Материал: Разработка технических норм работы железной дороги и ее регионов

Внимание! Если размещение файла нарушает Ваши авторские права, то обязательно сообщите нам

Рабочий парк вагонов - это количество вагонов, которое находится на дороге или регионе в среднем в течение суток, поскольку число вагонов на них непостоянно. Рабочий парк вагонов можно рассчитать по величине оборота вагона и «работе».


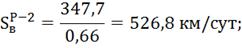
Среднесуточный пробег вагона рабочего парка - расстояние в км, проходимое вагоном в среднем за сутки. Среднесуточный пробег вагона характеризует скорость его продвижения (км/сут) и рассчитывается по формуле:


Производительность вагона рабочего парка

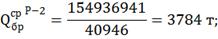
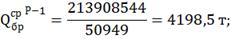
Использование вагонов во времени и по грузоподъемности оценивают показателем «производительность вагона», т.е. количеством эксплуатационных т-км нетто, приходящихся на один вагон рабочего парка за сутки. Производительность вагона определяется по формуле:


где  - динамическая нагрузка вагона рабочего парка.

Динамическая нагрузка - это средняя загрузка вагонов с учетом расстояния пробега в груженом состоянии, т.е. средняя загрузка вагона на всем пути его следования. Нагрузка вагона характеризует степень использования его грузоподъемности и рассчитывается по формуле:


где - тонно-км нетто, которые определяются по формуле:


где  - статическая нагрузка вагона, т. (из задания таблица 2)

Статическая - средняя загрузка вагона при отправлении со станции погрузки. Она характеризует качество использования подъемной силы вагона при его загрузке и выражается числом тонн груза, приходящимся в среднем на один вагон.

Произведем расчеты:

Тогда производительность вагона будет равна:



Таблица 3.4

Показатели использования вагонов

Показатели

Р-1

Р-2

Дорога

Оборот вагона рабочего парка, сут.

0,6

0,47

1,96

Работа, ваг.

8795

5846

9229

Рабочий парк, ваг/сут.

7036

3859

11260

Среднесуточный пробег, км/сут.

429,1

526,8

448,7

Производительность, ;

2051,1

28078,4

22444


вагонопоток локомотив скорость простой пробег

4. Эксплуатируемый парк локомотивов и показатели использования локомотивов

Эксплуатируемый парк локомотивов для каждого основного депо определяется из выражения


где  - число пар грузовых поездов на участке обращения локомотивов. Принимается по количеству нечетных поездов в груженном направлении ;

 - коэффициент потребности локомотивов на пару поездов, который определяется зависимостью.


где  - число часов в сутках, ч;

 - оборот локомотива на участке обращения, ч.

Оборотом локомотива называется время, затрачиваемое локомотивом на полный цикл работы, связанной с обслуживанием пары поездов. Оборот локомотива определяется по формуле:


где  - длина участка обращения локомотива, км;

,, - время нахождения локомотива на станциях смены бригад, оборотного и основного депо, ч.

Показатели использования локомотивов рассчитываются для двух регионов.

Ускорение оборота локомотива позволяет одним и тем же парком локомотивов выполнить больше перевозочной работы, сократить расход топлива, электроэнергии, уменьшить себестоимость перевозок.

Зная оборот локомотива, рассчитаем коэффициент потребности локомотивов на пару поездов и эксплуатируемый парк локомотивов:

Эксплуатируемый парк локомотивов для дороги равен сумме локомотивов, приписанных к основным депо дороги:


Среднесуточный пробег локомотива - это количество километров пробега, приходящихся на один локомотив эксплуатируемого парка в среднем за сутки. Среднесуточный пробег локомотива рассчитывается по формуле:


Производительность локомотива

Суточная производительность локомотива показывает количество тонно-километров брутто, приходящихся в среднем за сутки на один локомотив эксплуатируемого парка. Определяется для грузового движения по формуле:


где  - средний вес поезда брутто,т, который определяется зависимостью


где  - тонно-км брутто, определяемые по формуле


где ,  - вес вагона брутто и тара, т.


Выполним необходимые расчеты и определим производительность локомотива:

Результаты расчетов сводятся в таблицу 4.1.

Таблица 4.1

Показатели использования локомотивов

Показатели

Р-1

Р-2

Размеры движения, пар поездов

81

67

Коэффициент потребности локомотивов на пару поездов

1,18

1,3

Потребность локомотивов по коэффициенту

96

88

Среднесуточный пробег локомотивов, км/сут.

564,4

533,8

Суточная производительность локомотива,

2300615

1961067,2


5. Расчет экономии вагонного парка

На регионах и дороге экономия вагонного парка определяется за счет ускорения оборота вагона по формуле:


где  - планируемый(расчетный)оборот вагона(формула 3.4), сут;

 - фактически выполненный на подразделении оборот вагона (берется 90% от Qв), сут.

