Материал: Реакция доходности корпоративных облигаций на объявления о дивидендных выплатах

Внимание! Если размещение файла нарушает Ваши авторские права, то обязательно сообщите нам

Подводя итог, можно заключить, что в большей части работ, посвященных рассматриваемой проблеме, благоприятная или неблагоприятная информационная наполненность новости связывается с так называемым сюрпризом прибыли - отклонением реального значения финансового результата от прогнозируемого. Предполагается, что если данный показатель больше нуля, то и реакция рынка будет положительной. Также исследователей весьма интересует феномен дрифта, его продолжительность и направленность.

Исследования о влиянии объявлений на рынок облигаций

Вновь количество работ, описывающих реакцию рынка облигаций, несоизмеримо меньше объема исследований рынка акций.

В своей статье 1993 г. Datta и Dhillon приводили наблюдения для обоих рынков, опираясь на гипотезы, сформулированные в исследованиях влияния объявлений о дивидендных выплатах. Они отделили объявления о финансовых результатах, предшествующие и последующие за объявлениями о дивидендных выплатах, имея в виду замечание Kane, Lee и Marcus (1984) - инвесторы доверяют в большей степени неожиданному понижению или повышению дивидендов, если прибыль также оказывается ниже или выше ожидаемой. Финальная выборка состояла всего из 250 объявлений 135 различных фирм, представленных на Нью-Йоркской и Американской фондовых биржах, с октября 1984 г. по август 1990 г. (119 повышений и 131 понижение; 9 объявлениям о повышении предшествовало фактическое увеличение дивидендов). Чтобы идентифицировать неожиданную компоненту изменения прибыли, авторы использовали базу IBES (Система оценки институциональных брокеров), которая предоставляет прогнозные значения прибыли от более чем 2500 аналитиков для 3400 акций, торгующихся на ведущих американских и канадских биржах. Стандартизированный сюрприз прибыли (SUE) для фирмы i в квартале t определялся следующим образом:

,

где фактическое значение квартальной прибыли, прогнозное, , стандартное отклонение аналитического прогноза.

Был проведен событийный анализ для окна события, составившего 31 день. В случае увеличения прибыли избыточная доходность облигаций в день объявления принимала значение 1.00% (z-статистика 9.38, значима на 1%-ном уровне). В случае снижения прибыли избыточная доходность оказалась равна - 1.70% (z-статистика 6.85, также значима на 1% -ном уровне). Результаты не менялись, если за новостями следовали или предшествовали им объявления о дивидендных выплатах, что доказывает преобладание значения гипотезы об информационной наполненности новостей для инвесторов.

Также Datta и Dhillon провели кросс-секционный анализ, чтобы оценить полезность новой информации для держателей облигации. Авторы построили регрессию:

,

где стандартизированная избыточная доходность неконвертируемых облигаций в день объявления;

избыточная доходность акций в день объявления;

доходность взвешенного по цене рыночного индекса в день объявления;

принимает значение 1, если до объявления произошло увеличение дивидендных выплат, и 0 в ином случае;

дамми-переменная для рейтинга облигации (1, если рейтинг равен ВВ и ниже, 0 в ином случае).

Результаты подтвердили корректность событийного анализа: сюрприз прибыли оказывает значительное влияние на избыточную доходность в день облигации. Более того, обнаружилась значительная кросс-секционная взаимосвязь между аномальными доходностями облигаций и акций в день объявления.

В работе 2009 г. Easton, Monahan и Vasvari оценивают объем торгов облигациями в период появления объявления о прибыли, а также реакцию доходности облигаций на новости. Основываясь на модели Black и Scholes, Merton, авторы проверяют в числе прочих следующие гипотезы: 1) плохие новости более релевантны; 2) реакция доходности спекулятивных облигаций более значительна (риск дефолта выше, а также выше вероятность неисполнения акционерами опциона-колл на активы фирмы и последующих убытков держателей облигаций). Рассматриваемый период: 1 января 1994 г. - 31 декабря 2006 г.

Для каждого квартального объявления о прибыли из выборки определялось событийное окно из 61 торгового дня (30 дней до и после даты объявления). Каждому дню, составляющему событийное окно, приписывалась переменная , принимающая значение 1, если соответствующая облигация i торговалась в день t, и 0 в ином случае. Объединив все полученные событийные окна для каждого дня t , авторы сформировали меру относительного объема торгов облигациями в день t:

,

где Q обозначает количество соответствующих кварталов, а I - количество облигационных выпусков.

