Материал: Полимерно-битумные вяжущие

Внимание! Если размещение файла нарушает Ваши авторские права, то обязательно сообщите нам

Полимерно-модифицированные битумы были впервые использованы в кровельной промышленности, а затем в дорожном строительстве. В 1965 году атактический полипропилен (АПП), который является побочным продуктом изготовления изотактического полипропилена (ИПП), впервые был использован для битумной модификации в кровельной промышленности в Италии и первый коммерческий продукт вышел на рынок в 1967 [70]. СБС, однако, не был широко использован до начала 1970-х годов в Европе. Что касается США, в 1978 году американцы начали широко использовать модифицированные битумы в укладке кровли. Около 1980 года в США началось первое промышленное производство полимербитумов [70].

Модификация битума полимерами для дорожного строительства является полем широкой интеллектуальной собственности. Один из первых патентов в этой области был получен в 1940 [71]. После этого, особенно после модификации битумов СБСом, большое количество патентов было получено по всему миру. Из-за нефтяных кризисов 1973 и 1979, попытки модификации битума полимерами для дорожного строительства начали увеличиваться около 40 лет назад [72,73]. В 1970-х, исследователи доказали, что добавление полимеров, в том числе пластомеров и термопластичных эластомеров, могли бы улучшить некоторые свойства дорожных битумов, таких как сокращение температурной чувствительности или увеличение сопротивления постоянной деформации [35-39]. В 1978, Чаффин и др. [68] сообщили о потенциальной стабильности при хранении битума, модифицированного эластомерами.

В 1980-х, спрос на полимерные покрытия для дорог привел к более систематическим исследованиям [72,78-85]. Например, в 1980 году, исследования, проведенные Пиацца [40], показали перспективы модификации битумов термопластомерами и термоэластопластомерами. В 1982 году Краус [79] исследовал морфологию модифицированного эластомерами битума и сообщил о набухании полимеров в битуме. В течение следующих нескольких лет, дальнейшие исследования [81,82] модифицированного битума были опубликованы. Боверинг [83] рассмотрел необходимость модификации битума полимерами в 1984 году и заявил, что относительно высокая стоимость ПБВ компенсируется длительностью эксплуатации и надежностью дорожных покрытий. В 1987 году Конгресс США учредил Программу стратегических исследований дорожных покрытий, что способствовало увеличению популярности использования ПБВ. В 1989, Риз и др. [84] сообщили о хорошей стойкостью к старению и растрескиванию ПБВ после двухлетних полевых испытаний в Калифорнии, хотя они указали, что необходимы дальнейшие исследования.

В начале 1990-х годов интерес к исследованию полимерно модифицированных битумов возрос во многих развитых странах [65]. Ученые систематически исследовали механические свойства, реологию, температурную чувствительность, морфологию, термическое поведение, устойчивость при хранении и старение различных ПБВ [86-101]. В результате обширных исследований были выявлены как преимущества, так и недостатки ПБВ. С одной стороны, был сделан вывод, что полимерные модификации привели к улучшению свойств битумов, таких как упругое восстановление, устойчивость к деформации при низких температурах и более высокой устойчивостью при высоких температурах СБС модифицированного битума [96 - 98]. С другой стороны, некоторые недостатки были выявлены, в частности, термическая нестабильность некоторых полимерных модификаторов и проблема разделения на фазы некоторых ПБВ [86,99].

В июне 1998 в Риме состоялся Международный симпозиум по полимерно модифицированным битумам, на котором было выявлено состояние дел по ПБВ в мире и по итогам был опубликован доклад в 1999 году [72]. Попытки устранить недостатки ПБВ начались в 1990-х годах. В 1996 году Джаварини др.[45] утверждали, что полимерно модифицированные битумы могут быть стабилизированы добавлением полифосфорной кислоты и они считали что ее добавление также улучшить срок хранения полимербитума путем изменения его структуры из золя в гель. После 2000 года исследования, касающиеся ПБВ, разделились на два направления: (1) глубокое исследование механизма полимерной модификации и его недостатки, а (2) попытки преодолеть недостатки некоторых ПБВ. Первое направление в основном фокусируется на изучении микроструктуры, деформации, трещин, старении и усталости ПБВ[102-115]. Даже сейчас, есть еще некоторые академические дебаты в этом направлении. Например, некоторые исследователи полагают, что битум имеет неоднородную коллоидную структуру и должен исследоваться как многофазная (полимеры / асфальтены /мальтены) вязкоупругая эмульсии [116,117], показанная на рис.5; в то время как некоторые другие исследователи утверждают, что битум однородный и непрерывный молекулярный состав [108], рис. 6. Другие авторы считают, что асфальтены сильно полярные компоненты битума и полярность полимерных модификаторов имеет значительное влияние на их совместимость с битумом и стабильность при хранении полученных ПБВ [40,116]. Следует отметить, что имеются авторы, которые считают, что асфальтены являются типичными неполярными молекулами с химической точки зрения [119]. Что касается попыток преодолеть недостатки, в 2000-х годах, были зарегистрированы различные способы устранить недостатки ПБВ, в том числе вулканизацией серой [120-125], добавление антиоксидантов [60,126,127], использование гидрофобных глинистых минералов [128-136] и функционализация (в том числе применение реактивных полимеров) [48, 137-151].

Рис. 5 Схематическое изображение коллоидной структуры битума и эффекта модификации полимеров. (A) Базовый битум. (B) Соответствующее ПБВ с повышенным содержанием асфальтенов в матрице.

(C) Мицеллы асфальтенов.

Рис.6 (А) растворимости сфер мальтенов и асфальтенов выделенных из венесуэльского битума. (B) Параметры растворимости СБС и Венесуэльского битума. (Взято из [118]).

2.3 Полимеры, используемые для модификации битума

Как упоминалось выше, после окончания Второй мировой войны, синтетические полимеры стали использоваться для модификации битумов. На протяжении многих лет исследователи разработали различные полимерно битумные модификации. Сегодня широко используемые полимеры для модификации битума можно разделить на две категории: пластомеры и термопластичные эластомеры. Так Строуп - Гардинер и др. [152] сообщили, пластомеры практически не имеют упругую составляющую, что обычно приводит к их быстрой разрушаемости при нагрузке и последующей остаточной деформации и хрупкости. Что касается термопластичных эластомеров, они размягчаются при нагревании, затвердевают при охлаждении [65] и способны противостоять постоянным деформациям растяжением под нагрузкой и упруго восстанавливается сразу после снятия нагрузки [152].

Некоторые популярные полимеры для модификации битума приведены в таблице 1 с их преимуществами и недостатками. Среди них, СБС привлекает наибольшее внимание из-за его относительно хорошей дисперсности (или соответствующей растворимости) в битуме, а также относительно хорошие свойства и приемлемая стоимость СБС модифицированного битума[43,153].

Конечно, помимо этих перечисленных полимеров, некоторые другие, такие как стирол- бутадиеновый каучук, диблок-сополимеры стирол-бутадиеновые и этилен-пропилен-диенового мономера были также популярны для модификации битума [154-156].

Таблица 1. Полимеры, используемые для модификации битумов [40, 42-50, 58, 61, 62, 65-67, 152, 156-163]

Категории полимеров

Полимеры

Преимущества

Недостатки

Пластомеры

Полиэтилен Полипропилен

Хорошие высокотемпературные свойства Относительно низкая цена

Незначительное улучшение эластичности Проблема разделения фаз

Пластомеры

Этилен-винил ацетат Этилен-бутил ацетат

Относительно хорошая стабильность при хранении Высокая устойчивость к колейности

Незначительное улучшение эластичности Незначительное улучшение низкотемпературных свойств

