где
,
.
2) в виде инерционного звена первого порядка (Тμ2<<1)
.
(5.3)
В этом случае структурные схемы оптимальных САР с различными вариантами внутренних контуров приведены на рис 5.1 а,б


Рис. 5.1 Структурные схемы САР, построенной по модульному
оптимуму
На систему действуют следующие внешние воздействия: задающее воздействие g(t) и возмущающее воздействие F(t). Регулируемыми координатами являются: y1-для внутреннего контура и y2-для внешнего контура.
Передаточная функция регулятора определиться по обобщенной формуле:
.
Передаточная функция второго регулятора представляет собой пропорциональное звено.
При исследовании двухконтурной статической САР необходимо определить её реакцию на управляющие и возмущающие воздействия. Для каждого случая необходимо получить передаточные функции разомкнутой и замкнутой САР. Этот вопрос подробно рассмотрен в работе. Необходимо исследовать САР при представлении внутреннего замкнутого контура колебательным звеном или апериодическим звеном первого порядка. Прямые показатели качества могут быть получены по кривым переходного процесса, полученным по методу структурного моделирования и аналитическим методам. Косвенные показатели качества могут быть получены частотным методом по частотным характеристикам САР, полученным на компьютере с использованием пакета MATLAB, либо по построенным асимптотическим частотным характеристикам. Регулятор представляет собой пропорциональное звено.
Расчёт по методу компьютерного моделирования переходных процессов САР по управляющему и возмущающему воздействию с использованием пакета MATLAB-Simulink.
Создать модели двухконтурной статической САР с последовательной коррекцией.
Для этого предварительно необходимо ознакомиться с общими сведениями по работе с пакетом MATLAB и порядком создания моделей в среде Simulink. Схема разработанной модели исследуемой САР представлена на рис. 5.2. Параметры звеньев САР установленные в модель, приняты в соответствии с заданием преподавателя, либо в соответствии с заданием на курсовую работу по ТАУ (см. Л.р. №4).
Расчёт переходных процессов САР по методу структурного моделирования
Как указывалось выше, при исследовании двухконтурной САР необходимо произвести расчёт переходных процессов в системе как при управляющем, так и возмущающем воздействии. При этом расчёт производить при представлении внутреннего замкнутого контура колебательным звеном (5.2) и апериодическим звеном первого порядка (5.3). Т.е. переходный процесс рассматривается соответственно при задающем воздействии для выходной величины внутреннего контура y1y и y’1y и выходной величины внешнего контура y2y и y’2y и при возмущающем воздействии для y1в и y’1в и для y2в и y’2в.
|
Рис.5.2 Структурная схема САР для моделирования переходных процессов в Simulink
|
Перед выполнением расчетов необходимо предварительно задать параметры расчета. Задание параметров расчета выполняется в панели управления меню Simulation/Configuration Parameters.
Для получения переходных процессов при управляющем воздействии необходимо установить конечное время равное 30Tμ (в данном примере 2,4 с)
Остальные параметры установить согласно рис. 5.3.
Для формирования возмущающего воздействия используем блок Signal Builder. Время наброса нагрузки 30Tμ (в данном примере 30Tμ=2,4 с), конечное время 55Tμ (в данном примере 55Tμ=4,4 с), амплитуда возмущающего сигнала равна единице. С учётом всех этих параметров блок Signal Builder будет выглядеть так, как показано на рис. 5.4.

Рис. 5.3 Параметры расчёта

Рис.5.4 Параметры блока Signal Builder
Дважды щёлкнув по осциллографу (Scope) получаем следующие переходные функции по управляющему воздействию. (Tк = 30Tμ) рис.5.5.

Рис.5.5 Переходные функции САР при управляющем
воздействии
Чтобы получить переходную функцию при возмущающем воздействии необходимо в меню Simulation/Parameters конечное время установить равное Tk = 55Tμ. Получаем переходные функции, представленные на рис. 5.6.

