Средняя участковая скорость грузовых поездов для
дороги определяется по формуле:
где
,
,
-
поездо-км соответственно на Р-1 и Р-2;
,
- участковая скорость соответственно Р-1 и Р-2, км/ч;
Получаем:
Результаты расчетов сведем в таблицу 3.1
Таблица 3.1
Нормы простоя вагонов и участковой скорости
|
Подразделения |
Простой вагона, ч |
|
|
|
|
транзитного на одной технической станции, tтех |
местного под одной грузовой операцией, tгр |
|
|
Р-1 |
2,7 |
8 |
35,2 |
|
Р-2 |
2,5 |
10 |
37,8 |
|
Дорога |
2,9 |
8,6 |
36,3 |
Для расчета показателей использования вагонов необходимо определить вагоно-км груженых местных вагонов и ввоза.
Для этого составим таблицу 3.2. Для каждого назначения указывается вагонопоток (из таблицы 2.1), расстояние (из задания таблица1) и произведение расстояния на вагонопоток.
Величина пробега при погрузке «на себя»,
например, Р-1 на Р-1 - длину Р-1, при погрузке на другой регион - полусумму
длин регионов. При ввозе берется половина расстояния региона выгрузки и
расстояние от междорожного стыка до стыка региона.
Таблица 3.2
Вагоно-км ввоза и местного сообщения
|
на/из |
Дорога Н |
||
|
|
Р-1 |
Р-2 |
Итого |
|
Р-1 |
172/333/57276 |
119/340/40460 |
291/-/97736 |
|
Р-2 |
106/340/14734 |
139/347/48233 |
245/-/62967 |
|
Итого |
278/-/72010 |
258/-/88693 |
536/-/160703 |
|
А |
226/167/37742 |
212/507/107484 |
438/-/145226 |
|
Б |
79/167/13193 |
53/174/116706 |
132/-/129899 |
|
В |
102/514/52428 |
136/174/23664 |
238/-/76092 |
|
Итого |
407/-/103363 |
401/-/247854 |
808/-/351217 |
|
Всего |
685/-/175373 |
659/-/336547 |
1344/-/511920 |
Общие вагоно-км пробега
, равные
сумме пробега груженых
и порожних
вагонов,
определяются с использованием диаграммы вагонопотоков дороги (рисунок 1.1) и
представляется в таблице 3.3.
Таблица 3.3
Пробег груженых и порожних вагонов
|
Подразделения |
Длина, км |
Вагонопоток |
Вагоно-км |
|
||
|
|
|
Груженый (чет.+ нечет. +местн.) |
порожний |
|
|
|
|
Р-1 Р-2 Дорога |
333 |
7353 |
1714 |
2448549 |
570762 |
3019311 |
|
Р-2 |
347 |
5288 |
569 |
1834936 |
197443 |
2032379 |
|
Дорога |
- |
- |
- |
4283485 |
768205 |
5051690 |
При суммировании четного и нечетного
вагонопотоков принимается средний вагонопоток каждого направления, равный
полусумме поступающего на регион и сдающегося с региона дороги. В груженый
вагонопоток полностью включается
.
Данные берутся из диаграммы (рисунок 1.1).
3.2 Показатели использования вагонов
Оборот вагона - один из основных качественных показателей, характеризующих использование вагонного парка и других технических средств железнодорожного транспорта. Он представляет собой время в сутках, затрачиваемое на выполнение всех операций с вагоном от начала одной погрузки до начала следующей погрузки.
Общее время оборота вагона состоит из трех основных частей:
Первая - время, затрачиваемое на продвижение
вагона за все время его оборота (время в пути) -
;
Вторая - время, затрачиваемое на выполнение
погрузочно-разгрузочных работ с вагоном за время его оборота (время под
грузовыми операциями) -
;
Третья - время, затрачиваемое на вагон для
выполнения с ним операций на технических станциях за общее время оборота (время
на технические операции) -
Оборот вагона общего рабочего парка
рассчитывается по формуле:
где
-
полный рейс вагона, км;
- вагоннное плечо,
км;
- коэффициент
местной работы.
