Материал: РЕШЕННОЕ ЦТ по Биохимии

Внимание! Если размещение файла нарушает Ваши авторские права, то обязательно сообщите нам

Г. Должны поступать в организм с пищей

 

Д. Синтезируются из других соединений

 

7. Для реакции трансаминирования аминокислот необходим кофермент:

Г

А. FAD

 

Б. Биотин

 

В. ТДФ

 

Г. Пиридоксальфосфат

 

Д. NAD+

 

8. К нарушению трансаминирования приведет недостаток витамина:

Г

А. Рибофлавина

 

Б. Никотинамида

 

В. Биотина

 

Г. Пиридоксина

 

Д. Тиамина

 

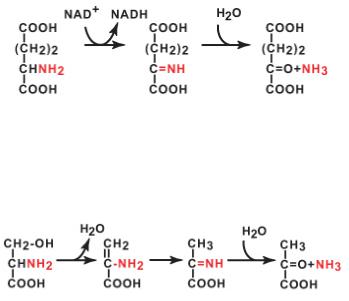
9. прямому окислительному дезаминированию подвергается

В

А. Аланин

 

Б. Фенилаланин

 

В. Глутамат

 

Г. Треонин

 

Д. Глицин

 

10. в прямом окислительном дезаминировании принимает участие:

Г

А. Серинтреониндегидратаза

 

Б. Карбамоилфосфатсинтетаза

 

В. Глутаматдекарбоксилаза

 

Г. Глутаматдегидрогеназа

 

Д. Глутаминсинтетаза

 

11. Для прямого окислительного дезаминирования необходим

В

кофермент:

 

А. FAD

 

Б. Пиридоксальфосфат

 

В. NAD+

 

Г. Тиаминдифосфат

 

Д. Биотин

 

12. Данную реакцию катализирует фермент:

Б

А. Сериндегидратаза

 

Б. Глутаматдегидрогеназа

 

В. Треониндегидратаза

 

Г. Гистидаза

 

Д. Аланинаминотрансфераза

 

13. Приведенную реакцию катализирует фермент:

Б

А. Глутаматдегидрогеназа

 

Б. Сериндегидратаза

 

В. Треониндегидратаза

 

Г. Гистидаза

 

Д. Аспартатаминотрансфераза

 

 

 

14. Приведенную реакцию катализирует фермент:

Г

А. Сериндегидратаза

 

Б. Глутаматдегидрогеназа

 

В. Треониндегидратаза

 

Г. Гистидаза

 

Д. Аланинаминотрансфераза

 

15. При ацидозе в почках активируется фермент:

Б

А. Аргиназа

 

Б. Глутаминаза

 

В. Карбамоилфосфатсинтетаза

 

Г. Глутаминсинтетаза

 

Д. Глутаматдегидрогеназа

 

16. Основное количество аммиака в почках образуется:

Д

А. При трансаминированиии аминокислот

 

Б. Из солей аммония

 

В. При катаболизме нуклеотидов

 

Г. При инактивации биогенных аминов

 

Д. Из глутамина

 

17. Главный путь обезвреживания аммиака в печени:

Б

А. Синтез аспарагина

 

Б. Синтез карбамоилфосфата

 

В. Восстановительное аминирование α-кетоглутарата

 

Г. Образование солей аммония

 

Д. Образование аланина из пирувата

 

18. Основная реакция обезвреживания аммиака в печени:

В

А. Аммиак + Глутамат + АТФ → Глутамин + АДФ + Н3РО4

 

Б. α-Кетоглутарат + Аммиак + NADН → Глутамат + NAD+ + Н2О

 

В. Аммиак + 2АТФ + СО2 → Карбамоилфосфат +2АДФ + H3PO4

 

Г. Аммиак → Хлорид аммония

 

Д. Аммиак + Аспартат → Аспарагин

 

19. Азот аминокислот в составе аланина транспортируется, в основном,

Г

в:

 

А. Кишечник

 

Б. Почки

 

В. Мозг

 

Г. Печень

 

Д. Мышцы

 

20. Азот аминокислот транспортируется в кровь из печени в составе:

Г

А. Аланина

 

Б. Глутамата

 

В. Аспартата

 

Г. Мочевины

 

Д. Аммонийных солей

 

21. Возврат фумарата в орнитиновый цикл происходит с помощью

В

реакций:

 

А. Фумарат → Малат → Оксалоацетат → Глутамат

 

Б. Фумарат → Сукцинат → α-кетоглутарат → Глутамат

 

В. Фумарат → Малат → Оксалоацетат → Аспартат

 

Г. Фумарат → Малат → оксалоацетат → пируват

 

Д. Фумарат → аргинин → мочевина

 

22. Наследственное заболевание цитруллинемия обусловлена:

Д

А. Снижением скорости синтеза аргинина

 

Б. Повышением концентрации аммиака в крови

 

В. Повышением концентрации цитруллина в крови

 

Г. Нарушением реакции трансаминирования аминокислот

 

Д. Дефектом аргининосукцинатсинтетазы

 

23. при дефекте фермента аргининосукцинатлиазы в моче повышается

Г

содержание:

 

А. Цитруллина

 

Б. Аргинина

 

В. Глутамина

 

Г. Аргининосукцината

 

