Материал: Відповіді до заліку. Економічна теорія. Туризм

Внимание! Если размещение файла нарушает Ваши авторские права, то обязательно сообщите нам
  1. Двоїстий характер праці, яка створює товар.

Якщо товар є щось двоїсте, то і втілена в нього праця також має двоїстий характер.

Продукт праці стає товаром лише за наявності двох його взаємопов'язаних сторін — споживної вартості та вартості. Причина цієї двоїстості зумовлюється двоїстим характером втіленої у товарі праці. Праця товаровиробника набуває, з одного боку, особливої доцільної форми, а з другого — форми витрат фізичних і розумових сил людини як праця взагалі. У першому випадку виробник виконує конкретні виробничі операції, використовує певні знаряддя праці та матеріали, а отже, виготовляє певні блага. Наприклад, швець використовує шкіру, нитки, голки, спеціальну машину та інші знаряддя виробництва, щоб виготовити чоботи, черевики. Результатом такої праці є створення різних споживних вартостей. Працю, що їх створює, називають конкретною. Праця в особливій доцільній формі характеризує якісний бік праці. Кількісний бік праці відображується у витратах праці у фізіологічному значенні. Йдеться про працю взагалі як певну частину суспільної праці, яка вимірюється витратами людської робочої сили (й м'язів, мозку, нервів) незалежно від своєї форми. Цю сторону праці називають абстрактною. Вона створює вартість товару. Абстрактна праця є специфічною формою праці, суспільний характер якої виявляється лише під час обміну. Таким чином, абстрактна праця є специфічною економічною категорією, що властива лише товарному виробництву. Тому створена нею вартість є не природною, а суспільною властивістю товару. Інакше кажучи, вартість відображує відносили між товаровиробниками, які виникають під час обміну товарами.

Визначення цінності товару в матеріально-речовій формі, у формі послуги чи інформації — одна з головних проблем економічної теорії, яку здавна намагається розв'язати людина. Існує багато підходів до визначення цінності товару, кожний з яких ґрунтується на певній теорії. Найпоширенішими є теорії трудової вартості, граничної корисності, попиту і пропозиції, чинників виробництва, інформативна.

  1. Індивідуальні та суспільно-необхідні витрати праці. Величина вартості товару.