Полный рейс вагона - расстояние, которое вагон
проходит за время оборота от одной погрузки до следующей. Полный рейс
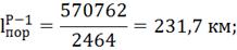
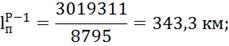
складывается из груженого и порожнего рейсов и рассчитывается по формуле:
где
-
суммарные (общие) вагоно-км пробега;
- «работа»
подразделения, ваг.
Вагонное плечо - это среднее расстояние пробега
вагонов, приходящееся на одну техническую станцию (определяется делением общего
пробега на количество груженых вагонов, отправляемых со всех технических
станций).
где
-
общее количество транзитных вагонов, отправленных со всех технических станций
дороги.
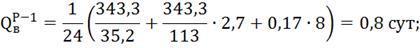
Коэффициент местной работы - количество грузовых
операций, приходя-щихся на единицу работы. Определяется как частное от деления
суммы среднесуточной погрузки и выгрузки на работу региона.
Оборот местного вагона.
Оборотом местного вагона называется среднее
время нахождения на дороге (регионе) вагона с момента поступления под выгрузку
до окончания ее, а также вагона местного сообщения от окончания погрузки до
момента выгрузки.
где
-
рейс местного вагона, км;
- коэффициент
местной работы для местных вагонов;
- доля простоя
местного вагона в порожнем состоянии, приходящаяся на одну грузовую операцию.
Принимаем =0,3.
Рейс местного вагона находится делением суммы
пробега вагонов местного сообщения и ввоза на выгрузку.

Коэффициент местной работы для вагонов,
следующих под выгрузку на станции региона, равен сумме погрузки в местном
сообщении и выгрузки, деленной на выгрузку. Он всегда будет больше единицы, так
как погрузка в местном сообщении
имеет две грузовые
операции, а вагоны, поступающие извне под выгрузку, - одну.
Оборотом порожнего вагона называется среднее
время нахождения на дороге (регионе) вагонов в порожнем состоянии. Время
нахождения порожних вагонов на технических станциях в ряде случаев будет
меньше, чем для всех вагонов, так как порожние вагоны проходят большее
количество технических станций в организованных поездах без переработки и
условия формирования порожних составов менее сложны, чем груженых. Оборот
порожнего вагона рассчитывается по следующей формуле:
где
-
рейс порожнего вагона, км;
- коэффициент
местной работы порожнего вагона.
Рейс порожнего вагона определяется по формуле:
где
-
суммарные (общие) вагоно-км пробега порожних вагонов;
- «работа»
порожних вагонов, равная сумме погрузки и сдаче порожних вагонов с
подразделения.
Коэффициент местной работы порожних вагонов
рассчитывается по формуле:
Тогда оборот порожнего вагона равен:
Оборот транзитного вагона также является разновидностью общего оборота вагона. Для дороги (региона) транзитом условно называют:
- вагоны, принятые от соседних дорог (регионов) и подлежащие сдаче на соседние дороги (регионы), т.е. вагоны, проходящие данную дорогу (регион) в груженом состоянии от входного пункта к выходному;
вагоны, которые погружены на дороге (регионе)и подлежат сдаче в груженом состоянии на соседние дороги (региона).
Оборот транзитного вагона - это среднее время нахождения вагона на отделении с момента поступления его назначением на другие дороги до сдачи их на соседние регионы или от окончания погрузки вагонов на данном регионе назначением на другие дороги до передачи их по стыковым пунктам.
Оборот транзитного груженого вагона для дороги и
регионов определяется по формуле:
где
-
рейс транзитного груженого вагона, км;
- коэффициент
местной работы транзитного вагона;
,1 - коэффициент, учитывающий повышение участковой скорости из-за того, что транзитные вагоны не следуют в сборных поездах.
Рейс транзитного груженого вагона для дороги и регионов
определяется из выражения:
где
-
сдача груженых вагонов, ваг;
- пробег транзитных
груженых вагонов.
Произведем расчеты:
Коэффициент местной работы для транзитных
вагонов - это отношение погрузки в прямом сообщении
к работе, т.е. к сдаче груженых вагонов.
Тогда оборот транзитного вагона равен: