6.2. Проектирование и расчет наружного газопровода
Для расчета наружного газопровода вычерчиваем схему одного из кварталов с этажностью, аналогичной этажности дома, выбранного для проектирования внутреннего газопровода. Количество домов в квартале выбираем произвольным образом (минимум три жилых дома), предполагая, что в квартале могут располагаться спортивные и детские площадки, автомобильные стоянки и т. д.
Подъезды в домах принимаются аналогично рассчитанному внутреннему газопроводу. Схема газопровода — тупиковая.
Разбиваем сеть на участки, учитывая вводы на каждый стояк жилого дома. Выбираем невыгодную ветвь. Определяем длину каждого участка невыгодной ветви. Для учета потерь на местные сопротивления геометрическая длина участков увеличивается на 10 %. Расчетные расходы определяются так же, как в предыдущем разделе. Диаметры газопроводов определяются по номограмме низкого давления (см. Приложение 1) в зависимости от расхода и удельных потерь давления.
Гидравлический расчет наружного газопровода выполняется следующим образом (на примере из Приложение 8
ирис. 3.1):
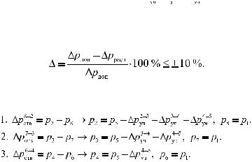
1.Определяем давление на самом удаленном участке от ввода в уличный газопровод в точке 1 − p1невыгодной ветви:
(6.5)
где
— давление перед горелкой газового прибора, принимаемое по паспорту прибора. В курсовом проекте давление перед горелкой прибора принимается 1 800 Па;
— внутреннее сопротивление прибора, принимаемое по паспорту прибора, в курсовом проекте принимаем равным 100 Па;
— потери давления в газовом счетчике, принимаем рав-
ными 50 Па;
45
— потери давления в термозапорном клапане, принимаем равными 50 Па;
Σ
— потери давления внутридомовой сети, определяемые гидравлическим расчетом.
2.Далее определяется давление на вводе в квартал в точке pn в Приложении 8 на схеме наружного газопровода это точка — «5», так же как и определялось давление в расчете кольцевого газопровода при условии привязки к давлениям и потерям давлений уличного газопровода выбранного квартала.
Например:
а) выбираем квартал № 5 (см. рис. 3.1), участок газопровода кольцевой сети — «13–12», делим его пополам — точка середины участка является точкой подключения наружного газопровода;
б) определив точку подключения — «5» (см. Приложение 8), можно расчитать давление в этой точке следующим образом:
(6.6)
3.Самой невыгодной ветвью согласно Приложению 8 явля-
ется:
«1–2–3–4–5», ответвления: «2–8», «7–3» и «4–6». Участки невыгодной ветви и ответвления фиксируем в табл. 6.3.
4.Исходя из полученных результатов рассчитываем допустимые потери давления как на невыгодной ветви, так и на
ответвлениях — pдоп: |
(6.7) |
pдоп = pn – p1, |
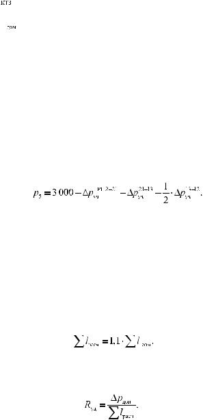
5. Затем определяем суммарную расчетную длину невыгодной ветви:
(6.8)
6. Далее определяем средние удельные потери давления на 1 м по всей длине самого удаленного участка от точки врезки в уличный газопровод:
(6.9)
46
Расходы газа на каждый участок определяем по формуле (6.1), но коэффициент одновременности действия прибора kо должен быть равен 0,8 вне зависимости от количества газовых приборов.
В дальнейшем расчет производится аналогично расчету газопровода низкого давления кольцевой сети.
На основании известного расхода и удельных потерь на невыгодной ветви по номограмме (см. Приложение 1) определяем:
1) диаметр участка и потери давления на 1 м на нем; 2) потери давления на участке: 








3)результаты записываются в табл. 6.3;
4)полученные в ходе расчета суммарные потери давления увязываются с допустимыми потерями давления:
(6.10)
Примеры расчета потерь давлений ответвлений (см. Приложение 8):
|
|
|
|
|
|
|
Таблица 6.3 |
|
Гидравлический расчет наружного газопровода |
||||||
|
|
|
|
|
|
|
|
№ |
Длина |
Расчетная |
Расчетный |
Диаметр |
Потери |
Потери |
Сумма потерь |
участка |
участка, |
длина |
расход |
газопро- |
давления |
давления на |
давления на |
сети |
м |
участка, м |
газа, м3/ч |
вода, мм |
на 1 м, |
участке, Па |
участке, Па |
|
|
|
|
|
Па/м |
|
|
|
|
|
|
|
|
|
|
|
|
|
|
|
|
|
|
Пример расчетной схемы наружного газопровода см. в Приложении 8.