Рис.5.6 Переходные функции САР при возмущающем
воздействии
Аналитический расчет переходных процессов.
Используя
обратное преобразование Лапласа,
находятся переходные функции САР при
возмущающем и управляющем воздействиях
для случаев, когда выходной величиной
является выходная величина внешнего
или внутреннего контура. Далее в качестве
примера произведен расчет переходных
функций при следующих заданных
параметров:
с;
;
.
Расчет переходных процессов по управляющему воздействию
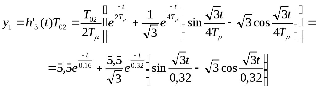
Переходная функция при единичном управляющем воздействии, когда выходной величиной является выходная величина внешнего контура, имеет следующий вид:
а) колебательное звено:

б) упрощенная САР

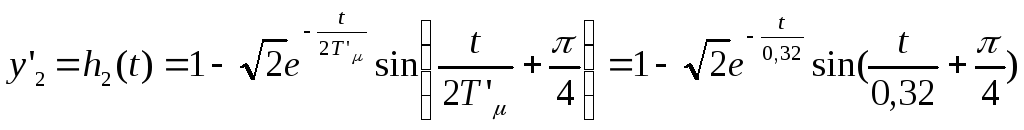
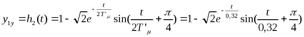
где T’μ=2Tμ=0,16
Переходная
функция, для выходной величины
– когда
внутренний
контур
а) колебательное звено:

б) упрощенная САР

![]()
По рассчитанным переходным функциям строим кривые переходного процесса (рис. 5.7, 5.8) по управляющему воздействию.

Рис. 5.7 Кривые переходного процесса при
управляющем воздействии
Расчет переходных процессов по возмущающему воздействию
Переходная функция при единичном возмущающем воздействии, когда выходной величиной является выходная величина внешнего контура, имеет вид:
а) колебательное звено

б) упрощенная САР

где T’μ=2Tμ=0,16с.
Переходная функция системы при возмущающем воздействии, когда выходной величиной является выходная величина внутреннего контура, имеет вид:
а) колебательное звено

б) упрощенная САР

где T’μ=2Tμ=0,16c.
Подставляя значения времени, строим кривые переходных процессов (рис. 5.8). Построение кривых по возмущающему воздействию начинается с момента времени 30Tμ = 2,4 c. До этого времени используем построение кривых при управляющем воздействии.

Рис. 5.8 Кривые переходного процесса при возмущающем
воздействии
Частотный анализ двухконтурной САР
ЛАЧХ и ЛФЧХ разомкнутой САР по управляющему воздействию
Расчёт логарифмических частотных характеристик осуществляется с использованием пакета MATLAB. Для этого вначале составляются передаточные функции разомкнутой САР в соответствии со структурными схемами, представленными на рис 5.1. В качестве исходных принимаются параметры объекта регулирования, заданные в Л.р. №3.
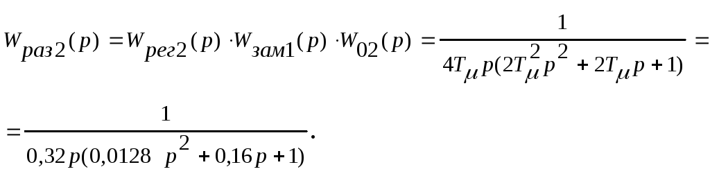
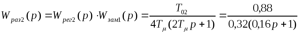
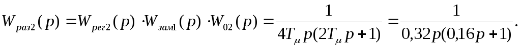
Передаточные функции разомкнутой САР для выходной величины внешнего контура, имеют следующий вид:
а) внутренний контур - колебательное звено
б)для упрощенной САР:
![]()
Порядок построения ЛАЧХ и ЛФЧХ на MATLAB:
Создадим LTI-объекты с именами w1, w2 для этого выполним:
>> w1=tf([1],[0.004096 0.0512 0.32 0])
Transfer function:
1
----------------------------------
0.004096 s^3 + 0.0512 s^2 + 0.32 s
>> w2=tf([1],[0.0512 0.32 0])
Transfer function:
1
-------------------
0.0512 s^2 + 0.32 s
Построим ЛАЧХ и ЛФЧХ (диаграмму Боде), используя команду bode(w1,w2).