Величина вартості товару – кількісна характеристика вартості товару яка дає змогу здійснювати кількісний аналіз цієї категорії і а поглиблювати її якісну характеристику. Виходячи з того, що вартість товару – це втілена в продукті праця, величина й визначається кількістю витраченої праці. Чим більше витрачено праці на виготовлення продукту, тим більшою буде її вартість, і навпаки. Тому вся проблема визначення величини вартості товару зводиться до проблеми визначення величини витрат праці. Витрати праці як витрати людської енергії вимірюються в енергетичних одиницях (кал, ккал). Але цей метод придатний лише в лабораторних умовах. Історично склався непрямий метод визначення витрат праці – робочим часом, протягом якого мають місце ці витрати праці. Він менш точний, ніж перший, але простий за своїм виконанням і доступний для масового використання. Робочий час (так само, як і енергетична одиниця) не зачіпає форми і змісту витрат праці, індивідуальності виробника, він визначає кількісний бік цих витрат. Оскільки за одиницю часу може витрачатися різна кількість енергії, то вартість вимірюється не індивідуальним, а суспільне необхідним робочим часом, що відображає певну кількість енергії, витраченої за одиницю часу. Поширена в економічній літературі думка, що індивідуальний робочий час визначає індивідуальну вартість товару, однобічна, оскільки вартість – це виробничі відносини, які здійснюються на основі витрат праці, а не робочого часу. Робочий час є засобом вимірювання витрат праці, а не самою витратою праці. Тому один і той же робочий час може відображати різну кількість витраченої енергії, а отже, не може бути основою здійснення виробничих відносин між людьми. Суспільне необхідний робочий час – це час, потрібний для виготовлення продукту, виходячи з наявних суспільне необхідних умов виробництва, середньої інтенсивності праці й майстерності виробника. Ця стандартна одиниця відображає середню інтенсивність праці виробників, що склалася в суспільстві в даний час, а отже, цілком певну кількість енергії, витраченої на виготовлення продукції. При цьому, визначаючи її як середньозважену величину індивідуальних витрат робочого часу, водночас визначають і середній рівень майстерності, оскільки від неї залежить і сама тривалість роботи в розрахунку на одиницю продукції. Щодо умов виробництва, то вони у кожній ланці суспільного поділу праці визначаються розвитком продуктивних сил суспільства, а отже, стосовно кожного виробника і витрат його праці мають об'єктивний характер. Зведення різних умов виробництва до середньосуспільних при визначенні вартості товару суперечило самій суті товарних відносин. Адже ці відносини існують тому, що існують різні умови виробництва (неоднорідність праці). Виробники, перебуваючи в нерівних умовах виробництва, встановлюють рівність між собою на основі витрат праці. Отже, ці витрати повинні визначатися стосовно тих умов виробництва, в яких вони здійснюються. Зведення індивідуального робочого часу кожного виробника до суспільне необхідного можливе також і на основі встановлення норм виробітку існує прямий зв'язок між кількістю витраченої енергії і кількістю виробленої продукції: N=f(Q). Чим більше витрачено праці, тим більше за всіх інших незмінних умов вироблено продукції. На цьому й ґрунтується визначення вартості товару: W=Q/N, N=Q/W, Q=WN. Вартість товару, таким чином, є коефіцієнтом переведення витраченої енергії у продукцію. Тому на основі кількості виробленої продукції можна судити про величину витраченої праці, а отже, й створеної вартості. Таким чином, кількість створеної виробником продукції може бути засобом переведення індивідуального робочого часу в суспільно необхідний (індивідуальних витрат праці у вартість). Для цього слід прийняти робочий день за суспільно необхідний робочий час і встановити ту кількість продукції, яку необхідно виробити за цей час за середньої інтенсивності праці та майстерності виробника. Ця норма виробітку Nt є іншим вираженням вартості робочого дня, де витрати праці виробника виражені не в одиницях часу, а кількістю виробленої продукції. Вона встановлюється так само, як суспільне необхідний робочий час, тобто як середньозважена величина виробітку кожного виробника із складеної пропорції: Qt/Nt=Qi/Ni визначають величину створеної виробником вартості: Qi=Qt?Ni/Nt, де Nt – суспільно необхідна норма виробітку, Qt – витрати праці, необхідні для й виконання, що становлять вартість робочого дня, Ni – фактично вироблена робітником кількість продукції за робочий день. Відношення є коефіцієнтом переведення індивідуальних витрат праці у створену вартість: Qi=Qt?k. Якщо Ni=Nt, то Qi=Qt. Це означає, що виробник, виконавши норму виробітку, створює таку кількість вартості, яка дорівнює вартості робочого дня. Прийнявши вартість робочого дня за постійну величину, через встановлення суспільне необхідної норми виробітку визначають вартість товару на будь-якому підприємстві чи в галузі, де умови виробництва незіставні між собою. Вона дорівнюватиме тривалості робочого дня з середньою інтенсивністю й майстерністю пращ, поділеній на норму виробітку, встановлену для цих умов виробництва. Такий метод визначення величини створеної вартості порівняно простий і випливає з самої суті цієї категорії. Однак його можна використовувати лише для визначення величини заробітної плати. Кількісне визначення вартості товару значно спрощується, коли за основу береться безпосередньо економічна одиниця її виміру – грошова одиниця. Гроші, як відомо, самі не мають жодної вартості, а є тільки засобом забезпечення товарних відносин між людьми. Тому вони – лише дзеркальне відображення вартості виготовлених товарів. Вартість грошової одиниці в кожній країні встановлюється на основі порівняльних характеристик вартостей інших товарів. Так, якщо на виготовлення столу затрачено 20 год. суспільне необхідного робочого часу і стільки ж часу – на добування 1 г золота і цю вагову одиницю взято за стандарт грошової одиниці – гривню, і о матимемо різні, але рівноцінні вирази вартості товару в одиницях часу (20 год.), вагових одиницях золота (1 г) і безпосередньо в грошових одиницях (1 грн.). Тому замість суспільне необхідного робочого часу вартість у сучасних умовах визначають безпосередньо в грошових одиницях, але в основі цього визначення – витрати праці.

