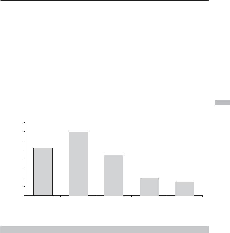
Рис. 5.11. Интегральная форма эмпирической функции распределения уровней 25(ОН)D, отражающая число пациентов (в процентном соотношении) в возрасте 7–14 лет с уровнями витамина D в сыворотке крови ниже определенных значений
|
100 |
|
|
|
|
|
|
|
90 |
|
|
|
|
|
|
|
80 |
|
|
|
|
|
|
% |
70 |
|
|
|
|
|
|
пациентов, |
60 |
|
|
|
|
|
|
|
|
|
|
|
|
|
|
|
50 |
|
|
|
|
|
|
Число |
40 |
|
|
|
|
|
|
30 |
|
|
|
|
|
|
|
|
20 |
|
|
|
|
|
|
|
10 |
|
|
|
|
|
|
|
0 |
|
|
|
|
|
|
|
0 |
10 |
20 |
30 |
40 |
50 |
60 |
|
|
|
|
Витамин D, нг/мл |
|
|
|
65
|
Таким образом, средние значения уровней 25(ОН)D |
7. Макарова С.Г., Намазова-Баранова Л.С. Обеспеченность |
19,4 ± 7,7 нг/мл указывают на преобладание дефицита |
микронутриентами и профилактика пищевой аллергии: |
|
витамина D среди детей 7–14 лет. На рис. 5.11 представлена |
существует ли «окно превентивной витаминизации»? |
|
интегральная форма установленной функции распределе- |
(часть 2). Педиатрия. Журнал им. Г.Н. Сперанского. 2017; |
|
ния уровней витамина D. |
96(2):114–121. |
|
|
Полученное в результате исследования распределение |
8. Громова О.А., Торшин И.Ю., Захарова И.Н., Спири- |
показателей 25(ОН)D отражает количество детей (в про- |
чев В.Б., Лиманова О.А., Боровик Т.Э., Яцык Г.В. О дози- |
|
центном соотношении) с разным статусом витамина D |
ровании витамина D у детей и подростков. Вопросы |
|
и дает представление о встречаемости различных уров- |
современной педиатрии. 2015;14(1):38–47. |
|
ней дефицита витамина. Так, тяжелый дефицит витами- |
9. Баранов А.А., Намазова-Баранова Л.С., Боровик Т.Э., |
|
на D (< 10 нг/мл) наблюдается менее чем у 8% пациентов. |
Ладодо К.С., Захарова И.Н., Конь И.Я., Гмошин- |
|
В то же время дефицит витамина D (< 20 нг/мл) был уста- |
ская М.В., Макарова С.Г., Коденцова В.М., Громо- |
|
новлен у 52%, а умеренный дефицит (пограничная недоста- |
ва О.А., Шабалов Н.П., Беляева И.А., Хавкин А.И., |
|
точность) витамина (< 30 нг/мл) — у 91% обследованных. |
Новик Г.А., Краснов В.В., Комарова О.В., Козлов И.Г., |
|
Следовательно, в когорте детей и подростков в возрасте |
Каркашадзе Г.А., Косенко И.М., Комарова О.Н., и др. |
|
от 7 до 14 лет адекватно обеспечены витамином D не более |
Национальная программа по оптимизации обеспечен- |
|
10% обследованных. |
ности витаминами и минеральными веществами детей |
|
|
|
России. Москва, 2017. 152 с. |
|
|
10. Kumar J., Muntner P., Kaskel F.J., Hailpern S.M., |
ЛИТЕРАТУРА |
Melamed M.L. Prevalence and associations of 25-hydroxyvi- |
|
1. |
Holick M.F. Vitamin D deficiency. N Engl J Med. 2007; |
tamin D deficiency in US children: NHANES 2001–2004. |
|
357(3):266–81. |
Pediatrics. 2009;124:362–370. |
2. Намазова-Баранова Л.С., Макарова С.Г., Студени- |
11. Torun E., Genc H., Gonullu E., Akoval B., Ozgen I.T. The |
|
|
кин В.М. Витамины и минеральные вещества в прак- |
clinical and biochemical presentation of vitamin D deficien- |
|
тике педиатра. Москва, 2016. 300 с. |
cy and insufficiency in children and adolescents. J Pediatr |
