Материал: Полимерно-битумные вяжущие

Внимание! Если размещение файла нарушает Ваши авторские права, то обязательно сообщите нам

Рис. 18 Дуктилометр ДА-01-150

Технические характеристики

)        Дуктилометр предназначен для определения растяжимости битумов по ГОСТ 11505.

)        Конструкция и основные размеры технологического блока и комплекта принадлежностей соответствуют ГОСТ 11505.

)        Количество одновременно растягиваемых п р о б -3.

)        Скорость растяжения проб битума (5,0±0,25)см/мин.

)        Цена деления наименьшего разряда индикации длины растяжения пробы битума -0,1см.

)        Температура воды в зоне испытаний (25,0±0,5)°С.

)        Максимальная длина растяжения образцов битума 150см.

)        Погрешность измерения длины перемещения каретки не более:

±0,2см в диапазоне от 0 до 30см;

±0,3см в диапазоне от 30 до 100см;

±0,4см в диапазоне от 100 до 150см;

)        Скорость нагрева воды в ванне не менее 3°С/ч; скорость охлаждения неменее - 1,5°С/ч.

)        Габаритные размеры дуктилометра, мм

ширина-1970, глубина -320, высота-220.

)        Масса аппарата не более 60кг.

)        Параметры питания

напряжение питания (220+22/-33)В;

частота (50±1)Гц;

потребляемая мощность не более 1000 В А.

)        Параметры хладагента (воды)

расход хладагента в процессе работы не менее 2л/мин;

температура хладагента должна быть не выше 35°С.

Аппарат кольцо и шар АКШ-04

Назначение АКШ-04

Аппарат кольцо и шар АКШ-04 (рисунок 4) предназначен для нагревания нефтяных битумов в диапазоне от 5 до 200°C и регистрации температуры, при которой битум, находящийся в кольце определенных размеров, под действием веса стального шарика переместится на заданное расстояние. Размеры рабочих частей аппарата и комплектующие соответствуют требованиям ГОСТ 11506, ASTM D36. Аппарат осуществляет температурную стабилизацию проб с шариками. Аппарат снабжен встроенным нагревателем, механической мешалкой и датчиком температуры Pt 1000 и обеспечивает нагрев проб со скоростью (5±0,5) °С. Два механических детектора обеспечивают точное определение температуры размягчения двух проб без вмешательства лаборанта. Область применения дуктилометраАКШ-04 - лаборатории предприятий и научно-исследовательских институтов, разрабатывающих, выпускающих или исследующих нефтяные битумы. Аппарат состоит из технологического блока и блока управления, показанных на рисунке 4.

Рис. 19 Аппарат кольцо и шар АКШ-04

Основные технические характеристики прибора:

         Максимальное количество одновременно испытуемых проб  4

         Диапазон измерения температуры нагрева проб, °Сот 5 до 200

         Цена наименьшего разряда цифрового табло, °С 0,1

         Погрешность измерителя температуры не более, °С ±1,0

         Скорость нагрева проб, °С/мин 5,0±0,5

         Расстояние перемещения столбика размягченного битума при срабатывании аппарата, мм25+0,4

         Диапазон установки температуры стабилизации, °С* от плюс 30 до плюс 180

         Погрешность регулирования температуры стабилизации, °С ±0,5

         Диапазон установки времени стабилизации, минот 1 до 30

         Максимальная продолжительность одного испытания не более, мин 30

Пенетрометр цифровой полуавтоматический для битумов ПНБ-03

Назначение ПНБ-03

Пенетрометр цифровой полуавтоматический для битумов ПНБ-03 (рис.20) предназначен для определения пенетрации нефтяных битумов путем автоматического измерения глубины погружения в испытуемый образец стандартной по массе, форме и размерам иглы (ГОСТ 11501) при заданной температуре в течение заданного времени. Аппарат автоматически фиксирует результат анализа в единицах пенетрации, соответствующих целым числам десятых долей миллиметра. После завершения анализа аппарат выдает звуковой сигнал. Результат анализа и время пенетрации высвечиваются на дисплее электронного блока и сохраняются в памяти аппарата. Область применения дуктилометра АКШ-04 - лаборатории предприятий и научно-исследовательских институтов, разрабатывающих, выпускающих или исследующих нефтяные битумы.

