4
На рисунке 3.12 изображены прямые, параллельные гиперпло скостям XxYxZ,XxYхТ и XxZxT.
Рис. 3.12. Модели прямых уровня относительно гиперплоскостей проекций пространства Е.
На рисунке 3.13 изображены прямые, параллельные плоскостям
XxY, XxZ, ХхТ.
Сз. |
Оз |
Z T |
|
|
|
|
|
Ез
А? в2
Е?
х- П?,Пз с?
I
с,
Рис. 3.13. Модели прямых уровня относительно плоскостей проекций пространства Е4
3.2.5.Проецирующие прямые пространства Е4
На рисунке 3.14 изображены прямые, перпендикулярные гиперп
лоскостям |
А ' х К х / , X xYxT, X xZxT |
и |
плоскостям X х Y |
XхZ, |
XхТ. |
|
|
|
zj |
|
d3 |
02 |
С2 |
|
|
уПгЛз |
0 |
а* |
с, |
Рис. 3.14. Модели проецирующих прямых пространства Е4
64
65
3.3. Моделирование взаимного расположения прямых линий в пространстве
В общем случае две прямые в пространстве Еп не пересекаются, так как в соответствии с формулой размерности пространства пересе чения s = m + q-n, выведенной в разделе 1.7.2, получаем j = 1 +1 - и < 0, и > 3. Но две прямые в плоскости могут пересекаться как в собственной, так и в несобственной точке, поскольку s = l + l - 2 = 0. Таким образом, в пространстве две прямые линии мо гут быть пересекающимися, параллельными и скрещивающимися. Рассмотрим модели этих прямых.
3.3.1.Пересекающиеся прямые
На рисунке 3.15 представлены изображения на графической мо дели пространства £, пересекающихся прямых. Прямые а и Ъ пере
секаются |
в |
точке. |
Действи |
|
||||
тельно, |
ПОСКОЛЬКУ |
М 2 £ а2 И |
|
|||||
Л/, е в,, то следует, что М е а . |
|
|||||||
Но |
М, |
е |
Ъг |
и |
м, с 6,, |
следо |
|
|
вательно, |
М е h . Таким |
обра |
|
|||||
зом, две различные прямые а и |
|
|||||||
Ъ имеют общую точку, то есть |
|
|||||||
они |
пересекаются. |
Очевидно, |
|
|||||
точка N также является общей |
|
|||||||
точкой |
двух |
различных |
пря |
Рис. 3.15. Модели |
||||
мых |
с |
и |
d, |
то |
есть |
N = cf]d . |
пересекающихся прямых |
|
Прямые |
с |
и |
d |
называются го |
пространства Е3 |
|||
ризонтальноконкурирующими, потому, что любая пара их точек на горизонтально-проецирующей прямой является горизонтальноконкурирующими.
3.3.2.Параллельные прямые
Две прямые линии в пространстве Е3 могут быть параллельными, так как в соответствии с формулой (1.5) степень их параллельности
0+1 |
= 1. Изображение параллельных прямых представлено |
равна рII- 1 |
|
|
66 |
на рисунке 3.16. Так как а211Ъ2 и а,//Ъх, то прямые а и Ъ в простран стве параллельны, при этом моделью несобственной точки пересече-
[2 |
ния |
параллельных |
прямых |
|||
|
af]b = Л/м |
является пара иесоб- |
||||
q |
ственных точек |
а2Г\Ь2 = М 2о. и |
||||
|
а,П*1=Л/1оо, принадлежащих |
|||||
|
несобственной |
прямой |
плоско- |
|||
1 |
сти рассматриваемой графиче- |
|||||
£ |
ской |
модели |
пространства. |
|||
1 |
Критерий |
параллельности |
двух |
|||
Рис. 3.16. Модели параллельных |
прямых в |
пространстве |
в |
тер- |
||
прямых пространства Е3 |
м и н а х |
ч Ф т е ж а Монжа |
может |
|||
|
быть |
сформулирован |
следую |
|||
щим образом: если одноименные проекции прямых общего положе ния параллельны, то и сами прямые в пространстве параллельны. Не трудно проверить, что прямые АВ и CD не параллельны, несмотря на то, что А2В2IIC2D2 и АХВХIICXDX. Для проверки паратлельности необ ходима дополнительная проекция этой пары прямых.