47
7. ВЫБОР ОБОРУДОВАНИЯ ГАЗОРЕГУЛЯТОРНОГО ПУНКТА
Всостав технологического оборудования регуляторных пунктов входят следующие элементы:
–регулятор давления, понижающий или поддерживающий постоянное давление газа вне зависимости от его расхода;
–предохранительный запорный клапан (ПЗК), прекращающий подачу газа при повышении или понижении его давления после регулятора сверх заданных значений;
–предохранительное сбросное устройство, предназначенное для сброса излишков газа, чтобы давление не превысило заданное в схеме регуляторного пункта;
–фильтр газа, служащий для его очистки от механических примесей;
–контрольно-измерительные приборы (КИП), которые фиксируют: давление газа до и после регулятора, а также на обводном газопроводе (манометр); перепад давлений на фильтре, позволяющий судить о степени его загрязнения (дифманометр); расход газа (расходомер); температуру газа перед расходомером (термометр);
–импульсные трубопроводы, служащие для присоединения регулятора давления, ПЗК, ПСК и контрольно-измеритель- ных приборов.
Вкурсовом проекте предстоит выбрать регулятор давления, ПЗК, ПСК, фильтр только для одного ГРП.
7.1. Выбор регулятора давления газа
Выбор типа и размера регулятора давления зависит от расхода газа, его входного и выходного давлений. Основными параметрами, определяющими пропускную способность регулятора,
48
являются условный диаметр проходного сечения дросселирующего органа и соответствующий ему коэффициент пропускной способности.
На основании технических характеристик регулятора давления газа РДБК (блочный регулятор давления газа Казанцева) по табл. 7.1 подбирается регулятор давления. Затем производится расчет расхода газа выбранного регулятора на основании его технических характеристик и приведенной ниже методики расчета.
Таблица 7.1
Технические характеристики регулятора давления газа РДБК
Характеристики |
РДБК1-50 |
РДБК1П-50 |
РДБК1-100 |
РДБК1П-100 |
||
регулятора давления |
|
|
|
|
|
|
|
|
|
|
|
|
|
Диаметр dу входного |
50 |
50 |
100 |
100 |
100 |
100 |
фланца, мм |
|
|
|
|
|
|
|
|
|
|
|
|
|
Диаметр седла, мм |
35 |
35 |
50 |
70 |
50 |
70 |
|
|
|
|
|
|
|
Максимальное входное |
1,2 |
1,2 |
1,2 |
1,2 |
1,2 |
1,2 |
давление, МПа |
|
|
|
|
|
|
|
|
|
|
|
|
|
Диапазон настройки |
0,001–0,06 |
0,03–0,6 |
0,001–0,06 |
0,001–0,06 |
0,03–0,6 |
0,03–0,6 |
выходного давления, |
|
|
|
|
|
|
МПа |
|
|
|
|
|
|
|
|
|
|
|
|
|
Пропускная способ- |
900 |
900 |
1 418 |
2 836 |
1 418 |
2 836 |
ность при входном дав- |
|
|
|
|
|
|
лении 0,1 МПа, м3/ч |
|
|
|
|
|
|
Площадь условного |
19,6 |
19,6 |
78,5 |
78,5 |
78,5 |
78,5 |
прохода входного флан- |
|
|
|
|
|
|
ца, см2 |
|
|
|
|
|
|
Коэффициент расхода, |
0,259 |
0,259 |
0,103 |
0,206 |
0,103 |
0,206 |
отнесенный к площади |
|
|
|
|
|
|
условного прохода |
|
|
|
|
|
|
входного фланца |
|
|
|
|
|
|
|
|
|
|
|
|
|
Масса, кг |
39 |
35,8 |
95 |
95 |
89,1 |
89,1 |
|
|
|
|
|
|
|
Расчетная пропускная способность регулятора принимается от 10 до 80 % выше полученной при расчете нагрузки на сеть.
49