  1. Походження,суть і функції грошей.

На стадії виникнення товарного виробництва обмін був рідкісним і випадковим. Досить рідко общини обмінювали свої вироби на інші. Але з розвитком поділу праці, підвищенням її ефективності кількість продукції збільшувалась і обмін ставав частішим, а згодом і регулярним. Він набував характеру ділових господарських стосунків. І коли в обмін стали систематично надходити у великих кількостях продукти праці, виникли певні труднощі, бо потреби обох учасників цього процесу збігалися рідко. Такі труднощі обумовили стихійне виділення одного товару, на який обмінювались інші товари. У науці він отримав назву загального еквівалента, У різних країнах таким еквівалентом були різні товари: слонова кістка, шкіра, худоба, сіль та інші — переважно ті, які можна було швидше обміняти на інший товар.

Але коли обмін ставав масовим, такий еквівалент не вирішував проблеми. Бо товари, які служили засобом обміну, повинні були весь час перебувати в обігу і обслуговувати акти купівлі-продажу. Вони швидко зношувались і втрачали свою вартість. Крім цього, могли бути інші труднощі. Кожен регіон міг мати свій еквівалент. Розвиток обміну призводить до того, що роль загального еквівалента поступово закріплюється за металами — бронзою, залізом, а потім за сріблом і золотом. Так з'являється грошова форма вираження вартості. Вона відрізняється від попередньої тим, що роль загального еквівалента міцно закріплюється за одним товаром — золотом, яке стає справжніми грішми. Воно було для цього найбільш придатне — досить тверде, тугоплавке, кислототривке,, легко ділиться на частини, трудомістке і тому має високу вартість. Отже, гроші виникли в процесі розвитку обміну внаслідок виділення з нього окремого товару, який виконував роль загального еквівалента. Вони виконують роль посередника у зв'язках між товаровиробниками і спрощують мінові операції. Із появою грошей з'являється ціна. Вона визначає суму грошей, яку необхідно заплатити за товар. У різні часи в економічній літературі з'являлися різні теорії походження грошей. Одні вважали, що гроші — це результат угоди, домовленості між людьми. Другі доводили, що гроші впроваджуються державою як інструмент для вимірювання цін товарів. На думку третіх, золото і срібло є грішми за своєю природою. Насправді гроші не є результатом суб'єктивних дій людей чи державних органів. Вони виникли в процесі об'єктивного багатовікового розвитку обміну. Історично першою формою був натуральний обмін. Він і тепер може мати місце в період економічної нестабільності. Але він має свої недоліки 1)виникають складнощі в знаходженні партнера з відповідними потребами. Наприклад, працівникові взуттєвої фабрики видали зарплату взуттям. Йому необхідно обміняти її на інші продукти. Звичайно, що знайти партнера, якому потрібне саме таке взуття і який має потрібні продавцеві товари, важко. І ця справа ускладнюється зі збільшенням предметів обміну 2) збільшується тривалість обміну. Це пов'язано з тим, що в умовах натурального обміну потрібно більше часу на пошук партнера для обміну. Треба знайти суб'єкта з необхідним товаром і бажанням; 3) уповільнюється розвиток виробництва і розширення господарських структур. Якщо товар реалізується повільно, то це стримує розвиток виробництва. При натуральному обміні стають довшими всі фази виробничого циклу — пошук ресурсів, виробництво і збут. Унаслідок цього стає повільнішим оборот капіталу; 4) збільшуються затрати на реалізацію і зберігання товару. Обмін товарів на гроші дає можливість подолати ці недоліки. Грошовий обмін — це така форма обміну, коли люди спочатку обмінюють свої товари на гроші, а потім за гроші купують інші товари. Гроші тут виступають у формі посередника, проміжної ланки обмінних операцій. Товар обмінюється через посередника — гроші. Здається, що обмінні операції ускладнюються. Однак тут зробити обмін удвоє простіше, ніж поміняти товар на товар.