3.3.3.Скрещивающиеся прямые
Прямые, образующие в пространстве между собой ненулевое кратчайшее расстояние и угол, не равный 0" и 180°, называются скре щивающимися. Следовательно, это прямые, которые не являются пе ресекающимися и параллельными. Изображение скрещивающихся прямых на модели пространства представлено на рисунке 3.17. Пока
жем, что а2 и Ьх,Ьг ~ это модели (проекции) двух прямых а и Ъ, скре щивающихся в пространстве. Предпо ложим, что м2 - a2f]b2 есть фронталь ная проекция точки М - af]b . Тогда на основании свойства проекций пересе кающихся прямых горизонтальной про екцией должна быть точка М, = а, Г) Ъх • Но а,П&] - Nх Ф Мх • Следовательно, М, Ф axf]bx и поэтому М Ф af]b . Ана логично доказывается, что Л' Ф а Г) Ъ .
67
Таким образом, прямые, заданные на графической модели, не являют ся пересекающимися и не являются параллельными, то есть они скрещиваются. Проекции скрещивающиеся прямых характеризуются наличием проекций двух пар конкурирующих точек 1(1,, 12), 2(2,, 2 2) И 3(3,, 3 2 ), 4(4,, 4 , ) .
3.3.4.Дополнительные проекции прямой
|
Как в случае точки, для прямой линии можно построить допол |
|||||||
нительные проекции. Пусть на |
|
|||||||
графической |
модели |
задана |
|
|||||
прямая |
АВ |
общего положения |
|
|||||
(рис. 3.18). Используя алгорит |
|
|||||||
мы |
построений |
дополнитель |
|
|||||
ных |
проекций точки |
(п. 3.1), |
|
|||||
построим |
несколько |
дополни |
|
|||||
тельных |
проекций |
прямой ли |
|
|||||
нии |
АВ. В |
системе плоскостей |
|
|||||
проекции |
Л , — - , |
где |
доиолни- |
Рис. 3.18. Модель дополнительных |
||||
|
|
|
|
|
|
|
||
тельная |
плоскость |
я,, удовле |
проекций прямой линии |
|||||
пространства Е, |
||||||||
творяет |
условиям: |
Я 4 ± Л | , |
||||||
|
||||||||
Я4 // АВ |
, прямая |
АВ |
имеет проекции A,Bt, А4В4, причем, на основа |
|||||
нии метрических свойств прямой линии уровня (п. 3.2.2), /шина от
резка |
ААВ4 |
есть длина отрезка АВ прямой линии. В системе плоско- |
||||
стой |
проекции |
Л2 |
, где |
плоскость я5 удовлетворяет |
условиям: |
|
|
|
|
|
П. |
|
|
Я5 1 |
п4, |
11, |
АВ , прямая |
АВ имеет проекции: А4В4 и |
А5 = В5, то |
|
есть является проецирующей. Из логики геометрических построений на рисунке 3.13 можно сделать следующие выводы:
1. Построениям первой дополнительной проекции А4В4 соответ ствуют преобразования прямой линии из общего положения в поло жение линии уровня, причем преобразованиям подвергается система
основных плоскостей проекций Х~2 , преобразующаяся в систему
68
Xt положение же прямой линии АВ в пространстве остается не
изменным. Выполненные построения соответствуют решению метри
ческой задачи на определение длины отрезка прямой линии.
2. Построениям второй дополнительной проекции (-)А5 - (•)#, соответствуют преобразования прямой линии из общего положения в
проецирующее, при этом |
имеют место |
преобразования систем |
плос- |
|||||
|
„ |
Я , |
v |
Я, |
„ |
Я 4 |
|
|
костей |
проекции |
л —- —> лх |
|
|
> л2 |
— при неизменном в |
про- |
|
|
|
|||||||
|
|
Я] |
|
|
Я 4 |
|
Я5 |
|
странстве положении прямой |
АВ. |
|
|
|
||||
3. |
Преобразование прямой линии из общего положения в |
про |
||||||
ецирующее возможно только посредством выполнения промежуточ ного этапа преобразования этой прямой в положение линии уровня.
3.3.5.Дополнительные проекции прямой линии пространства Е„
Пусть на графической модели пространства ЕА задана прямая общего положения (рис. 3.19) АВ{АхВи А2В2. Л3В3) •
Вычислить длину отрезка АВ в пространстве £4 аналитически не представляет труда:
Рис. 3.19. Модель дополнительных проекций прямой пространства Et
69