Если торги облигациями не испытывают никакого влияния в период появления новостей о прибыли, объемы торгов будут равномерно распределены в течение 61-дневного окна, а  будет равным примерно 1.64% (1/61). В соответствии с выдвигаемой гипотезой,  демонстрировал повышение до 2.05% в дни непосредственно после объявления: после новостей об убытках 2.35% в день +2, после новостей о прибыли 1.95%. Гораздо больший рост объема торгов демонстрировали спекулятивные облигации.

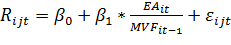
Для оценивания реакции доходностей облигации, авторы составили регрессию:

,

где  - доходность облигации j, выпущенной фирмой i;

мера сюрприза прибыли (либо сезонное изменение прибыли, либо разница между фактическим и прогнозируемым значением);

прокси для рыночной стоимости фирмы (сумма акционерной стоимости и долга).

И для краткосрочного, и для долгосрочного (равного году) периода результаты соответствовали друг другу: существует статистически значимая положительная взаимосвязь между доходностью облигаций и неожиданной прибылью, и она больше в случае, если: 1) неожиданная прибыль отрицательна; 2) облигации компании, сделавшей объявление, имеют спекулятивный рейтинг.

Изучению асимметрии реакции доходностей облигации на благоприятные и неблагоприятные новости (в сравнении с акциями) посвящена работа DeFond, Zhang (2009). Авторы утверждают, что держатели облигаций имеют ограниченные требования на активы фирмы, что устанавливает верхний предел для потенциальной выгоды, которую они могли бы получить (в отличие от акционеров). Следовательно, цены облигации более чувствительны к уменьшению стоимости фирмы, чем к ее увеличению. Поэтому выдвинутая гипотеза заключалась в том, что цены облигаций реагируют в большей степени на новости о снижении прибыли, сигнализирующие о неожиданном уменьшении стоимости фирмы и увеличивающие риск дефолта.

Также упомянутый верхний предел для выгоды держателей облигаций оказывает влияние, по мнению DeFond и Zhang, на временную определенность их реакции. Причина заключается в консервативности держателей облигаций, ведущей к тенденции в большей степени воспринимать негативную информацию до момента ее подтверждения. То есть цены постепенно воплощают в себе информацию, содержавшуюся в объявлениях о прибыли, до их официальной публикации. Таким образом, второе предположение заключается в том, что цены облигаций в большей степени отражают негативную информацию в период до публикации объявления.

Изучаемая выборка составила 11 641 квартальное объявление 710 отдельных эмитентов облигаций за период 1994 - 2006 гг. (из базы Datastream). Рассматривались окна событий: (-1, +1), (-10, +1), (-20, +1), (-30, +1). Оценивалась следующая модель:

Аномальная доходность (акций/облигаций)= ,

где аномальная доходность облигаций - кумулятивная аномальная доходность за четыре рассматриваемых окна событий, доходность облигаций каждой фирмы взвешивалась по их рыночной стоимости, чтобы сформировать агрегированную доходность;

FE - разница между фактическим значением прибыли на акцию и прогнозируемым значением прибыли на акцию, разделенная на рыночную стоимость активов на акцию в конце отчетного квартала;

Good News - дамми-переменная, принимающая значение 1, если фактическая прибыль превышала прогнозную, и 0 в ином случае;

Bad News - дамми-переменная, принимающая значение 1, если прогнозная прибыль превышала фактическую, и 0 в ином случае.

Аномальную доходность облигаций (взвешенную по их рыночной стоимости и затем агрегированную в одно наблюдение для каждой фирмы) DeFond и Zhang оценивали, используя остатки пятифакторной модели, предложенной Fama и French (1993):

,

где безрисковая доходность (доходность 1-месячной казначейской облигации);

 - доходность 30-летней казначейской облигации за вычетом доходности 1-месячной казначейской облигации;

взвешенная по стоимости доходность всех корпоративных облигаций в базе Datastream со сроком погашения больше 10 лет за вычетом доходности 30-летней казначейской облигации;

доходность на рынке акций за вычетом доходности 1-месячной казначейской облигации;

фактор размера Фамы и Френча;

фактор отношения рыночной к балансовой стоимости Фамы и Френча.

Результаты показали, что цены облигаций значительно реагировали на плохие и хорошие новости в течение трехдневного окна событий (-1,+1), но реакция в обоих случаях была практически одинаковой. Для всех других окон событий была справедлива асимметрия реакции: плохие новости влияли гораздо в большей степени, чем хорошие. Таким образом, подтверждается предположение о том, что значительная часть негативной информации воплощается в ценах до даты объявления (реакция на неблагоприятные новости в период (-30,+1) превышала реакцию для периода (-1,+1) более чем в три раза; реакция на благоприятные новости задолго до даты объявления оказалась незначимой). Доходность акций в большей степени зависела, наоборот, от хороших новостей, к тому же, их цены отражали в меньшей степени информацию, доступную инвесторам до даты объявления.