Термопластичные эластомеры

Стирол-бутадиен-стирол Стирол-изопрен-стирол

Возрастает жесткость Уменьшается чувствительность к температурным воздействиям Улучшается эластичность

Проблемы совместимости с битумами Плохая стойкость к жаре, окислению и ультрафиолету Относительно высокая цена

Термопластичные эластомеры

Стирол-этилен/бутилен-стирол

Хорошая стойкость к жаре, окислению и ультрафиолету

Нестабильность при хранении Незначительное улучшение эластичности. Высокая цена


Перед рассмотрением популярных полимерных модификаторов, стоит отметить, что даже для данного полимерного модификатора, выбор базового битума все еще имеет важное влияние на результат, так как каждый битум имеет свой собственный химический состав и структуру. Кроме того, базовые битумы обычно составляет более 90 % от полимербитума, что может являться наиважнейшим фактором, влияющим на окончательные свойства ПБВ. Качественные базовые битумы помогают усилить воздействие полимерного модификатора, в то время как некачественные могут сделать модификации бессмысленными. Что касается совместимости между полимером и битумом, выбор базового битума, как правило, осуществляется путем лабораторных экспериментов. Тем не менее, некоторые теоретические подходы основаны на содержании различных фракций битума: например, высокое содержание асфальтенов может уменьшить совместимость полимера и битума, а повышение содержания ароматики в мальтенах может привести к хорошей совместимости [78]. Некоторые другие исследователи даже дали компонентный состав битума с оптимальной совместимостью с СБС [61].

2.3.1 Пластомеры

В качестве важной категории пластомеров, полиолефины является одним из самых ранних используемых модификаторов для битумов. Различные полиолефиновые материалы, включая полиэтилен высокой плотности (ПЭВП), полиэтилен низкой плотности (ПЭНП), линейный полиэтилен низкой плотности (ЛПЭНП), изотактический полипропилен и атактический полипропилен [39,44,60,137,164,165], изучались для применения в модификации битума ввиду относительно низкой стоимости и преимуществах, которые они могут принести. Типичные структуры популярной ПЭ и ПП, приведены на Рис. 7.

Рис.7 Структуры полиэтилена и полипропилена

После того как полиолефиновые материалы добавляют в битум, они, как правило, набухают под воздействием легких компонентов битума и двухфазная структура формируется с полиолефиновой фазой (дисперсной фазой) в битумной матрице (непрерывная фаза) [157]. С увеличением концентрации полиолефинов, в модифицированном битуме происходит инверсия фаз. Две непрерывные фазы идеально подходят для полиолефинов, которые могут улучшить свойства битума до некоторой степени. Эти используемые материалы, как правило, приводят к высокой жесткости и хорошей устойчивостью модифицированного битума [44], хотя они имеют совершенно разные химическую структуру и свойства. Тем не менее, используемые полиолефиновые материалы значительно не улучшают эластичность битума [65]. В дополнение к этому, регулярные длинные цепи полиолефиновых материалов приводят к высокой склонности к упаковке и кристаллизации, что может привести к отсутствию взаимодействия между битумом и полиолефином и в результате к нестабильности модифицированного битума. Более того, некоторые исследователи утверждали, что совместимость полиолефинов с битумом очень плохое из-за неполярной природы используемых материалов[40]. В результате, ограниченное улучшение эластичности и потенциальные проблемы стабильности при хранении полиолефинмодифицированного битума ограничивают применение полиолефиноматериалов в качестве модификатора битума, в то время как они пользуются популярностью в производстве непроницаемых мембран.

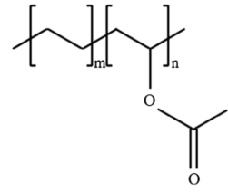
Более чаще используемые пластомеры в модификации битума являются сополимеры этилена, такие как этилен-винил ацетат (ЭВА) и этилен-бутил ацетат (ЭБА) [46,47]. В связи с их подобными химическими структурами, ЭВА обсуждается здесь как пример сополимеров этилена. Как показано на рис. 8, ЭВА сополимеры состоят из этилен-винилацетатных цепей, образованных случайным образом.