3. Pludowski P., Holick M.F., Grant W.B., Konstantynowicz J., |
Endocrinol Metab. 2013;26(5–6):469–475. |
|
|
Mascarenhas M.R., Haq A., Povoroznyuk V., Balatska N., |
12. Holick M.F. Vitamin D status: measurement, interpretation, |
|
Barbosa A.P., Karonova T., Rudenka E., Misiorowski W., |
and clinical application. Ann Epidemiol. 2009;19(2):73–78. |
|
Zakharova I., Rudenka A., Łukaszkiewicz Ja., Marcinowska- |
13. Борисенко Е.П., Романцова Е.Б., Бабцева А.Ф. Обес- |
|
Suchowierska E., Łaszcz N., Abramowicz P., Bhattoa H.P., |
печенность витамином D детского и взрослого населе- |
|
Wimalawansa S.J. Vitamin D supplementaytion guidelines. |
ния Амурской области. Бюллетень физиологии и патоло- |
|
The Journal of Steroid Biochemistry and Molecular Biology. |
гии дыхания. 2016;60:57–61. |
|
2017(б/н). С. 021. |
14. Романцова Е.Б., Бабцева А.Ф., Борисенко Е.П., При- |
4. |
Захарова И.Н., Дмитриева Ю.А., Яблочкова С.В., Евсе- |
ходько О.Б., Тимофеева Е.С. D-дефицитное состояние |
|
ева Е.А. Недостаточность и дефицит витамина D: что ново- |
у часто болеющих детей в Амурской области. Практи- |
|
го? Вопросы современной педиатрии. 2014;13(1):134–140. |
ческая медицина. 2017;5(106):51–53. |
5. Спиричев В.Б. О витамине D. Педиатрия. Журнал имени |
15. Малявская С.И., Захарова И.Н., Кострова Г.Н., Лебе- |
|
|
Г.Н. Сперанского. 2011;90(6):78–85. |
дев А.В., Голышева Е.В., Суранова И.В., Майкова И.Д., |
6. Вахлова И.В., Зюзева Н.А. Обеспеченность витами- |
Евсеева Е.А. Обеспеченность витамином D населения |
|
|
ном D и эффективность его профилактического назна- |
различных возрастных групп, проживающих в городе |
|
чения у детей раннего возраста. Практическая медицина. |
Архангельске. Вопросы современной педиатрии. 2015; |
|
2017;5(106):31–36. |
14(6):681–685. |
|
16. Малявская С.И., Кострова Г.Н., Голышева Е.В., Стрел- |
Бобрышев Д.В., Евсеева Е.А. Обеспеченность витами- |
|||||||
|
кова А.В., Лебедев А.В., Терновская В.А., Пятлина Т.В., |
ном D детей грудного возраста. Российский вестник |
|||||||
|
Турабова А.Л., Никитина М.И., Бульина Е.А. Обеспе- |
перинатологии и педиатрии. 2016;61(6):68–76. |
|
||||||
|
ченность витамином D детей и коррекция его дефицита в |
23. Климов Л.Я., |
Захарова |
И.Н., |
Курьянинова |
В.А., |
|||
|
различных возрастных группах населения Арктической |
Долбня С.В., Арутюнян Т.М., Касьянова А.Н., |
|||||||
|
зоны РФ. Практическая медицина. 2017;5(106):41–44. |
Анисимов Г.С., Абрамская Л.М., Борисова Ю.В., |
|||||||
|
17. Мальцев С.В., Шакирова Э.М., Сафина Л.З., Закиро- |
Майкова И.Д. Статус витамина D у детей юга России |
|||||||
|
ва А.М., Сулейманова З.Я. Оценка обеспеченности вита- |
в осенне-зимнем периоде года. Медицинский совет. |
|||||||
|
мином D детей и подростков. Педиатрия. Журнал им. |
2015;14:14–19. |
|
|
|
|
|
||
|
Г.Н. Сперанского. 2014;93(5):32–38. |
24. Kuryaninova |
V.A., Zakharova |
I.N., Klimov |
L.Ya., |
||||
|
18. Мальцев С.В., Закирова А.М., Мансурова Г.Ш. Обес- |
Dolbnya S.V., Soloveva E.A. The relationsheep between |
|||||||
