
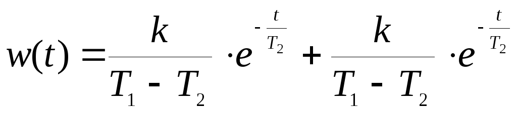
Рис. 2.20. Графики переходной и весовой функций апериодического
звена второго порядка
Колебательное звено
При заданных постоянных параметрах k и T рассматриваются три варианта колебательных звеньев:
![]()
![]()
![]()
![]()

Рис. 2.21. График переходной функций колебательного звена
Весовая функция w(t)


Рис. 2.22. График весовой функций колебательного звена
Консервативное звено
![]()
При заданном постоянном коэффициенте k рассматриваются два варианта консервативных звеньев:
T1=T,
T2=2T.
![]()

Рис. 2.23 Графики переходной и весовой функций консервативного звена
Наиболее часто для частотного анализа используют SIMULINK 6.1 т.к. он является самым простым способом, а сам пакет MATLAB 7 для частотного анализа в данном случае используют по заданию преподавателя.
Control System Toolbox
Комплект инструментальных средств "Control System"- набор функций MATLAB для моделирования, анализа и проектирования автоматических систем управления. Функции в этом комплекте инструментальных средств работают с широко распространенной классической передаточной функцией и "современными" методами управления в пространстве состояний. С помощью этих инструментальных средств можно моделировать и анализировать системы как в дискретной, так и в непрерывной области. Графики временных характеристик и корневого годографа могут быть быстро вычислены и построены.
Возможности библиотеки
Системное моделирование (System Models):
Описание дискретных и непрерывных систем.
Пространство состояний, функции преобразования, полюса и нули, элементарные модели в виде передаточных функций.
Построение линейной модели системы.
Модельные преобразования: из дискретной в непрерывную область, модель пространства состояний к передаточной функции и другим моделям.
Анализ (Analysis):
Функции временных характеристик: импульсная ПФ, зависимость от периода дискретизации, переходная характеристика, обобщенное линейное моделирование.
Функции частотных характеристик: Боде, Николса, графики сингулярных значений.
Моделирование объекта управления (Control Design):
Оптимизация обратной связи: выбор коэффициентов демпфирования, запас устойчивости по фазе и амплитуде, расположение полюсов, корневой годограф, интерактивное определение усиления, LQR/LQE проект.
Реализационная модель: управляемость, реализация с использованием минимального количества компонент математической модели, модель с корректирующим устройством, уменьшение порядка модели.
Свойства модели: наблюдаемость и управляемость Грамиана, наблюдаемость и управляемость матрицы, нули передачи, уравнение Ляпунова, отклик на ковариацию.
В Control System Toolbox имеется тип данных, определяющих динамическую систему в виде комплексной передаточной функции. Синтаксис команды, создающий LTI-систему c одним входом и одним выходом в виде передаточной функции:

где TF([bm, …, b1, b0], [an, …, a1, a0])
bm, …, b1 – значения коэффициентов полинома В в (1.3);
an, …, a1 – значения коэффициентов полинома A в (1.3).
Для выполнения работы могут применяться команды, приведенные в таблице 1.1. (Л.р. №1).
Для определения корней полиномов степени k, может, также, применяться команда MATLAB roots(P), которая, в качестве аргумента P, получает матрицу коэффициентов полинома [pk, …, p0].
Другим вариантом получения графиков динамических характеристик САУ является использование графического интерфейса ППП CST – LTI в viewer, вызов которого осуществляется командой ltiview, которой в качестве параметра можно указать имя переменной, содержащей LTI-объект.
Таким образом, дальнейшее выполнение лабораторной работы состоит из следующих шагов:
Изучить теоретические сведения.
Запустить систему MATLAB.
Создать tf-объект, в соответствии с заданным вариантом.
Используя LTI-viewer, или соответствующие команды (табл.2.1) получить динамические характеристики – переходную функцию h(t), импульсно-переходную функцию w(t) и частотные характеристики – диаграмму Боде, частотный годограф Найквиста.
Пропорциональное звено
Передаточная функция
где
![]()
Создаём tf-объект для данной передаточной функции
w=tf([5],[1])
Transfer function:
5
Построим переходную функцию командой step(w).
Построим импульсную переходную функцию командой impulse(w).
Логарифмическую частотную характеристику (диаграмму Боде) получим, используя команду bode(w)
Определим комплексно-частотную функцию (частотный годограф Найквиста), выполнив команду nyquist(w)

Рис. 2.24. Переходная h(t) и импульсно-переходная функции пропорционального звена

Рис. 2.25. Логарифмические частотные характеристики, комплексно-частотная функция пропорционального звена
Апериодическое (инерционное) звено
Передаточная функция
![]()
где
![]()
Создаём tf-объект для данной передаточной функции
w=tf([5],[0.1 1])
Transfer function:
5
---------
0.1 s + 1
Построим переходную функцию командой step(w).
Построим импульсную переходную функцию командой impulse(w).

Рис. 2.26. Переходная h(t) и импульсно-переходная функция
инерционного звена
Логарифмическую частотную характеристику (диаграмму Боде) получим, используя команду bode(w)

Рис. 2.27. Логарифмические частотные характеристики
инерционного звена
Определим комплексно-частотную функцию (частотный годограф Найквиста), выполнив команду nyquist(w)

Рис. 2.28. Комплексно-частотная функция инерционного звена
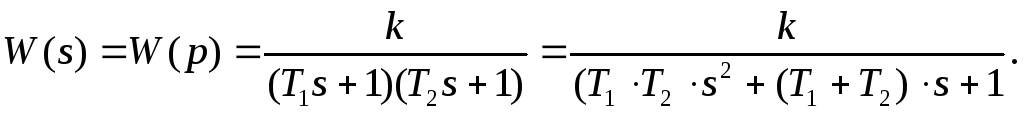
Апериодическое звено второго порядка
Передаточная функция
![]()
![]()
Создаём tf-объект для данной передаточной функции
w=tf([5],[0.02 0.3 1])
Transfer function:
5
--------------------
0.02 s^2 + 0.3 s + 1
Построим переходную функцию командой step(w).
Построим импульсную переходную функцию командой impulse(w).
Логарифмическую частотную характеристику (диаграмму Боде) получим, используя команду bode(w)

Рис. 2.29. Переходная h(t) и импульсно-переходная функции
апериодического звена второго порядка

Рис. 2.30. Логарифмические частотные характеристики
апериодического звена 2-го порядка
Определим комплексно-частотную функцию (частотный годограф Найквиста), выполнив команду nyquist(w)

Рис. 2.31. Комплексно-частотная функция апериодического
звена 2-го порядка
Колебательное звено
Передаточная функция
![]()
![]()
При заданных постоянных параметрах k и T рассматриваются три варианта колебательных звеньев:
![]()
![]()
![]()
Создаём три варианта tf-объектов для передаточной функции колебательного звена (w1,w2,w3)
w1=tf([5],[0.01 0.02 1])
Transfer function:
5
---------------------
0.01 s^2 + 0.02 s + 1
w2=tf([5],[0.01 0.08 1])
Transfer function:
5
---------------------
0.01 s^2 + 0.08 s + 1
w3=tf([5],[0.01 0.1414 1])
Transfer function:
5
-----------------------
0.01 s^2 + 0.1414 s + 1
Построим переходные функции командой step(w1,w2,w3).

Рис. 2.32. Переходная функция h(t) колебательного звена
Построим импульсную переходную функцию командой impulse(w1,w2,w3).

Рис. 2.33. Импульсно-переходная функция колебательного звена
Логарифмическую частотную характеристику (диаграмму Боде) получим, используя команду bode(w1,w2,w3)

Рис. 2.34 Логарифмические частотные характеристики колебательного звена
Определим комплексно-частотную функцию (частотный годограф Найквиста), выполнив команду nyquist(w1,w2,w3)

Рис. 2.35. Комплексно-частотная функция колебательного звена
2.4.5.Консервативное звено
Передаточная функция
![]()
![]()
При заданном постоянном коэффициенте рассматриваются два варианта консервативных звеньев:
T1=T,
T2=2T.
Создаём два варианта tf-объектов для передаточной функции консервативного звена (w1,w2)
w1=tf([5],[0.01 0 1])
Transfer function:
5
------------
0.01s^2 + 1
>> w2=tf([5],[0.04 0 1])
Transfer function:
5
------------
0.04 s^2 + 1
Построим переходную функцию командой step(w1,w2). (a)
Построим импульсную переходную функцию командой
impulse(w1,w2). (б)
а) б)
Рис. 2.36. Переходная h(t) и импульсно-переходная функции
консервативного звена
Логарифмическую частотную характеристику (диаграмму Боде) получим, используя команду bode (w1,w2)