Рис.20 Пенетрометр для битумов ПНБ-03

Основные технические характеристики прибора:

         Диапазон измерения - 630 единиц пенетрации

         Разрешающая способность - 1 единица пенетрации = 0,1 мм

         Абсолютная погрешность измерения - не более 1 единицы пенетрации

         Время пенетрации - (5 ± 0,1) с или (60 ± 0,15) с

         Погружение иглы в пробу битума осуществляется под действием суммарной массы движущихся частей, в том числе:

§  плунжера - (47,50±0,05)г;

§  иглы с держателем - (2,50±0,05)г;

§  груза - (50,00±0,05)г или (150,0±0,05)г.

         Геометрические размеры иглы, чашек и допуски на них соответствуют ГОСТ 1440.

         Параметры питания - 220 В, 50 Гц

         Потребляемая мощность - не более 50 В

3.3 Методики исследования

Методика получения полимер-битумного вяжущего

Битумно-полимерную композицию получали путем нагревания битумной массы в металлическом стакане. Для этого в стакан объемом 400мл был отобран окисленный битум, предоставленный НПЗ ОАО «Таиф-НК», затем стакан ставится на нагревательную плитку и ведется нагрев. Температура смеси доводится до 160 ̊С при непрерывном перемешивании с помощью лабораторной мешалки, скорость перемешивания составляла 600-700 об/мин. При достижении битумной массой заданной температуры, в нее вводили полимер. Продолжая перемешивать, поддерживали установленную температуру, в течении трех часов.

По достижению установленных трех часов нагревание прекращалось, металлический стакан с битумно-полимерной массой направлялся на подготовку образцов для испытания.

По мере необходимости перед формированием образцов испытуемый битум предварительно прогревали при 160 ̊С до подвижного состояния.

Методика определения растяжения нефтяного битума

Подготовка и испытание образцов проводится на дуктилометре ДА-01-150в соответствии с требованиями ГОСТ 11505.

Подготовка проб: перед испытанием битум при наличии влаги обезвоживают осторожным нагреванием без перегрева до температуры на 80 ̊С - 100̊С выше температуры размягчения, но не выше 160 ̊С при перемешивании стеклянной палочкой. Обезвоженный и расплавленный битум процеживают через металлическое сито и тщательно перемешивают до полного удаления пузырьков воздуха.

Полированную металлическую или стеклянную пластинку и внутренние боковые стенки вкладышей «восьмерки» покрывают смесью талька с глицерином (1:3). Затем собирают форму на пластике [1].

Битум расплавить и налить в каждую из трех форм тонкой струей от одного конца формы до другого, немного выше краев. Залитый в форму битум охладить, а затем гладко срезать излишек горячим острым ножом.

Формы с битумом, не снимая с их пластинок, поместить в отдельную ванну по ГОСТ 11505, предварительно установив в ней требуемую температуру, или в ванну дуктилометра. По истечению часа термостатирования битум помещают в дуктилометр на исследование.

Методика определения эластичности битума

Сущность метода заключается в определении доли пластической (полностью обратимой) деформации предельной деформации образца.

Эластичность ПБВ определяют непосредственно после испытания образцов на растяжимость. Формы с разорвавшимися образцами снимают со штифтов дуктилометра и помещают в отдельную емкость, температура воды которой равна 35̊С, с целью ускорения сокращения образцов при определении пластичности ПБВ при 25 ̊C. Затем проводят измерения (с точностью до 0,1 см) обеих частей образца от свободного конца образца до зажима формы и момента изменения длины не более чем на 0,1 см за 15 минут. При определении эластичности ПБВ при 0̊С измерения проводят при(0 ± 0,5} ̊С.[2]

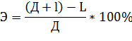
Показатель пластичности Э вычисляют по формуле


где Д - растяжимость, см;

l- длина образца до его растяжения, равная 3 см:- сумма длин двух частей образна после их восстановления

Метод определения температуры размягчения по кольцу и шару

Подготовка и испытание образцов проводится на аппарате кольцо и шар АКШ-04 в соответствии с требованиями ГОСТ 11506-73.