|
печенность витамином D детей разных возрастных групп |
nutrition and vitamin D suffiency in infants and children |
|||||||
|
в зимний период. Российский вестник перинатологии и |
under three years of age residing in the south of Russia. |
|||||||
|
педиатрии. 2017;62(2):99–103. |
Journal of Pediatric Gastroenterology and Nutrition. |
|||||||
|
19. Захарова И.Н., Климов Л.Я., Мальцев С.В., Маляв- |
2016;62(Suppl 1):781. |
|
|
|
||||
|
ская С.И., Курьянинова В.А., Долбня С.В., Вахлова И.В., |
25. Захарова |
И.Н., |
Климов |
Л.Я., |
Курьянинова |
В.А., |
||
|
Громова А., Романцова Е.Б., Романюк Ф.П., Шума- |
Громова О., Долбня С.В., Касьянова А.Н., Стоян М.В., |
|||||||
|
това Т.А., Касьянова А.Н., Ягупова А.В., Бобрышев Д.В., |
Анисимов Г.С., Евсеева Е.А., Майкова И.Д., Коро- |
|||||||
|
Соловьева Е.А., Королева Е.Ю., Сугян Н.Г., Мозжу- |
лева Е.Ю., Володин Н.Н., Зелинская Д.И., Чебур- |
|||||||
|
хина М.В., Закирова А.М., Голышева Е.В., и др. Обес- |
кин А.А., Холодова И.Н. Эффективность профилактики |
|||||||
|
печенность витамином D и коррекция его недостаточ- |
гиповитаминоза D у детей первого года жизни: роль |
|||||||
|
ности у детей раннего возраста в Российской Федерации |
вскармливания, влияние дозы и длительности примене- |
|||||||
|
(фрагмент Национальной программы). Практическая |
ния препаратов холекальциферола. Педиатрия. Журнал |
|||||||
|
медицина. 2017;5(106):22–28. |
им. Г.Н. Сперанского. 2016;95(6):62–70. |
|
||||||
|
20. Захарова И.Н., Мальцев С.В., Боровик Т.Э., Яцык Г.В., |
26. .Захарова И.Н., Творогова Т.М., Соловьева Е.А., |
|||||||
|
Малявская С.И., Вахлова И.В., Шуматова Т.А., Роман- |
Сугян Н.Г., Антоненко Н.Э., Балашова Н.Д., Куулар Н.К., |
|||||||
|
цова Е.Б., Романюк Ф.П., Климов Л.Я., Ёлкина Т.Н., |
Марченко |
В.В., |
Перова |
С.В., |
Простакова |
В.Н., |
||
66 |
|||||||||
Пирожкова Н.И., Колесникова С.М., Курьянинова В.А., |
Симакова Н.Ю., Симоненко И.М., Васильева С.В., |
||||||||
|
|||||||||
|
Васильева С.В., Мозжухина М.В., Евсеева Е.А. Недо- |
Мозжухина М.В., Королева Е.Ю., Рахтеенко А.В., |
|||||||
|
статочность витамина D у детей раннего возраста в |
Климов Л.Я., Курьянинова В.А., Плудовски П. |
|||||||
|
России (результаты многоцентрового исследования: зима |
Недостаточность витамина D у детей города Москвы |
|||||||
|
2013–2014 гг.). Педиатрия. Журнал им. Г.Н. Сперанского. |
в зависимости от сезона года. Практическая медицина. |
|||||||
|
2014;93(2):75–80. |
2017;5(106):28–31. |
|
|
|
|
|||
|
21. Захарова И.Н., Мальцев С.В., Боровик Т.Э., Яцык Г.В., |
27. Лиманова О.А., Громова О.А., Торшин И.Ю., |
Заха- |
||||||
|
Малявская С.И., Вахлова И.В., Шуматова Т.А., Роман- |
рова И.Н., Калачёва А.Г., Белоусова Н.В., Егорова Е.Ю., |
|||||||
|
цова Е.Б., Романюк Ф.П., Климов Л.Я., Пирожкова Н.И., |
Евсеева Е.А., Сардарян И.С., Галустян А.Н., Гpишина Т.Р., |
|||||||
|
Колесникова С.М., Курьянинова В.А., Творогова Т.М., |
Волков А.Ю., Косенко И.М., Малявская С.И., Pахтеен- |
|||||||
|
Васильева С.В., Мозжухина М.В., Евсеева Е.А. Недо- |