Гроші, завдяки їх високій ліквідності, полегшують обмін і прискорюють його. Вони є важливим фактором економічного прогресу. Наше життя сьогодні важко уявити без грошей. Гроші виконують певні функції: 1. Засобу обігу товарів. Продукти праці в розвинутому товарному виробництві обмінюються через посередника. Ним є гроші. Це спрощує обмін, прискорює його. Гроші можна використовувати для будь-яких купівель. 2. Міри цінності (вартості) товару. Гроші виступають як загальноприйнята одиниця обліку цінності різних товарів. Вони є вигідним і єдиним мірилом цінності. За допомогою грошей встановлюється ціна товару, порівнюються їх цінності, вимірюється багатство. 3. Засобу збереження цінності або нагромадження. Власник товару, продавши його, одержує гроші. Через певний час за одержані гроші (за відсутності інфляції) він зможе купити відповідну кількість інших товарів. 4. Засобу платежу. У результаті виникнення кредитних відносин між товаровиробниками, гроші, виступаючи засобом сплати боргового зобов'язання, виконують функцію засобу платежу. Маючи таку функцію, вони обслуговують широку сферу розрахунків, включаючи оплату праці, сплату податків, виплату трансфертних платежів і так далі. 5. Світових грошей. У цій функції вони виступають на світовому ринку. У минулому функцію світових грошей виконувало золото. Зараз воно є звичайним товаром, а функцію світових грошей виконує американський долар.

  1. Закони грошового обігу.

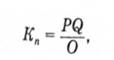
Розвиток та функціонування грошей і грошових систем підпорядковується дії притаманних цій сфері економічних законів, органічно пов'язаних із законами розвитку товарного виробництва, всієї економічної системи. Закони грошового обігу — загальні економічні закони, які діють у кількох формаціях і виражають внутрішньо необхідні, сталі і суттєві зв'язки між кількістю необхідних для обігу грошей, цінами товарів, що підлягають реалізації, і вартістю грошей. Оскільки існують різні форми грошей та виконуваних ними функцій, то відповідно розрізняють і певні типи законів грошового обігу. З урахуванням виконуваних повноцінними грошима функцій міри вартості і засобу обігу за умов металевого грошового обігу і насамперед золотого монометалізму (коли кількість грошей стихійно пристосовувалась до вимог товарного обігу) закон грошового обігу в абстрактній формі виражався формулою:

де Кn - кількість необхідних для товарного обігу дійсних грошей у році; СЦ — сума цін товарів; О — середнє число обертів за рік кожної грошової одиниці. В західній економічній літературі закони грошового обігу в абстрактній формі визначаються також запропонованою І. Фішером формулою:

де Р — рівень цін; Q — обсяг виробництва; О — швидкість обороту грошової одиниці. Символ Q викликає заперечення, оскільки не весь обсяг вироблених за певний час товарів підлягає продажу. Вимагає уточнення і показник "обсяг виробництва", який може однаково стосуватися виробництва промислової продукції, національного доходу та інших агрегатних величин. Тому доцільніше замість нього використовувати показник "обсяг товарів, які підлягають реалізації". Фактори "кількість товарів, які підлягають реалізації" та "рівень цін" слід виразити поняттям "сума товарних цін". Другий закон кількості грошей в обігу пов'язаний з виконанням грошима функції платежу, появою кредитних грошей, з обігом платіжних засобів. У ньому якісна характеристика законів грошового обігу комплексно модифікується і набуває вигляду:

Обіг платіжних засобів сприяє значній економії грошей шляхом зарахування взаємних платіжних зобов'язань, тобто безготівкових розрахунків. Це зумовлено тим, що швидкість обігу грошей у функції платіжного засобу (вексель, банкнота) визначають ступінь концентрації платежів, одночасність їх здійснення, можливість за рахунок поточних надходжень забезпечувати їх взаємну компенсацію. Система взаємного погашення платежів найповніше втілена у розвитку клірингу (англ. clearing — очищувати), тобто взаєморозрахунку (внутрішнього та міжнародного). Прискоренню обігу платіжних засобів сприяла комп'ютеризація. Така закономірність визначає швидкість обігу грошей при виконанні функції засобу платежу. При виконанні грошима функції засобу обігу дія закономірності інша — швидкість обігу грошей у такому разі визначається швидкістю переходу товарів (а значить і грошей) з одних рук в інші при обслуговуванні актів купівлі-продажу. Одночасність цих актів уповільнює обіг грошей і призводить до збільшення маси грошей в обігу. З еволюцією капіталістичного способу виробництва в грошовій системі відбувались якісні зрушення. За домонополістичного капіталізму діяла система металевого обігу, при якій грошовий товар функціонував у формі повноцінних грошей. Крах золотого стандарту, припинення вільного обміну грошових знаків на золото за фіксованою ціною означає, що кількість грошей, яка фактично знаходиться в обігу, впливає на реальну цінність грошової одиниці. Тому кількість необхідних для товарного обігу грошей визначається кількістю грошових знаків з урахуванням їх купівельної спроможності. За інфляції кількість грошей, які фактично перебувають в обігу, більша, ніж це необхідно для забезпечення товарного обігу. Реальну вартість обігових грошових знаків визначає кількість необхідних для товарного обігу грошей за певний проміжок часу. За золотого монометалізму кількість необхідних для забезпечення товарного обігу грошей визначали особливості обігу грошей як платіжного засобу, зокрема виконання банкнотами переважно функції платіжного засобу у сфері комерційного та банківського кредитів. Натепер (за відміни золотого стандарту) банкноти як вид кредитних грошей стали формою грошей в більшості країн, масовим засобом обігу. Тому при визначенні кількості потрібних для товарного обігу грошей зникла необхідність введення в формулу грошового обігу такого показника, як сума оборотів, в яких одні й ті самі гроші функціонують як засіб обігу і як засіб платежу, тобто необхідність обчислення Кn за сферами обігу.

  1. Інфляція, її суть, причини і види. Соціально-економічні наслідки інфляції. Антиінфляційна політика держави.

Проблема інфляції є складовою частиною теорії грошей. Інфляція - це одна з найбільш гострих проблем сучасного розвитку економіки в багатьох країнах світу, що негативно впливає на всі сторони життя суспільства. Є різні погляди на природу і причини інфляції, але переважають два напрями: перший розглядає інфляцію як суто грошове явище, спричинене порушенням законів грошового обігу; другий - як макроекономічне явище, спричинене порушенням пропорцій суспільного відтворення, і насамперед між виробництвом і споживанням, попитом і пропозицією товарів. Тим часом інфляція є складним, багатостороннім явищем, причини якого - у взаємодії факторів сфери виробництва і сфери грошового обігу. Інфляція зовні виглядає як знецінення грошей внаслідок їхньої надмірної емісії, яка супроводжується зростанням цін на товари та послуги. Проте це лише форма прояву, а не глибинна сутність і причина інфляції. Звичайно інфляція має свій зовнішній прояв у підвищенні цін. Але не кожне підвищення цін служить показником інфляції. Ціни можуть підвищуватися в результаті поліпшення якості продукції, погіршення умов видобутку паливно-сировинних ресурсів, змінюватися під впливом циклічних і сезонних коливань виробництва, стихійних лих і т. ін. Але це будуть, як правило, не інфляційні, а певною мірою природні періодичні зміни цін на окремі товари і послуги. Насправді ж інфляція є результатом порушення економічної рівноваги, яка зумовлена комплексом внутрішніх і зовнішніх причин:

Найважливішими з внутрішніх причин інфляції є: - порушення пропорцій відтворення між виробництвом і споживанням, нагромадженням і споживанням, попитом! пропозицією, грошовою масою в обігу і сумою товарних цін; - значне зростання дефіциту державного бюджету і державного боргу, зумовлених непродуктивними державними витратами; - надмірна емісія паперових грошей, яка порушує закони грошового обігу; - мілітаризація економіки, що відволікає значну частину ресурсів в оборонну промисловість, призводить до недовироб-ництва товарів народного споживання, створює їх дефіцит; - збільшення податкового тягаря на товаровиробників; - випередження темпів зростання заробітної плати порівняно з темпами зростання продуктивності праці. Зовнішні фактори інфляції пов'язані з посиленням інтернаціоналізації господарських зв'язків між державами, що супроводжуються загостренням конкуренції на світових ринках капіталів, товарів та послуг, робочої сили, загостренням міжнародних валютно-кредитних відносин, зі структурними світовими кризами (енергетичною, продовольчою, фінансовою та ін.). Узагальнюючи сказане, можна дати таке визначення інфляції. Інфляція - це знецінення грошей, спричинене диспропорціями в суспільному виробництві й порушенням законів грошового обігу, яке виявляється у стійкому зростанні цін на товари і послуги. Інфляція може набувати різноманітних форм .

За формами прояву виділяються два типи інфляції: 1) відкрита, або явна, інфляція — властива суспільствам з ринковою економікою, а значить і вільним ціноутворенням; 2) прихована, або подавлена, інфляція — властива суспільствам з повністю одержавленою (неринковою) економікою, де жорстка регламентація ("заморожування") державою цін має своїми наслідками товарний дефіцит, низьку якість товарів і послуг, величезні витрати часу, нервів і людської гідності на вистоювання в чергах і пошук елементарних речей. Вона ж спонукала ділків до спекуляції дефіцитними товарами. Такий тип інфляції мав місце, зокрема, у колишньому СРСР. За темпом зростання цін розрізняють три види інфляції: помірну, галопуючу та гіперінфляцію. Помірна, або повзуча, інфляція має місце тоді, коли ціни в країні зростають у середньому до 10% за рік. Такий вид інфляції вважається безпечним, а коли ціни приростають усього на декілька відсотків, то навіть і бажаним. Незначне підвищення цін справляє стимулюючий ефект для економічних суб'єктів, так би мовити, "підхльостує" ділову активність. Активізація попиту відповідно стимулює виробництво. Галопуюча інфляція виникає при зростанні цін понад 10% за рік (і, приблизно, до 100 чи навіть 200%). Цей вид інфляції стає вже небезпечним, оскільки за стрибків цін люди втрачають спокій, щоразу очікуючи чергового підвищення цін. Гіперінфляція (від грецьк. hyper — над, зверх) — найбільш небезпечний вид інфляційних процесів. Під час гіперінфляції ціни зростають надзвичайно швидко, вони наче вибухають, сягаючи астрономічних висот, наприклад, понад 1000% за рік, або 50% за місяць, чи 1% за день). Це самоприскорювана інфляція. Інфляція — складне макроекономічне явище, її спричиняє багато факторів. Якщо говорити найбільш узагальнено, то інфляція є наслідком порушення суспільством закону грошового обігу, а саме перевищення грошовою масою кількості реальних товарів і послуг. Це ознака порушеної макроекономічної рівноваги, або дисбалансу сукупного попиту та сукупної пропозиції. Детальніше з'ясування причин інфляції приводить нас до виділення двох їх груп, які умовно називають "інфляцією попиту" та "інфляцією пропозиції". Інфляція попиту — це інфляція, зумовлена надмірністю сукупного попиту. Вона проявляється у тому, що грошові витрати населення, фірм і держави випереджають ріст виробництва, тобто виробництво не поспіває наситити платоспроможний попит. Надмірний попит виникає з багатьох причин, зокрема, через: 1) популістську політику правлячих політичних сил (необґрунтоване підвищення соціальних виплат та надання фінансової допомоги (субсидій) окремим галузям і категоріям населення); 2) непомірні витрати на утримання державного апарату (які не компенсуються ефективністю державного управління); 3) діяльність тіньової економіки (приписки, хабарі, розкрадання державних коштів, нелегальна конвертація безготівкових грошей у готівку, фальшування грошей тощо); 4) емісію Центральним банком надлишкових грошей. Інфляція пропозиції, або витрат — це інфляція, зумовлена зростанням витрат виробництва. Зростання витрат виробництва відбувається через: 1) необґрунтоване підвищення номінальної заробітної плати; 2) свідоме завищення цін підприємствами-монополістами; 3) імпорт дорогих ресурсів (природного газу, нафти тощо). Зростання витрат змушує виробників або піднімати ціни на свою продукцію, або скорочувати виробництво, оскільки воно стало менш прибутковим. Скорочення виробництва, у свою чергу, призводить до зменшення пропозиції тієї чи іншої продукції, а отже, і її подорожчання. Прихована інфляція - це така інфляція, коли держава вживає заходи, спрямовані на безпосереднє стримування цін на товари і послуги, з одного боку, і доходів населення-з іншого Повзуча інфляція - інфляція, що розвивається поступово, коли ціни зростають незначною мірою (не перевищує 10 % на рік). Помірна інфляція (2-5 % на рік) у розвинутих країнах Заходу не розглядається як негативний фактор. Навпаки, вважається, що вона стимулює розвиток економіки, надає їй необхідного динамізму. Галопуюча інфляція - інфляція, коли ціни зростають швидко - на 10-100 % щорічно. На стадії галопуючої інфляції відбувається спад виробництва та скорочення товарообороту, втрачається стимул до інвестицій, стримується процес суспільного нагромадження, поширюється відплив капіталу з виробничої сфери до сфери обігу, тобто йде розбалансування економічної рівноваги. Гіперінфляція - інфляція, коли ціни зростають астрономічно - на 1-2 % щодня або сягають 1000 % і більше нарік.

