Рис. 3.24 Комплексно-частотная функция
идеального интегрирующего звена
Интегрирующее звено с замедлением
Передаточная функция
![]()
![]()
Создаём tf-объект для данной передаточной функции
w=tf([50],[0.02 1 0])
Transfer function:
50
-----------
0.02 s^2 + s
Построим переходную функцию командой step(w).
Построим импульсную переходную функцию командой impulse(w).

Рис. 3.25 Переходная h(t) и импульсно-переходная функции
интегрирующего звена с замедлением
Логарифмическую частотную характеристику (диаграмму Боде) получим, используя команду bode(w)

Рис. 3.26 Логарифмические частотные характеристики
интегрирующего звена с замедлением
Определим комплексно-частотную функцию (частотный годограф Найквиста), выполнив команду nyquist(w)

Рис. 3.27 Комплексно-частотная функция интегрирующего
звена с замедлением
Пропорционально-интегральное (ПИ) звено
Передаточная функция
![]()
![]()
Создаём tf-объект для данной передаточной функции
w=tf([0.04 1],[0.02 0])
Transfer function:
0.04 s + 1
---------
0.02s
Построим переходную функцию командой step(w).
Построим импульсную переходную функцию командой impulse(w).

Рис. 3.28 Переходная h(t) и импульсно-переходная функция
пропорционально-интегрального звена
Логарифмическую частотную характеристику (диаграмму Боде) получим, используя команду bode(w)
Определим комплексно-частотную функцию (частотный годограф Найквиста), выполнив команду nyquist(w)

Рис. 3.29 Логарифмические частотные характеристики, комплексно-частотная функция пропорционально-интегрального звена
Пропорционально-дифференциальное (ПД) звено
Передаточная функция
![]()
![]()
Рассматриваются два варианта ПД-звена:
а) дифференцирующего типа
![]()
б) интегрирующего типа
![]()
Построим переходные функции командой step(w1,w2).
Построим импульсную переходную функцию командой impulse(w1,w2).

Рис. 3.30 Переходная h(t) и импульсно-переходная функция
пропорционально-дифференциального звена
Логарифмическую частотную характеристику (диаграмму Боде) получим, используя команду bode(w1,w2)
Определим комплексно-частотную функцию (частотный годограф Найквиста), выполнив команду nyquist(w1,w2)

Рис. 3.31 Логарифмические частотные характеристики и комплексно-частотная функция пропорционально - дифференциального звена
Реальное дифференцирующее (Д) звено
Передаточная функция
![]()
![]()
Создаём tf-объект для передаточной функции консервативного звена (w)
w=tf([0.04 0],[0.02 1])
Transfer function:
0.04s
---------
0.02s + 1
Построим переходную функцию командой step(w).
Построим импульсную переходную функцию командой impulse(w).
Логарифмическую частотную характеристику (диаграмму Боде) получим, используя команду bode(w).
Определим комплексно-частотную функцию (частотный годограф Найквиста), выполнив команду nyquist(w).

Рис. 3.32 Переходная h(t) и импульсно-переходная функция реального дифференцирующего звена