ко А.В., Pудаков К.В., Семёнов В.А., Семёнова О.В., |
|||||||
|
статочность витамина D у детей раннего возраста в |
Федотова Л.Э., Щеpбо С.Н., и др. Сезонные вариа- |
|||||||
|
России: результаты многоцентрового когортного иссле- |
ции обеспеченности витаминами и микроэлементами. |
|||||||
|
дования РОDНИЧОК (2013–2014 гг.). Вопросы совре- |
Медицинский совет. 2016;7:20–27. |
|
|
|||||
|
менной педиатрии. 2014;13(6):30–34. |
28. Громова О.А., Торшин И.Ю. Витамин D — смена парадиг- |
|||||||
|
22. Захарова И.Н., Климов Л.Я., Курьянинова В.А., Долб- |
мы. Под ред. акад. РАН Е.И. Гусева, проф. И.Н. Захаровой. |
|||||||
|
ня С.В., Майкова И.Д., Касьянова А.Н., Анисимов Г.С., |
М.: ГЭОТАР-Мед. 2017. С. 417–437. |
|
||||||
6. ПРОФИЛАКТИКА И КОРРЕКЦИЯ НИЗКОГО СТАТУСА ВИТАМИНА D
6.1. Пищевые источники и градация доз витамина D
Согласно нормативному документу Роспотребнадзора Российской Федерации1, норма физиологической потребности (т.е. усредненной величины необходимого поступления, обеспечивающего оптимальную реализацию физиолого-био- химических процессов) в витамине D для здоровых детей в возрасте от 0 до 18 лет составляет 10 мкг (400 МЕ) [1]. Нормы физиологической потребности — это уровень суточного потребления, достаточный для удовлетворения физиологических потребностей не менее чем 97,6% возрастной группы населения [1]. Следует отметить, что при разработке данного норматива на основании отечественного и зарубежного опыта величина рекомендуемого суточного потребления витамина D для детей старше 3 лет была увеличена в 4 раза (с 2,5 до 10 мкг), а для взрослых — в 2 раза (с 5 до 10 мкг).
Как уже отмечалось, витамин D синтезируется в коже под действием УФ-излучения, а также поступает с пищей. Источником витамина D3 являются продукты животного происхождения. Наиболее богатые природные источники — жир печени морских рыб, а также некоторые виды рыбы [2].
Согласно рекомендациям по рациональным нормам потребления пищевых продуктов, отвечающим современным требованиям здорового питания2 (приказ Минздрава России от 19 августа 2016 г. № 614), потребление рыбы взрослым населением должно быть на уровне 22 кг/год. Потребление рыбы взрослым населением, сниженное в конце прошлого века, постепенно увеличивается, и в настоящее время в среднем соответствует рекомендуемым нормам, однако информация о том, какие именно виды рыбы преимущественно употребляет население, отсутствует [3]. Однако, по данным Федеральной службы государственной статистики, потребление рыбы детьми не достигает рекомендуемых норм (рис. 6.1) [4]. Яйца, масло сливочное, мясо, молоко также содержат небольшие количества этого микронутриента.
Витамины — это компоненты пищи, они не относятся к лекарственным средствам. Различают профилактические и лечебные дозы витаминов (табл. 6.1) [5].
Недостаточное потребление витамина D c пищей должно компенсироваться дополнительным его потреблением в составе обогащенных этим витамином пищевых продук-
тов, биологически активных добавок к пище или витамин- 67 ных (витаминно-минеральных) комплексов.
