По данным задания определить параметры моделей следующих динамических звеньев.
Пропорционального
![]()
Апериодического (инерционного или фильтра)
![]()
Апериодического звена второго порядка
![]()
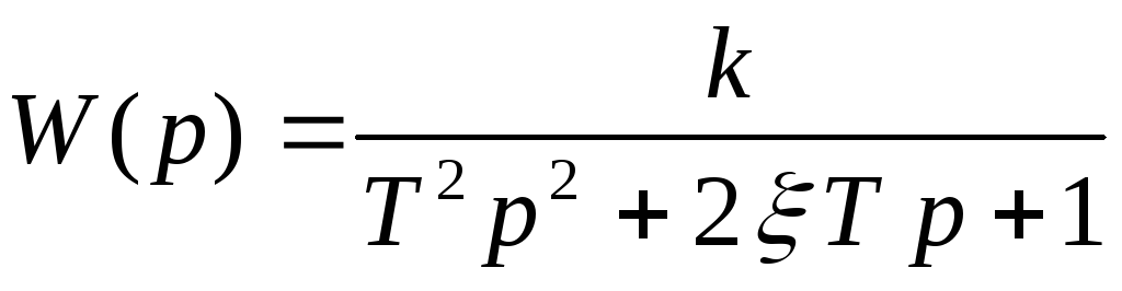
Колебательного
![]()
При заданных постоянных параметрах k и T рассматриваются три варианта колебательных звеньев с коэффициентами затухания:
![]()
![]()
![]()
Консервативного
![]()
где
коэффициент относительного затухания
звена
При заданном постоянном коэффициенте рассматриваются два варианта консервативных звеньев при постоянных времени:
T1=T,
T2=2T.
Исследование временных характеристик позиционных динамических звеньев по методу структурного моделирования
Для структурного моделирования используем систему MATLAB, основные методы работы с которой были рассмотрены ранее. Открывается программа MATLAB. В основном окне программы запускается библиотека Simulink. Создаётся новая модель. При создании моделей звеньев используются следующие блоки Simulink
Используемые блоки Simulink:
1. Генератор ступенчатого сигнала Step из раздела Sources - источники сигналов.
Назначение: формирует ступенчатый сигнал(см. Л.р. №1)

Рис. 2.1. Блок, моделирующий генератор ступенчатого сигнала и
окно редактирования параметров блока
2. Блок передаточной функции Transfer Fcn из раздела Continuous – аналоговые блоки.
Назначение: блок передаточной характеристики Transfer Fcn задает передаточную функцию в виде отношения полиномов(см. Л.р. №1)
3. Осциллограф Scope из раздела Sinks - приемники сигналов
Назначение: строит графики исследуемых сигналов в функции времени. Позволяет наблюдать за изменениями сигналов в процессе моделирования (см. основные сведения работы с пакетом Simulink).

Рис. 2.2. Блок, моделирующий передаточную функцию и окно
редактирования параметров блока
4. Мультиплексор (смеситель) Mux из раздела Signal Routing
Назначение: объединяет входные сигналы в вектор.

Рис. 2.3. Блок, объединяющий входные сигналы и окно
редактирования параметров блока
Параметры блока:
Number of Inputs - Количество входов.
Display option - Способ отображения. Выбирается из списка:
bar - Вертикальный узкий прямоугольник черного цвета.
signals - Прямоугольник с белым фоном и отображением меток входных сигналов.
none - Прямоугольник с белым фоном без отображения меток входных сигналов.
Входные сигналы блока могут быть скалярными и (или) векторными. Если среди входных сигналов есть векторы, то количество входов можно задавать как вектор с указанием числа элементов каждого вектора. Например, выражение [2 3 1] определяет три входных сигнала, первый сигнал - вектор из двух элементов, второй сигнал - вектор из трех элементов, и последний сигнал - скаляр. В том случае, если размерность входного вектора не совпадает с указанной в параметре Number of Inputs, то после начала расчета Simulink выдаст сообщение об ошибке. Размерность входного вектора можно задавать как -1 (минус один). В этом случае размерность входного вектора может быть любой. Параметр Number of Inputs можно задавать также в виде списка меток сигналов, например: Vector1, Vector2, Scalar. В этом случае метки сигналов будут отображаться рядом с соответствующими соединительными линиями.
Сигналы, подаваемые на входы блока должны быть одного типа (действительного или комплексного).
5. Генератор сигнала Signal Builder – из раздела Sources – источники сигналов
Назначение: формирует один из трёх видов сигналов
Constant – постоянный;
Step – ступенчатый;
Pulse – пульсирующее воздействие.