Рис. 5.9 ЛАЧХ и ЛФЧХ разомкнутой САР по управляющему
воздействию.
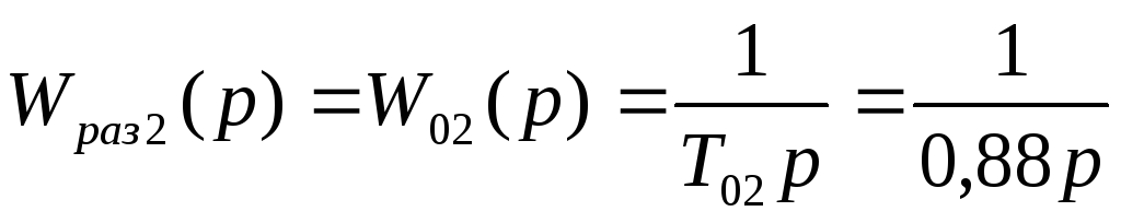
Передаточные функции разомкнутой САР для выходной величины внутреннего контура, имеют следующий вид:
а) внутренний контур - колебательное звено
![]()
б) для упрощенной САР:
![]()
1. Создадим LTI-объекты с именами w1, w2 для этого выполним:
>> w1=tf([0.88],[0.004096 0.0512 0.32])
Transfer function:
0.88
------------------------------
0.004096 s^2 + 0.0512 s + 0.32
>> w2=tf([0.88],[0.0512 0.32])
Transfer function:
0.88
---------------
0.0512 s + 0.32
>>
2. Построим ЛАЧХ и ЛФЧХ (диаграмму Боде), используя команду bode(w1,w2).

Рис. 5.10 Логарифмические частотные характеристики
(диаграммы Боде) при управляющем воздействии
ЛАЧХ и ЛФЧХ разомкнутой САР по возмущающему воздействию
Передаточные функции разомкнутой САР для выходной величины внешнего контура, имеют следующий вид:
а) внутренний контур - колебательное звено
![]()
Цель работы: Исследование и изучение динамических свойств и частотных характеристик астатических систем типа 2-1-2. Определение основных показателей качества САР с помощью программы компьютерного моделирования MATLAB.
Программы работы
Математическое моделирование
Теоретическая часть. Ознакомиться с принципом построения структурной схемы САР, определением передаточных функций, логарифмических частотных характеристик и динамических характеристик двухконтурной системы, построенной по симметричному оптимуму.
Определение параметров структурной схемы двухконтурной САР.
Создание модели двухконтурной астатической САР.
Исследование динамических свойств астатической САР с последовательной коррекцией при управляющем и возмущающем воздействиях по методу компьютерного структурного моделирования.
Аналитический расчёт переходных процессов в двухконтурных САР.
Частный анализ двухконтурной астатической САР с использованием пакета МАТLAB.
Построение асимптотических ЛАЧХ и ЛФЧХ исследуемой системы.
Расчетная и графическая часть.
Представить цель и программу работы, содержание расчетно-экспериментальной части и моделирования.
Составить структурную схему двухконтурной системы, построенной по симметричному оптимуму, определить параметры модели САР.
Представить модель двухконтурной САР, построенной по симметричному оптимуму, с фильтром на входе системы и без нее.
Представить результаты исследования по методу структурного моделирования временных характеристик статической САР при задающем и возмущающем воздействиях в виде графиков и таблиц.
Представить результаты аналитического расчета временных характеристик сравнительно с характеристиками, полученными при моделировании САР.
По результатам расчетов переходных процессов определить прямые показатели качества САР, свести их в таблицу 6.1.
Таблица 6.1. Показатели качества САР
|
САР |
Реакция на задающее воздействие |
Реакция на возмущающее воздействие |
|||||||
|
|
|
|
|
|
|
|
|
||
|
Без фильтра |
|
|
|
|
|
|
|
|
|
|
|
|
|
|
|
|
|
|
|
|
|
С фильтром |
|
|
|
|
|
|
|
|
|
|
|
|
|
|
|
|
|
|
|
|
|
C минимальным значением М |
|
|
|
|
|
|
|
|
|
|
|
|
|
|
|
|
|
|
|
|