
Рис. 6.12 Переходные процессы при возмущающем воздействии
Частотный анализ двухконтурной астатической САР с использованием пакета MATLAB.
Построение ЛАЧХ и ЛФЧХ разомкнутых систем САР по управляющему воздействию
Логарифмические частотные характеристики (диаграммы Боде) могут быть получены с использованием пакета MATLAB.
В соответствии с этими методами предварительно составляется передаточная функция разомкнутой САР для выходной величины y1 и y2 при задающем и возмущающем воздействиях. Для этого используются структурные схемы САР, представленные на рис. 6.1 и 6.3.
Логарифмические частотные характеристики САР при управляющем воздействии имеют следующий вид. Рассматривается пример САР со следующими исходными данными: Tμ=0.08c, T01=0.16c, T02=0.88c, Kф=9, K0=4.
Для выходной величины внешнего контура y2:
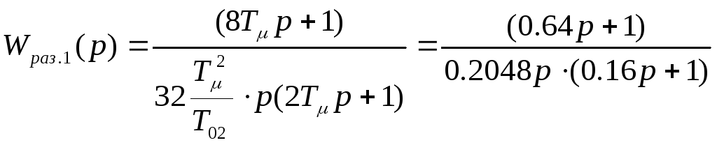
- для схемы без фильтра
(6.12)
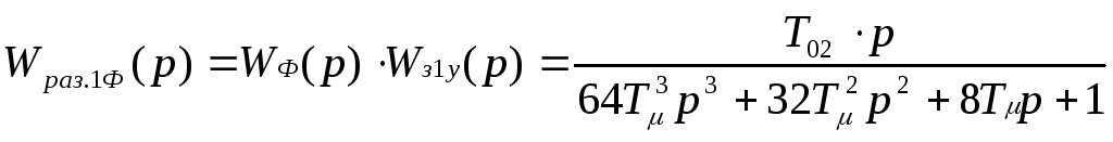
- для схемы с фильтром
(6.13)
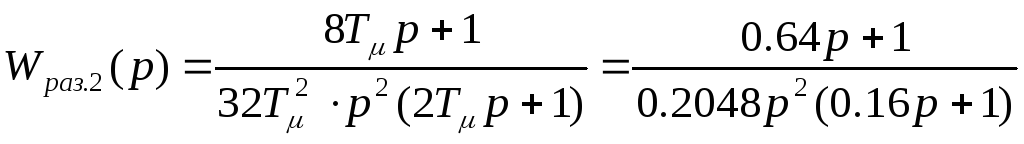
Для выходной величины y1 внутреннего контура:
- для схемы без фильтра
(6.14)
- для схемы с фильтром
(6.15)
Расчёт логарифмических частотных характеристик с использованием пакета MATLAB производится в следующем порядке.
Для выходной величины внешнего контура создадим LTI- объект:
>> w1=tf([0.64 1],[0.0327 0.2048 0 0]) (без фильтра)
Transfer function:
0.64 s + 1
-----------------------
0.0327 s^3 + 0.2048 s^2
>> w2=tf([1],[0.0327 0.2048 0.64 1]) (с фильтром)
Transfer function:
1
------------------------------------
0.0327 s^3 + 0.2048 s^2 + 0.64 s + 1
>>bode(w1,w2)
Для выходной величины внутреннего контура создадим LTI-объект
>> w3=tf([0.5632 1],[0.0327 0.2048 0 ]) (без фильтра)
Transfer function:
0.5632 s + 1
---------------------
0.0327 s^2 + 0.2048 s
>> w4=tf([0.88 0],[0.0327 0.2048 0.64 1 ]) (с фильтром)
Transfer function:
0.88 s
------------------------------------
0.0327 s^3 + 0.2048 s^2 + 0.64 s + 1
>> bode(w3,w4)

Рис. 6.13 ЛАЧХ и ЛФЧХ разомкнутых систем САР по
управляющему воздействию для внешнего контура
Для выходной величины внутреннего контура
(6.16)
Для системы с минимальными показателями колебательности
(6.17)
Расчёт ЛАЧХ и ЛФЧХ производится в следующем порядке.
Для выходной величины внешнего контура создадим LTI- объект
>> w2=tf([1],[0.0327 0.2048 0.64 1]) (с фильтром)
Transfer function:
1
------------------------------------
0.0327 s^3 + 0.2048 s^2 + 0.64 s + 1
>> w5=tf([1],[0.88 0]) (без фильтра)
Transfer function:
1
------
0.88 s
>> bode(w2,w5)

Рис. 6.14 ЛАЧХ и ЛФЧХ разомкнутых систем САР по
управляющему воздействию для внутреннего контура
Для выходной величины внутреннего контура создадим LTI- объект
>> w4=tf([0.88 0],[0.0327 0.2048 0.64 1 ]) (с фильтром)
Transfer function:
0.88 s
------------------------------------
0.0327 s^3 + 0.2048 s^2 + 0.64 s + 1

Рис. 6.15 ЛАЧХ и ЛФЧХ разомкнутой САР по возмущающему
воздействию для внешнего контура
>> w6=tf([0.64 1],[0.0327 0.2048 0 0]) (без фильтра)
Transfer function:
0.64 s + 1
-----------------------
0.0327 s^3 + 0.2048 s^2

Рис. 6.16 ЛАЧХ и ЛФЧХ разомкнутой САР по возмущающему
воздействию для внутреннего контура
Для системы с минимальным показателем колебательности создадим LTI – объект
>> w7=tf([0.64 1],[0.0262 0.1638 0 0])
Transfer function:
0.64 s + 1
-----------------------
0.0262 s^3 + 0.1638 s^2
>>
Построить асимптотические ЛАЧХ и ЛФЧХ двухконтурной астатической САР, настроенной по симметричному оптимуму. Определить частотные показатели качества системы регулирования.
Определить прямые и косвенные показатели качества САР при управляющем воздействиях, при наличии и отсутствии фильтра на входе САР, при обеспечении минимального показателя колебательности.
Полученные показатели качества представить в виде таблицы 6.3
Пакет MATLAB позволяет по ЛАЧХ определить запас по фазе и запас по амплитуде, на рис. 6.18 показан пример определения запаса по фазе. Это осуществляется следующим образом после построения ЛАЧХ:
по белому полю нажать правую кнопку мыши и выбрать
Charactristics \ all stability margins
поставить галочки на против каждой строчки и получим запас по амплитуде и фазе.

Рис. 6.17 ЛАЧХ и ЛФЧХ разомкнутой САР с минимальным
показателем колебательности
Таблица 6.3. Показатели качества асимптотической САР
|
|
Координата |
Реакция на задающее воздействие |
Реакция на возмущающее воздействие |
||||||||
|
% |
с |
|
|
|
% |
с |
|
|
|
||
|
САР без фильтра
|
y2 y1 |
|
|
|
|
|
|
|
|
|
|
|
САР с фильтром |
y2ф y1ф |
|
|
|
|
|
|
|
|
|
|
|
САР с min колебател |
y2м y1м |
|
|
|
|
|
|
|
|
|
|

Рис. 6.18 Определение запаса по фазе
Выявить связь между прямыми показателями качества и частотными характеристиками.
Сделать выводы по работе.
Что понимают под оптимальной ситстемой автоматического регулирования?
В чем заключается сущность технического или модульного оптимума систем регулирования?
От чего зависит тип регулятора?
Какой вид имеют частотные характеристики системы, настроенной по модульному оптимуму?
Как влияет порядок системы регулирования на переходного процесса?
Каким образом с помощью регулятора, компенсируются большие постоянные времени объекта регулирования?
Объяснить влияние параметров регулятора внутреннего контура на показатели переходного процесса.
Каким образом строятся ЛАЧХ и ЛФЧХ оптимальной системы?
Объяснить по частотным характеристикам понятия запаса устойчивости по амплитуде и фазе.
Как определить прямые и косвенные показатели качества САР?
Какая связь существует между прямыми и косвенными показателями качества?
Представьте логарифмические частотные характеристики двухконтурной статической САР.
Представить примерный вид переходных функций статических САР при управляющем воздействии и объяснить их.
Представить примерный вид переходных функций статических САР при возмущающем воздействии и объяснить их.
Что такое статическая ошибка САР и от чего она зависят?
На примере двухконтурной САР объяснить, в чём заключается достоинства и недостатки настройки на модульный оптимум?
В чём заключается оптимизация САР по «симметричному оптимуму»?
Чем обеспечивается астатизм САР по возмущающему воздействию при настройке по «симметричному оптимуму»?
Объяснить характер переходных процессов двухконтурной астатической САР:
при задающем воздействии;
при возмущающем воздействии.
Объяснить достоинства и недостатки систем, настроенных по «симметричному оптимуму».
Представить передаточные функции статических и астатических САР при управляющем и возмущающем воздействиях.
Для чего применяется аппроксимация внутреннего замкнутого контура САР?
БИБЛИОГРАФИЧЕСКИЙ СПИСОК
Теория автоматического управления. ч.1 Теория линейных систем автоматического управления. Под. Ред. А.А. Воронова. М.: Высшая школа, 1986г – 367с.
Оглоблин А.Я. Линейные динамические звенья и системы автоматического регулирования. Методические указания к лабораторному практикуму – Магнитогорск, МГТУ, 2000г.
Дорф Р., Бишоп Р. Современные системы управления (перев. с англ. Копылова Б.И.), М.:Лаборатория базовых знаний/Юнимедиастайл 2002г-832с.
Дебни Дж.Б.,Харман Т.Л. Simulink 4: Секреты мастерства (перев. с англ. Симонова М.Л.) М.:Бином/Лаборатория знаний, 2003г-403с.
Дьяконов В. Simulink 4. Специальный справочник – СПб, Питер, 2002г – 528с.
Лукин А.Н. Теория автоматического управления. Методические указания к курсовой работе для студентов специальности 180400 – Магнитогорск, МГТУ, 2004г, 67с.
Герман-Галкин С.Г. Компьютерное моделирование полупроводниковых систем в МATLAB 6.0 Учебное пособие – СПб, корона, 2001, 320с.
Лукин А.Н. Теория автоматического управления. Учебное пособие, ГОУ ВПО “МГТУ им. Носова”, 2005. 215 с.