Рис. 8 Структура этиленвинилацетата

Однако свойства сополимеров ЭВА тесно связаны с содержанием винилацетата. Когда содержание винилацетата является низким, степень кристаллизации высока и свойства ЭВА являются совершенно аналогичными ПЭ низкого давления. Поскольку содержание винилацетата увеличивается, ЭВА имеет тенденцию представлять собой двухфазную микроструктуру с жесткой кристаллической фазой (как у полиэтилена) и резиновой винилацетатной аморфной фазой [67]. Чем выше винилсодержание винилацетата, тем выше процент аморфной фазы. Но степень кристаллизации следует тщательно контролировать когда ЭВА используется в качестве модификатора битумов, потому что ни слишком низкая (связи легко быть нарушены), ни слишком высокая (в результате чего отсутствует взаимодействие с битумом) степень кристаллизации не является хорошей [78].

После того, как сополимеры ЭВА добавлены в битум, светлые компоненты битума обычно пополняются сополимерами. При низких концентрациях ЭВА, дисперсная ЭВА-обогащенная фаза может наблюдаться одновременно с битумной фазой [103]. По мере увеличения концентрации ЭВА, инверсии фаз происходит в модифицированном битуме и ЭВА-фаза переходит в непрерывную фазу. Процесс инверсии фаз модифицированного битума был представлен в виде флуоресцентного изображения на рис. 9 [161]. Если в модифицированном битуме существуют две непрерывные фазы, то его свойства могут быть существенно улучшены. ЭВА, как было установлено, образует жесткую сеть в модифицированном битуме и противостоит деформации [47], что означает, что ЭВА модифицированный битум обладает повышенной устойчивостью к образованию колеи при высоких температурах.

Хотя некоторые свойства битума с применением ЭВА улучшаются, есть еще некоторые проблемы, ограничивающие его применение. Главным ограничением является то, что ЭВА не может значительно улучшить упругое восстановление битума [42,65]. Кроме того, температура стеклования (Tg) сополимеров ЭВА, которая сильно зависит от содержания винилацетата [166], недостаточно низка, чтобы значительно улучшить низкотемпературные свойства битума. Было установлено, что Tg полимербитума с 28,4% массовым содержанием винилацетата является -19,9°С [167], что довольно близко к Tg некоторых базовых битум. В результате способность ЭВА для улучшения низкотемпературных свойств битума является довольно ограниченной, особенно при высоких концентрациях ЭВА. Согласно исследованию Амери и др. [159], низкотемпературные свойства увеличиваются до некоторой степени добавлением 2 % по весу или 4 % по весу ЭВА и снижаются при добавлении 6 % мас. В противоположность этому, хотя ЭВА может привести к потенциальной нестабильности при хранении модифицированного битума [168], его Tg является намного ниже, чем у ЭВА с тем же содержанием сомономера (винилацетат или бутилакрилат). Было установлено, что Tg сополимеров ЭБА с 33,9 % массовым содержанием бутилакрилата - 45,9 ° С, что привело к более высокому сопротивлению разрушению из EБA модифицированного битума при низких температурах [167]. Кроме того, температура плавления богатых этиленом компонентов ЭВА значительно ниже, чем температура при приготовлении модифицированного битума. Т.е., жесткие кристаллические домены могут быть частично разрушены при изготовлении битума [40]. Для того, чтобы подготовить идеально модифицированный битум на сополимерах ЭВА, Эйри [161] предложил верхний предел температуры, около 55 °С. Тем не менее, эти этиленовые сегменты еще могут расплавиться и частично разрушены когда ЭВА модифицированный битум смешивают с минеральными компонентами перед мощением дороги, потому что обычная температура смешивания также значительно выше, чем температура плавления этих сегментов.

Рис.9 Изображения ЭВА модифицированного битума с различным содержанием (по массе) ЭВА[161]