Рис. 3.33 Логарифмические частотные характеристики и комплексно-частотная функция реального дифференцирующего звена
3.6 Контрольные вопросы
Какие характеристики определяют свойства динамических звеньев?
Сравните временные характеристики типовых динамических звеньев.
Объясните влияние относительного коэффициента затухания колебательного звена на характер переходного процесса.
Объясните, на что влияет увеличение передаточного коэффициента динамического звена?
Объясните, каким образом можно получить передаточную функцию отдельного динамического звена.
На примере инерционного звена первого порядка показать, каким образом можно получить выражение переходной функции h(t) с помощью обратного преобразования Лапласа.
Объясните сущность амплитудной и фазовой частотных характеристик звеньев САУ.
Сравнить между собой частотные характеристики интегрирующих, дифференцирующих звеньев.
Представьте и объясните логарифмические частотные характеристики позиционных динамических звеньев.
Какая связь существует между передаточной функцией и амплитудно-фазовой характеристикой (годографом Найквиста) динамического звена?
Как определяется передаточный коэффициент динамического звена?
Передаточные функции звеньев и их значение.
Влияние интегрирующих звеньев на АФХ САУ.
Представить логарифмические характеристики комбинированных интегрирующих и дифференцирующих звеньев.
Объяснить, каким образом можно определить параметры динамического звена (Т и К), по полученным путем моделирования логарифмическим частотным характеристикам?
Целью данного раздела лабораторного практикума является усвоение методов расчёта и исследования динамических систем автоматического регулирования с последовательной коррекцией. В качестве основного метода исследования использован метод компьютерного моделирования с использованием пакета MATLAB-Simulink.
В данном разделе даны краткие теоретические сведения по построению, расчёту и исследованию систем подчинённого регулирования с последовательной коррекцией. В качестве объекта исследования рассматриваются одноконтурная и двухконтурные статическая и астатическая САР с последовательной коррекцией, представленные в трех лабораторных работах.
Выполнение лабораторного практикума по ТАУ совмещено с выполнением курсовой работы по курсу [6].Это позволяет более широко рассмотреть вопросы исследования одноконтурных и двухконтурных систем в лабораторном практикуме, а также выполнить экспериментальную часть курсовой работы посредством компьютерного моделирования. С этой целью параметры объекта исследования даются в задании на курсовую работу. Но в тоже время эти параметры могут быть заданы произвольно преподавателем.
При исследовании систем регулирования производится расчёт прямых и косвенных показателей качества. Для их получения используются временные характеристики систем, полученные методом структурного компьютерного моделирования, и аналитический расчёт переходных процессов. Косвенные показатели качества представляются по частотным характеристикам систем.
Основным методом получения временных и частотных характеристик являются методы, основанные на использовании MATLAB-Simulink. Даны основные положения по работе с указанным пакетом.
В настоящее время к автоматическим системам управления, например, в автоматизированном электроприводе, предъявляются требования высокой точности регулирования и высокого быстродействия. Поэтому преимущественное применение нашёл принцип последовательной коррекции или так называемый принцип подчинённого регулирования координат. Сущность его заключается в следующем.
Объект
регулирования представляется в виде
последовательно соединённых звеньев
, выходными параметрами которых являются
регулируемые координаты. Для управления
каждой из этих координат применяется
отдельный регулятор, образующий с
объектом контур, замкнутый соответствующей
обратной связью. Регуляторы соединяются
последовательно так, что выход одного
является входом другого, т.е. каждый
внутренний контур регулирования
подчинён внешнему. В качестве примера
на рис.4.1 представлена двухконтурная
схема подчинённого регулирования,
включающая объект регулирования с
тремя постоянными времени
,
из которых наименьшей является постоянная
времени
.

Рис.4.1 Двухконтурная система подчинённого регулирования с последовательной коррекцией
Звено
с этой постоянной времени
является фильтром, обеспечивающим
необходимую помехозащищённость системы,
а следовательно, её работоспособность.
Регулятор
каждого контура регулирует одну выходную
координату контура и компенсирует одну
или две большие постоянные времени
объекта регулирования. На вход каждого
регулятора подаются два сигнала: сигнал,
пропорциональный заданному и
действительному значению регулируемой
величины. Передаточные функции
регуляторов выбираются таким образом,
чтобы обеспечить оптимальность контура
регулирования. Такую коррекцию называют
последовательной. При включении
регулятора последовательно со звеном
с большой постоянной времени, последняя
компенсируется и вводится взамен её
существенно меньшая постоянная времени
интегрирующего звена, что обеспечивает
повышение точности регулирования и
быстродействия контура. Наименьшая
постоянная времени объекта регулирования
при этом не компенсируется.
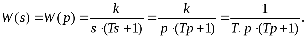
Следовательно, передаточная функция разомкнутого контура приобретает вид [6]
.
(4.1)
Для замкнутого контура
,
(4.2)
где
-
постоянная времени интегрирования
контура.
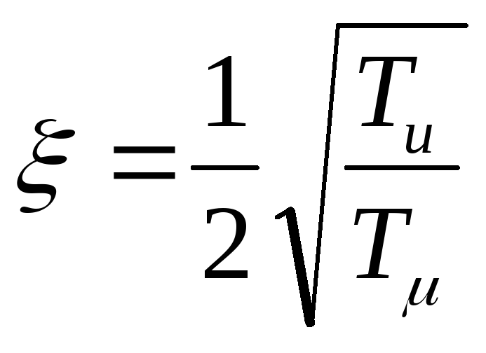
Таким образом, внутренний замкнутый контур будет представлять из себя колебательное звено.
Собственная частота контура будет равна
.
(4.3)
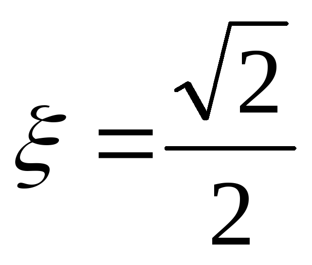
Коэффициент демпфирования
.
(4.4)
Следовательно, характер переходного процесса определяется соотношением постоянных времени
.
Если
принять
,
то получим коэффициент демпфирования
,
что
обеспечивает оптимальный переходный
процесс системы второго порядка с
перерегулированием
,
.
Такую настройку называют оптимальной
по техническому или модульному оптимуму.
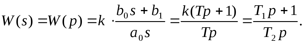
Передаточные функции внутреннего контура, оптимизированного по модульному оптимуму, будут иметь вид:
(4.5)
(4.6)