Также выяснилось, что спекулятивные облигации гораздо более чувствительны к сюрпризам прибыли, и доказанная асимметрия реакции на плохие и хорошие новости проявляется в их случае в большей степени. Облигации инвестиционного класса были безразличны к благоприятным новостям, но значимо реагировали на неблагоприятные.

В статье 2014 г. те же DeFond и Zhang добавили к предыдущим выводам наблюдение для периода (+2, +20), которое заключается в том, что 30% реакции на информацию, содержавшуюся в плохих новостях, до и на дату объявления демонстрирует разворот после него. Данный аспект доказывает избыточную реакцию участников рынка на ожидаемые и фактические неблагоприятные новости; для сравнения, в случае с акциями вновь подтверждается хорошо изученный феномен дрифта доходностей.

Таким образом, в заключение можно сказать, что, несмотря на небольшое количество доступных исследований, посвященных реакции рынка облигаций, все они основаны на гипотезе информационного содержания объявлений о прибыли (как сигнала о стоимости фирмы), соответственно, возможных противоречий, как в случае рассмотрения влияния дивидендных выплат, быть не должно: реакция на благоприятные новости (увеличение прибыли) положительна, реакция на неблагоприятные новости (уменьшение прибыли) отрицательна. Также наблюдается асимметрия реакции на хорошие и плохие новости (последние представляются более значимыми), а также более заметная чувствительность спекулятивных облигаций к новой информации в связи с их большей подверженностью риску дефолта.

ГЛАВА 2. МЕТОДОЛОГИЯ

В значительной части работ, что очевидно из предыдущей главы, для выявления реакции рынка облигаций, как и рынка акций, на событие используется метод событийного анализа. Основа метода - допущение информационной эффективности рынка, в рамках которого цены всегда полностью отображают доступную информацию. Реакцию оценивают через изменение вероятностного распределения цены акции или облигации в период, имеющий отношение к событию. Как следствие, осуществляется статистическая проверка гипотезы о значимом отличии от нуля математического ожидания доходности ценной бумаги.

С помощью событийного анализа можно выяснить степень и направление реакции рынка на различные внешние события или решения, принимаемые компанией, их информационную значимость. К ним относятся:

решение о расширении деятельности компании через процессы слияния и поглощения, реструктуризации фирмы;

объявления о финансовых результатах компании (прибыль, чистый денежный поток);

решение о привлечении заемного или собственного капитала, изменениях в дивидендной политике;

изменения в управленческой структуре фирмы (смена лиц на ключевых позициях в топ-менеджменте компании);

решение о проведении первого публичного размещения (IPO), выходе на иностранные биржи;

объявления о результатах научно-исследовательских разработок компании, выпуска нового продукта.

Важно, чтобы событие обладало временной определенностью, было известно всем участникам рынка и произошло на самом деле.

Традиционно считается, что первое исследование такого рода было проведено еще в 1933 г. J. Dolley, наблюдавшего за реакцией рыночной капитализации фирмы на объявления о дроблении акций. Им рассматривалась выборка из 95 событий с 1921 по 1931 гг. Выяснилось, что в 60% случаев реакция цены на новость была положительной. Фундаментальные работы, ставшие основой для современных исследований, относятся к 1960-1970ым гг. Немалый вклад в разработку методологии внес Fama и др. (1969), также изучавший информационное влияние сообщений о дроблении акций определенной компании. Необходимые процедуры детально описывали Ball и Brown (1968), Conrad (1989), MacKinlay (1997), Kothari и Warner (2007) и др. В своей работе 1989 г. Peterson предложил обзор и систематизацию существующих подходов для осуществления исследования методом событийного анализа. MacKinlay же составил подробный образцовый алгоритм, на котором основываются такие исследования.

Тем не менее, для проведения событийного анализа в отношении облигаций необходим ряд корректировок. Первыми подходящую методологию предложили Handjinicolaou и Kalay в уже упоминавшейся работе 1984 г., на которую так или иначе ссылались все их последователи.

Вначале необходимо точно идентифицировать даты событий: даты объявления о выплате дивидендов. В качестве источника объявлений о выплате дивидендов использовалась база Thomson Reuters, где фиксировалась announcement date (объявление решения Совета директоров о рекомендуемой величине дивиденда на акцию и о дате его выплаты). В составе дивидендных выплат рассматривались исключительно денежные выплаты, так как иные формы расчетов с собственниками могут нести в себе другое информационное содержание.