Вона означає глибоку економічну і соціальну кризу в країні. Збалансована інфляція - інфляція, коли ціни товарів різних товарних груп відносно один одного не змінюються. Ціни підвищуються досить повільно й одночасно на більшість товарів та послуг. Незбалансована інфляція - інфляція, коли співвідношення цін у різних товарних групах змінюється на різні відсотки і по-різному на кожний вид товару. Очікувана інфляція - зазвичай помірна інфляція, яку можна спрогнозувати на будь-який період. Досить часто це є прямим результатом антиінфляційних дій уряду. Неочікувана інфляція характеризується раптовим стрибком цін, зумовленим збільшенням під впливом інфляційних очікувань суспільного попиту населення на споживчі товари, товаровиробників - на сировину та засоби виробництва Сильна інфляція (галопуюча і, тим паче, гіперінфляція) породжує чимало негативних наслідків для економіки та суспільства, зокрема: - інфляція знижує реальні доходи і добробут населення. І робить це вона підступно, у вигляді своєрідного податку, яким обкладає усіх, хто має гроші; - інфляція раптово і безжально перерозподіляє грошові доходи людей. На чию користь? а) на користь підприємств-монополістів (нафтогазових, енергетичних та ін.); б) на користь фінансових посередників, які наживаються на грошових спекуляціях і відсотках; в) на користь ділків тіньової економіки, які ще більше недоплачують державі податків; г) на користь тих керівників (власників) підприємств, які, користуючись ситуацією, призначають собі та наближеним до себе особам ще більш високі посадові оклади та премії. Найбільше ж потерпають від інфляційного (цінового) перерозподілу доходів працівники бюджетної сфери (учителі, лікарі, пенсіонери та ін.), доходи яких є фіксованими і відстають від росту вартості життя; - інфляція розладнує усталені господарські зв'язки. Економічні суб'єкти втрачають довіру до національної грошової одиниці, переводять свої розрахунки в тверду іноземну валюту, повертаються до старовинного безгрошового товарного обміну - інфляція паралізує кредитні відносини. Вона стає справжньою трагедією для кредиторів, які вже видали позики, та робить героями дня тих, кому вона просто списує (дарує) боргові зобов'язання. Тому кредитний ринок завмирає, термін позики скорочується; - інфляція гасить стимули до виробництва, переорієнтовує бізнес на спекулятивні (посередницькі) операції з товарами та грошима, адже найшвидше — це купівля-продаж При цьому багато виробників банкрутують, зате активізується шахрайство та інші види злочинності; - інфляція розкручує так звані інфляційні спіралі. Зростання витрат виробництва набуває характеру ланцюгової реакції. Наприклад, пряме підвищення цін монополістами чи підвищення заробітної плати працівників тієї чи іншої галузі, мотивоване лише необхідністю компенсувати інфляцію, спричиняє зростання витрат у підприємств-суміжників і черговий поштовх для росту цін. Так і бігають одне за одним зарплати і ціни, ціни і ціни (наприклад, ціни на пальне і ціни на транспортні послуги); - інфляція породжує у людей інфляційні очікування. Інфляційні очікування — це стан психологічної напруги (дискомфорту) у період значної інфляції, який змушує людей приймати поспішні економічні рішення щодо використання грошових доходів, що призводить до ще більшого росту цін. Важливо зауважити, що інфляція призводить не просто до підвищення цін, а до нерівномірного зростання цін і, як наслідок, спотворення міжгалузевих цінових