Рис. 6.1. Частота потребления рыбы (отварной, жареной, соленой, копченой) детьми в возрасте 3–13 лет [4] |
|||||
|
40 |
|
|
|
|
|
35 |
35 |
|
|
|
|
|
|
|
|
|
|
30 |
|
|
|
|
% |
25,9 |
|
|
|
|
|
|
|
|
|
|
детей, |
25 |
|
22,4 |
|
|
|
|
|
|
||
20 |
|
|
|
|
|
|
|
|
|
|
|
Число |
15 |
|
|
|
|
|
|
|
9,3 |
|
|
|
10 |
|
|
7,4 |
|
|
|
|
|
||
|
5 |
|
|
|
|
|
0 |
|
|
|
|
|
Ежедневно |
Один раз |
Несколько раз |
Один раз |
Практически |
|
или несколько раз |
в неделю |
в месяц |
в месяц |
не употребляют |
|
в неделю |
|
|
или реже |
|
Таблица 6.1. Дозы витаминов и их предназначение [5] |
|
|
|
||
Название |
|
Размер |
Предназначение |
|
|
|
|
Профилактические |
|
Дозы, близкие к физиологической |
Предотвращение гиповитаминозов. |
(физиологические) |
|
потребности или рекомендуемому |
Полное обеспечение потребности организма |
|
|
суточному потреблению |
в витаминах |
|
|
|
|
Лечебные |
|
Превышают потребность в 10–100 раз |
Быстрая ликвидация авитаминоза. Выступают в роли |
(терапевтические) — |
|
|
фармакологических веществ, оказывая положительный |
витаминотерапия |
|
|
эффект при некоторых патологических процессах |
|
|
|
|
|
|
|
|
1МР 2.3.1.2432-08. Нормы физиологических потребностей в энергии и пищевых веществах для различных групп населения Российской Федерации. Методические рекомендации (утв. Роспотребнадзором 18.12.2008). Доступно на: http://legalacts.ru/doc/mr-2312432-08- normy-fiziologicheskikh-potrebnostei-v-energii/ Ссылка активна на 17.01.2018.
2Приказ Минздрава России от 19.08.2016 № 614 «Об утверждении Рекомендаций по рациональным нормам потребления пищевых продуктов, отвечающих современным требованиям здорового питания». Доступно на: https://www.rosminzdrav.ru/news/2016/08/26/3128- prikazom-minzdrava-rossii-utverzhdeny-rekomendatsii-po-ratsionalnym-normam-potrebleniya-pischevyh-produktov.
|
Профилактические дозы витаминов — это дозы, близкие |
детей старше 3 лет и взрослых) должно составлять не менее |
|
|
к физиологической потребности организма в витаминах. |
15% и не более 50% от нормы физиологической потребности |
|
|
Эти дозы обеспечивают полноценность пищи и снижают |
(т.е. в диапазоне от 1,5 до 5 мкг)4. Такие дозы используются |
|
|
риск нехватки витаминов. Профилактика витаминной недо- |
для восполнения недостаточного поступления витаминов |
|
|
статочности направлена на обеспечение полного соответ- |
с пищей, улучшения обеспеченности организма и устранения |
|
|
ствия между потребностями в витаминах и их поступлением |
существующего алиментарного дефицита витамина D. |
|
|
с пищей. В то же время многие витамины являются не только |
Более высокие суточные дозы витаминов следует рас- |
|
|
антигиповитаминозными средствами. Активно влияя на раз- |
сматривать в качестве лечебных или терапевтических. |
|
|
личные функции организма, они могут вызывать положи- |
В полной мере это относится к витамину D. |
|
|
тельный эффект и при различных патологических процессах |
Витамины — это компоненты пищи, они не относят- |
|
|
и поэтому могут рассматриваться в широком смысле как |
ся к лекарственным средствам. Витамины применяют как |
|
|
фармакологические вещества. Однако эти свойства витами- |
специфические средства для предупреждения и лечения |
|
|
ны проявляют в дозах, значительно превышающих физио- |
гипо- и авитаминозов, вызванных их дефицитом в питании. |
|
|
логическую потребность (иногда в десятки и даже сотни раз). |
Вместе с тем в отношении витаминов существует опреде- |
|
|
Для наглядности дозы витаминов, содержащиеся в пищевых |
ленная путаница, обусловленная в первую очередь исполь- |
|
|
продуктах, витаминно-минеральных комплексах и их лечебные |
зованием в питании разных доз витаминов, а также их при- |
|
|
дозы представлены на одной шкале (рис. 6.2), где за 100% при- |
менением в качестве неспецифических средств при лечении |
|
|
нято рекомендуемое суточное потребление витаминов. |
некоторых заболеваний. Чтобы разобраться в этом вопросе, |
|
|
В соответствии с Едиными санитарно-эпидемиологиче- целесообразно обратиться к схеме (рис. 6.3), позволяющей |
||
|
скими и гигиеническими требованиями к товарам, подлежа- |