Рис. 2.4. Блок, моделирующий три типа сигналов и окно
редактирования параметров блока
Моделирование переходных функций позиционных динамических звеньев
Для моделирования переходных функций используются три типа блоков. Первый – Step формирует единичный импульс. Второй – Transfer Fcn задаёт передаточную функцию звена. Третий – Scope осциллограф, выводящий график переходной функции. Если сигналов несколько, как при колебательном звене, то используется ещё блок - Mux.
Переходные функции h(t) пропорционального и апериодического звеньев
Исследование временных характеристик указанных звеньев может быть проведено в отдельности для каждого звена с использованием моделей отдельных звеньев, либо одновременно с использованием общей модели, представленной на рис. 2.5. Рассматривается второй вариант. При создании модели использовали в качестве примера следующие параметры звеньев: k=5; T=0,1c; Т1=0,1с; Т2=2∙Т2=0,2с. Передаточные функции исследуемых звеньев представлены в п.3.2. Схема объединённой модели звеньев представлены на рис. 2.5.

Передаточная функция консервативного звена

Рис. 2.10. Схема модели для исследования переходной функции
колебательного звена

Рис. 2.11. График переходной функции колебательного звена
![]()
Исследуются два случая:
Т1=T;
Т2=2*T.
Схема модели консервативного звена в окне модели Simulink представлена на рис. 2.12.

Рис. 2.12. Схема модели для исследования переходной функции
консервативного звена
Окна параметров блоков Transfer Fcn подобны окну в апериодическом звене 2-го порядка
График переходной функции консервативного звена, полученной на осциллографе, представлены на рис. 2.13.

Рис. 2.13. График переходной функции консервативного звена
3.3.2 Исследование весовых функций позиционных динамических звеньев
Для получения весовых функций используются те же блоки и те же модели, что и для переходных, только генератор ступенчатого сигнала Step заменяется генератором сигналов Signal Builder. Параметры блока Transfer Fcn аналогичны параметрам для переходной функции. Щёлкнув два раза левой кнопкой мышки на Signal Builder, задаём согласно варианту сигнал.
Весовые функции ω(t) пропорционального и апериодического звеньев.
Для расчёта весовых функций указанных звеньев используется та же модель, представленная на рис. 2.5 с той лишь разницей, что вместо блока Step используется блок Signal Builder. Параметры звеньев остаются теми же.
Графики весовых функций пропорционального и апериодических звеньев, полученных на осциллографе представлены на рис. 2.15

Рис. 2.14. Окно генератора сигнала Signal Builder
a)

б)

Рис. 2.5. Схема модели для исследования пропорционального
и апериодических звеньев
Параметры блока Step сохраняются при исследовании любых звеньев. Параметры блоков Transfer Fсn и Step даны:
для пропорционального звена рис. 2.6
для апериодического звена первого порядка на рис. 2.7
для инерционного звена второго порядка на рис. 2.8
Выше было рассмотрено моделирование пропорционального и апериодических звеньев. С использованием общей модели указанных звеньев (рис. 2.5) График переходных функций в этом случае будет иметь вид кривых, представленных на рис. 2.9.
Рис. 2.6. Параметры блоков Step и Transfer Fcn
пропорционального звена

Рис. 2.7. Параметры блока Transfer Fcn инерционного звена

Рис. 2.8. Параметры блока Transfer Fcn апериодического
звена 2-го порядка

Рис. 2.9. Графики переходных функций пропорциональных
и апериодических звеньев: 1 – пропорциональное звено;
2 – апериодическое звено первого порядка;
3 - апериодическое звено второго порядка
Исследование переходных функций колебательных звеньев.
Переходные
функции колебательного звена находятся
при коэффициентах затухания
и
значениях
![]()
Передаточная функция колебательного звена
,
Схема
модели колебательных звеньев в окне
модели Simulink
представлена на рис. 2.10. с заданными
коэффициентами ξ и
![]()
Окна параметров блоков Transfer Fcn подобны окну в апериодическом звене 2-го порядка.
График переходной функции колебательного звена, полученной на осциллографе, представлен на рис. 2.11.
в)

Рис. 2.15. Весовые функции пропорционального(а) и апериодических звеньев(б,в)
Весовых функций ω(t) колебательных звеньев
Передаточная функция колебательного звена и его параметры при различных коэффициентах затухания. Данные выше в п.3.3.1
График весовой функции колебательного звена полученной на осциллографе, представлен на рис. 2.16.
Весовая функция ω(t) консервативного звена.
Передаточная функция и параметры консервативного звена, даны выше в п.3.3.2.
График весовой функции консервативного звена, полученной на осциллографе, представлен на рис. 2.17.
3.4 Исследование временных характеристик аналитическим методом
Исследование временных характеристик аналитическим методом производится в программе MathCAD. Записывая математическое выражение какой-либо функции, мы можем получить их графики.

Рис. 2.16. График весовой функции колебательного звена

Рис. 2.17. График весовой функции консервативного звена
3.4.1. Временные характеристики пропорционального и апериодического звеньев
Пропорциональное звено
![]()

Рис. 2.18. Графики переходной и весовой функций
пропорционального звена
Апериодическое (инерционное) звено
![]()


Рис. 2.19. Графики переходной и весовой функций апериодического
(инерционного) звена
Апериодическое звено второго порядка