співвідношень. Тоді проблема подолання інфляції на порядок ускладнюється через неможливість швидкого угамування розбурханої людської психології. Антиінфляційна політика - це сукупність ефективних заходів держави, спрямованих на реальну стабілізацію рівня споживчих цін. Для подолання інфляції й формування ефективної політики стабілізації національної валюти вироблено цілий ряд методів. Серед них найбільш поширеними є: нуліфікація, ревалоризація і реставрація, девальвація, дефляція. Найчастіше використовується нуліфікація знецінених грошей. Вона означає ліквідацію старих грошових знаків, вилучення їх із обігу і заміну їх новими грошовими знаками, як правило, в меншій кількості. Цим методом скористалась Україна в 1996 p., запровадивши в обіг нову грошову одиницю - гривню. Протилежним до нуліфікації є метод стабілізації національної валюти з допомогою ревалоризації і реставрації. Ревалоризація означає процес відновлення доінфляційної вартості паперових грошей з метою стабілізації і підвищення курсу національної валюти. Нині у її здійсненні провідним методом є поступова реставрація валюти, тобто відновлення доінфляційної купівельної спроможності та курсу національної валюти щодо інших вільноконвертованих валют. Водночас у країні реалізується цілий комплекс заходів для оздоровлення національної економіки, спрямованих насамперед на збільшення виробництва високоякісних, конкурентно-здатних товарів. Стабілізацію національної валюти можна розпочати також із проведення політики дефляції. Це процес стримування зростання грошової маси в обігу. Вона означає вилучення з обігу певної частини надлишку паперових грошей. Супроводжується дефляція також комплексом заходів із оздоровлення національної економіки і фінансів, що виражаються в реформі податкової системи, скороченні бюджетних витрат та обсягів кредитів тощо. Світовий досвід країн ринкової економіки свідчить, що для регулювання інфляційного процесу важливе значення має впровадження таких дій: встановлення економічно обґрунтованої ставки відсотків за кредит; регулювання зайнятості, валютного та грошового обігу; розвиток безготівкових платежів і водночас обмеження питомої ваги готівкових грошей, які найбільше піддаються інфляційному знеціненню; широке запровадження електронних грошей, карток споживача. Держава через регулювання маси грошей, рівня відсотків за кредит і швидкості обігу грошей може активно впливати на обмеження інфляційного процесу, стимулювати рівень інвестицій і розширення національного виробництва. Звичайно, вибір методів подолання інфляції залежить від її рівня, від особливостей національної економіки, від місця державного регулювання процесу суспільного відтворення. Через те, що інфляційний процес має різноманітні причини, то у боротьбі з ним широко використовують антимонопольну політику, яка охоплює: контроль за підприємницькими структурами, що займають панівне становище на ринку; захист і стимулювання конкуренції; сприяння розвиткові малого і середнього бізнесу, контроль за цінами; захист прав споживача та ін.. Для подолання інфляції у вітчизняній економіці має бути ефективна антиінфляційна політика, реальна стабілізація і зміцнення на ЇЇ засадах національної грошової одиниці. Ця політика має здійснюватись у напрямі забезпечення фінансової стабілізації. Саме фінансово-грошова стабілізація - це єдино можлива основа виведення національної економіки з кризи, якісної перебудови її та поліпшення життя населення.