Д. Карбамоилфосфата

 

24. При наследственных гипераммониемиях в крови уменьшается

Г

концентрация:

 

А. Аспартата

 

Б. Аланина

 

В. Аммиака

 

Г. Мочевины

 

Д. Глутамина

 

25. Предшественником серина является:

Д

А. Фумарат

 

Б. Ацетил-КоА

 

В. α-кетоглутарат

 

Г. Оксалоацетат

 

Д. 3-фосфоглицерат

 

26. Обмен глицина связан с использованием:

В

А. Тиамина

 

Б. биотина

 

В. фолиевой кислоты

 

Г. NAD+

 

Д. пиридоксина

 

27. Для регенерации метионина необходим:

Б

А. метилен-Н4-фолат

 

Б. метил-Н4-фолат

 

В. формил-Н4-фолат

 

Г. Н4-фолат

 

Д. метенил-Н4-фолат

 

28. Выберите недостающий в реакции компонент:

В

метионин + ? → S-аденозилметионин

 

А. АДФ

 

Б. цАМФ

 

В. АТФ

 

Г. NAD+

 

Д. FAD

 

29. в норме при катаболизме фенилаланина образуется:

Б

А. три

 

Б. тир

 

В. фенилпируват

 

Г. тре

 

Д. фениллактат

 

30. катаболизм фен и тир наиболее активно идет в:

А

А. печени

 

Б. надпочечниках

 

В. эпителии

 

Г. щитовидной железе

 

Д. нервной ткани

 

31. В реакции дезаминирования гистидина участвует фермент:

В

А. трансаминаза

 

Б. декарбоксилаза

 

В. гистидаза

 

Г. трансметилаза

 

Д. дегидратаза

 

32. для синтеза гистамина необходима аминокислота:

В

А. сер

 

Б. фен

 

В. гис

 

Г. тир

 

Д. три

 

33. ГАМК синтезируется из аминокислоты:

Б

А. сер

 

Б. глу

 

В. фен

 

Г. тир

 

Д. ала

 

34. Аминокислотой - предшественником серотонина является:

Г

А. ала

 

Б. тир

 

В. сер

 

Г. три

 

Д. глу

 

35. Для активации метионина необходим:

В

А. NAD+

 

Б. цАМФ

 

В. АТФ

 

Г. ГТФ

 

Д. FAD

 

36. Для превращения гистидина в гистамин необходим фермент:

Б

А. трансаминаза

 

Б. гистидиндекарбоксилаза

 

В. трансметилаза

 

Г. гистидаза

 

Д. дегидрогеназа

 

37. Пищевая ценность белка зависит от:

Г,Д

А. Молекулярной массы

 

Б. Наличия всех заменимых аминокислот

 

В. Порядка чередования аминокислот

 

Г. Наличия всех незаменимых аминокислот

 

Д. Возможности расщепления в желудочно-кишечном тракте

 

38. Соляная кислота в желудке выполняет следующие функции:

Б, В, Г, Д

А. Расщепляет специфические пептидные связи в белках пищи

 

Б. Вызывает денатурацию белков пищи

 

В. Активирует гидролиз пептидных связей в пепсиногене

 

Г. Создает оптимум рН желудочного сока

 

Д. Оказывает бактерицидное действие

 

39. К группе эндопептидаз относятся:

А, В, Д

А. Пепсин

 

Б. Аминопептидаза

 

В. Трипсин

 

Г. Карбоксипептидаза

 

Д. Химотрипсин

 

40. Клетками поджелудочной железы секретируются протеазы:

А, Б, В

А. Трипсиноген

 

Б. Химотрипсиноген

 

В. Прокарбоксипептидаза

 

Г. Аминопептидаза

 

Д. Дипептидаза

 

41. В ходе активации пепсиногена происходит:

А, Б, В

А. Изменение конформации фермента

 

Б. Гидролиз специфических пептидных связей в пепсиногене

 

В. Отщепление пептида от N-конца пепсиногена

 

Г. Присоединение HCl к аллостерическому центру профермента

 

Д. Изменение pH желудочного сока

 

42. пары "активатор - активируемый фермент" составлены правильно:

Б, В, Д

А. Трипсин - аминопептидаза

 

Б. Трипсин - химотрипсиноген

 

В. HCl - пепсиноген

 

Г. Химотрипсин - эластаза

 

Д. Энтеропептидаза – трипсиноген

 

43. Белки секреторных клеток защищены от действия активных

А, Б, В

протеаз:

 

А. Тем, что протеазы образуются в виде проферментов

 

Б. Наличием слизи

 

В. Присутствием на мембранах сложных белков - гликопротеинов

 

Г. Присутствием в секреторной клетке активаторов протеаз

 

Д. Отсутствием специфических ингибиторов протеаз

 

44. Транспорт аминокислот через мембрану клеток слизистой

В, Г, Д

кишечника происходит:

 

А. Простой диффузией

 

Б. Облегченной диффузией

 

В. Активным транспортом

 

Г. С затратой энергии АТФ

 

Д. С помощью белка-переносчика

 

45. к белковой недостаточности приведет отсутствие в пище

В, Г, Д

аминокислот:

 

А. Ала

 

Б. Глу

 

В. Фен

 

Г. Лиз