Перед испытанием образец битума при наличии влаги обезвоживают осторожным нагреванием без перегрева до температуры на 80 - 100 0С выше ожидаемой температуры размягчения, но не ниже 120 0С и не выше 180 0С. Обезвоженный и расплавленный до подвижного состояния битум процеживают через сито и затем тщательно перемешивают до полного удаления пузырьков воздуха.

Битум наливают с некоторым избытком в два гладких (для битумов с температурой размягчения свыше 80̊С используют два ступенчатых кольца, которые первоначально подогревают с помощью горелки или электрической плитки до предполагаемой температуры размягчения битума), помещенные на пластинку, покрытую смесью талька с глицерином (1:3), при этом следует избегать образования пузырьков воздуха.

После охлаждения колец с битумом на воздухе в течение 30 мин при (25 ±10) ̊С избыток битума гладко срезают нагретым ножом вровень с краями колец.[3]

В зависимости от предполагаемой температуры размягчения битума залить в стакан соответствующую рабочую жидкость (воду, смесь воды с глицерином или глицерин).

Методика определения глубины проникания иглы

Подготовка и испытание образцов проводится на пенетрометре ПНБ-03 в соответствии с требованиями ГОСТ 11501-78.

Подготовка образца:

Испытуемый образец битума нагревают до подвижного состояния, при наличии влаги его обезвоживают путем нагрева до температуры на 90̊С выше температуры размягчения, но не выше 160 ̊С при осторожном перемешивании, избегая местных перегревов. Время нагревания битума при указанных условиях не должно превышать 30 минут. Обезвоженный и расплавленный до подвижного состояния битум процеживают через металлическое сито и наливают в две пенетрационные чашки так, чтобы поверхность битума была не более чем на 5 мм ниже верхнего края чашки, и тщательно перемешивают до полного удаления пузырьков воздуха. Чашку с битумом охлаждают на воздухе при 10-30̊С, предохраняя образец от пыли. Продолжительность охлаждения 60 -90 минут при испытании битума с глубиной проникания иглы до 250.Затем чашки с битумом помещают в баню для термостатирования при заданной температуре испытания (25̊С и 0 ̊С). Время выдерживания чашек в бане высотой 35 мм 60-90 минут, а чашек высотой 60 мм 90-120 мин.[4]

Методы определения сцепления битума с щебнем

Подготовка и испытание образцов проводится в соответствии с требованиями ГОСТ 11508-74.

Подготовка к испытанию:

Испытания проводились на щебне Первоуральского месторождения, который носит основный характер (диарит) и Шкурлатовского месторождения, который носит кислый характер (гранит).

Щебень измельчают, отсеивают через металлические сита фракцию размером от 2 до 5 мм. Кусочки с полированной поверхностью отбрасывают. Образцы щебня промывают дистиллированной водой и сушат при 105-110 °С в течение 5 часов. Перед испытанием образец битума обезвоживают осторожным нагреванием до 105°С при перемешивании стеклянной палочкой. Битум, обезвоженный и расплавленный до подвижного состояния, процеживают через сито с сеткой № 07.

Для приготовления битумоминеральной смеси в две фарфоровые чашки взвешивают по 30 г щебня, с погрешностью не более 0,1 г, и по1,20 г испытуемого битума с погрешностью не более 0,01 г. Чашки выдерживают в течение 20 мин в термостате при 130-140 °С. Чашки вынимают из термостата и перемешивают мрамор или песок с битумом металлической ложкой до покрытия всей поверхности минерального материала. Затем смесь выдерживают при комнатной температуре в течение 20 минут.

На металлическую сетку № 025 или 05 с проволочными дужками выкладывают из одной чашки примерно половину подготовленной битумоминеральной смеси, распределяют ее равномерным слоем и опускают сетку в стакан с кипящей дистиллированной водой (высота слоя воды под сеткой и над смесью должна быть по 40-50 мм). Аналогичную операцию производят с битумоминеральной смесью из второй чашки.