За счет лучшего использования вместимости и грузоподъемности подвижного состава экономия вагонного парка определяется по формуле:


где  - фактическая статическая нагрузка вагона (берется 110% от Рст), т/ваг.

Общая экономия по регионам и дороге определяется по формуле:


6. Уменьшение порожнего пробега вагонов

Вспомогательной, или непродуктивной, работой подвижного состава является такая его деятельность, которая не обеспечивает создания транспортной продукции, но необходима из-за технологической специфики деятельности железнодорожного транспорта. Показателями, характеризующими эту работу подвижного состава, являются процент порожнего пробега вагона и коэффициент вспомогательного пробега локомотива.

Порожний пробег вагонов - постоянный пробег вагонов без груза, один из основных показателей эксплуатационности работы железных дорог. Подсчитывается отдельно по направлениям движения, родам вагонов и видам сообщений, определяемых принадлежностью вагонов. Порожний пробег вагонов комплексно влияет на ряд показателей. Например, если порожний пробег вагонов возрастает, то уменьшается ср. масса поездов, а в связи с этим растёт скорость движения, но увеличивается уд. расход топлива. Кроме того, возрастает число одиночно следующих локомотивов. Порожний пробег вагонов сокращается при макс, использовании под сдвоенные операции (выгрузка и погрузка на одном грузовом фронте) вагонов с учётом их взаимозаменяемости, рационального прикрепления районов производства продукции к районам её потребления, устранения встречных п.п.в. и др. мероприятий. Технология с использованием сдвоенных операций исключает п.п.в. Коэффициент п.п.в. определяется отношением пробегов порожних вагонов к пробегам гружёных вагонов или к их полному пробегу. Минимальное значение п.п.в. (в %) равно разности густоты перевозок по направлениям движения, однако часто это значение п.п.в. превосходит минимум норму из-за дополнит, регулировочных заданий.

Экономический эффект от снижения порожнего пробега вагонов складывается из экономии расходов, связанных с пробегом вагонов, экономии затрат на содержание вагонного и локомотивного парка, экономии расходов на маневровую работу на станциях.

.1 Анализ оборота местного вагона на дороге

Анализ оборота вагона и его элементов выполняется за декаду и месяц и должен отражать степень выполнения месячных технических норм оборота вагона, простоя на одной технической станции и под одной грузовой операцией, участковой скорости, полного рейса и процента порожнего пробега вагонов. При этом указывается удельный вес каждого отделения и крупных станций в замедлении или ускорении оборота вагона.

При анализе оборота вагона по дороге (отделению) следует определить влияние каждого из элементов оборота на общее отклонение его от нормы и на изменение по сравнению с предыдущим периодом путем постановки каждого анализируемого элемента в трехчленную формулу оборота вагона.

При анализе величины простоя вагонов на одной технической станции необходимо отдельно рассматривать простой вагонов без переработки и с переработкой, увязывая эти показатели с работой технических станций и выполнением норм технологического процесса. По станциям, допустившим значительное ухудшение простоя вагонов с переработкой, следует детально рассмотреть выполнение норм расчлененного простоя по элементам. Простой под одной грузовой операцией должен быть рассмотрен по дороге, отделению и по важнейшим грузовым станциям с использованием данных расчлененного простоя местных вагонов по элементам. При значительной величине простоя вагонов на подъездных путях необходимо указать выполнение норм простоя по крупным предприятиям и причины превышения этой нормы. Особое внимание должно быть обращено на величину простоя местных вагонов от окончания грузовой операции до отправления вагонов со станции.

При анализе по дороге и отделению рекомендуется так группировать станции:

технические станции;

грузовые станции с вагонооборотом 50 и более вагонов в сутки;

промежуточные станции, обслуживаемые сборными и вывозными поездами.

Анализ выполнения участковой скорости должен отразить выполнение заданий по технической скорости и величину простоя на промежуточных станциях. Причины нарушений установленных заданий по скорости движения поездов определяются на основе отчетности о выполнении графика движения поездов по проследованию на участках.

При анализе выполнения полного рейса вагона должно быть рассмотрено влияние на его величину груженого рейса и процента порожнего пробега вагонов, а также причины изменения этих показателей. Отдельно должно быть проанализировано выполнение нормы суточного пробега вагонов и, в частности, установленного техническими нормами задания по среднесуточному пробегу груженого вагона.

Кроме детального анализа каждого из элементов оборота вагона, необходимо определить соотношение рабочего парка вагонов и выполняемой работы, показав влияние увеличения или снижения величины рабочего парка на оборот вагона, а также отклонение фактического рабочего парка от расчетного по выполненной работе и норме оборота вагона.