Сетки с испытуемыми образцами выдерживают в кипящей воде в течение 30 мин. Кипение воды не должно быть бурным. Битум, отделившийся от смеси и всплывший на поверхность воды в процессе кипячения, снимают фильтровальной бумагой.

Сетки с испытуемым битумом сразу по окончании кипячения переносят в стаканы с холодной водой, где выдерживают в течение 3-5 мин, после этого смеси переносят на фильтровальную бумагу.

Для оценки сцепления битума с поверхностью минерального материала битумоминеральную смесь сравнивают с фотографиями контрольных образцов, представленных в ГОСТ 11508-74 [252].

БИБЛИОГРАФИЧЕСКИЙ СПИСОК

1.      Гунн, Р.Б. Нефтяные битумы / Р.Б. Гунн - М.: Химия, 1973.- 432с.;

.        Поконова, Ю.В. Нефтяные битумы / Ю.В. Поконова. - СПб.: Санкт- Петербургская издательская компания «Синтез», 2005,- 154с.

.        Губницкий, В.М Природные битумы: состояние ресурсов,

особенности освоения и возможности использования / В.М. Губницкий //Геология нефти и газа. - 1997. -.4» 2. - С 16-19.

.        Белонин, М.Д. Повышение эффективности комплексного освоения месторождений тяжелых металлоносных нефтей и битумов / М.Д.Белонин, И.С.Гольдберг, В.В.Грибков, Н.И. Искрицкая // Геология

нефти и газа. - 1990. - 9. - С.2.-4.

.        Колбановская. А.С. Дорожные битумы / А.С. Колбановская, В.В Михайлов,-М.: Транспорт, 1973.-255с.

.        Никишина. М.Ф Производство битумов / М.Ф. Никишина,

В.А. Захаров // Труды СоюздорНИИ. - 1980. - Вып. 46,- С.187-194.

.        Розенталь, Д.А. Получение битумов различных марок компаундированием гудрона с природным асфальтитом / Д.А. Розенталь //Нефтехимия. - 2007.-№ 4. - С.6-7.

.        Сюняев, З.И Нефтяные дисперсные системы / З.И. Сюняев, Р.З. Сюняев, Р.З. Сафиева. - М.: Химия, 1990. - 226 с.

.        Opганические вяжущие и материалы на их основе: метод, указ. к практическим занятиям и лабораторным работам / сост.: О.А. Корчагина, О А. Киселева, Тамб. гос. техн. ун-т. - Тамбов, 2004 - 36 с.

.        Розентать, Д.А. Битумы. Получение и способы модификации /Д.А. Розенталь, А.В. Березников, И.Н. Кудрявцева. - Л.: ЛТИ,1979. -80с.

.        Состав, структура и свойства битумов [Электронный ресурс]. Режим доступа: http:// www.vost.ru / docs / article / sostavstruktura-i-svojstva-bitumov, свободный.

.        Сюняев, P 3. Интенсификация некоторых процессов переработкинефтяного сырья на базе принципов физико-химической механики / Р.З. Сюняев, А.А. Гуреев. - М.: ЦНИИТЭННефтехим, - 1989,- 66 с.

.        Битумы, полимерно-битумные вяжущие, асфальтобетон, полимерасфальтобетон: метод, пособие для слушателей ГОУ ДПО ГАСИС / сост.: Л.М. Гохман. - Москва: Изд-во ГОУ ДПО ГАСИС, 2008,-94 с.

.        Унгер, Ф.Г Фундаментальные аспекты химии нефти. Природа смол и асфальтенов / Ф.Г. Унгер. Л.Н Андреева - Новосибирск: Наука, 1995. - 192 с.

.        Хойдберг, А.Д. Битумные материалы. Асфальтены, смолы, пеки / А.Д. Хойдберг. - М.: Химия, 1974. - 247с.

.        Посадков, И.А. Коллоидная структура битумов / И А. Посадков // Нефтехимия.-1985.-№ 3.-С.41-46.

.        Камьянов, В.Ф. Исследования в области химии высокомолекулярных соединений нефти / Б.Ф. Камьянов // Проблемы и достижения в исследовании нефти. - Томск. - 1990. - С. 65-99