наглядно изучить градацию доз витаминов и понять смысл |
|
|
щим санитарно-эпидемиологическому надзору (контролю) |
дефиниций, используемых в их отношении [6]. Согласно |
|
|
Таможенного союза и ЕврАзЭС3, минимальное содержа- |
этой схеме, как недостаточное, так и избыточное потре- |
|
|
ние витамина в составе биологических активных добавок |
бление микронутриента может вызывать нежелательные |
|
|
к пище должно быть не менее 15% от нормы физиологиче- |
последствия. U-образная зависимость многих физиологиче- |
|
|
ской потребности (т. е. 1,5 мкг, или 60 МЕ), а максималь- |
ских показателей от дозы принимаемого витамина (соответ- |
|
|
ное содержание для детей от 1,5 до 3 лет — не превышать |
ственно обратная ей куполообразная зависимость от уровня |
|
|
50% от нормы физиологической потребности (5 мкг, или |
витамина в крови) характерна для всех витаминов. |
|
68 |
|||
200 МЕ), для детей 3–14 лет — 100% от нормы физиологи- |
Недостаточная величина потребления — величина, |
||
|
|||
|
ческой потребности (10 мкг, или 400 МЕ). |
ниже которой у большинства здоровых людей через опреде- |
|
|
Содержание витамина D в суточной порции обогащенного |
ленный отрезок времени будут возникать симптомы недо- |
|
|
(витаминизированного) пищевого продукта массового потре- |
статочности, выявляемые клинически, функционально или |
|
|
бления (т.е. предназначенного для использования в питании |
биохимическими методами. |
|
Рис. 6.2. Содержание витаминов в пищевых продуктах, витаминно-минеральных комплексах и лекарственные дозы (в % от рекомендуемого суточного потребления) [4]
1000
Лекарственные дозы
100
300
|
Витаминные комплексы |
|
(биологические активные добавки к пище) |
200 |
|
|
|
100 |
(Рекомендуемое суточное потребление) |
|
|
|
Физиологическая потребность |
|
Обогащенные витаминами продукты |
0
Пищевые продукты
3Утверждены Решением Комиссии Таможенного союза от 28 мая 2010 г. № 299 (в редакциях Решений Комиссии Таможенного союза от 17.08.2010 № 341; 18.11.2010 № 456; 02.03.2011 № 571; 07.04.2011 № 622; 18.10.2011 № 829; 09.12.2011 № 889; Решений Евразийской экономической комиссии от 19.04.2012 № 34; 06.11.2012 № 208; 15.01.2013 № 6). Доступно на: http://www.svetlcge.by/wp-content/
uploads/2013/02/EST.pdf Ссылка активна на 17.01.2018.
4Технический регламент Таможенного союза ТР ТС 021/2011 от 09.12.2011 № 880 «О безопасности пищевой продукции». Доступно на: http://www.eurasiancommission.org/ru/act/texnreg/deptexreg/tr/Documents/TR%20TS%20PishevayaProd.pdf
Верхний допустимый уровень потребления — наибольликвидировать существующий дефицит в короткие сроки,
ший уровень суточного потребления витаминов, который |
а пригодны лишь для предотвращения ухудшения вита- |
не представляет опасности развития неблагоприятных воз- |
минной обеспеченности. Между дозой витамина и сроком |
действий на показатели состояния здоровья практически |
достоверного повышения его уровня в крови существует |
у всех лиц общей популяции. |
обратная зависимость: чем меньше доза витамина, тем более |
Верхний предел безопасного потребления — величина |
длительный срок требуется для ликвидации витаминной |
потребления пищевых веществ, которая безопасна для боль- |
недостаточности, и, наоборот, чем более высокая доза, тем |
шинства здоровых людей и выше которой у части людей |
более короткий срок необходим для оптимизации витамин- |
через какое-либо время могут проявляться побочные явле- |
ной обеспеченности [5, 13]. При этом продолжительность |
ния и симптомы токсичности [7] (табл. 6.2) [8–12]. |
приема, необходимая для достоверного повышения концен- |
Оказалось, что дозы, составляющие 30–50% от физиотрации конкретного витамина в |
крови, весьма отличается |
логической потребности организма в витаминах, не могут для разных витаминов (табл. 6.3) |
[5]. |
Рис. 6.3. Теоретическое представление неблагоприятного влияния на здоровье как недостаточного, так и избыточного |
||||
потребления микронутриентов [6] |
|
|
|
|
РНП |
ВДУП |
NOAEL |
ВПБП |
|
(RLV) |
(UL) |
|
(LOAEL) |
|
|
|
Факторы |
|
|
|
неопределенности |
|
||
Потребление пищи |
|
|
|
|
Риск |
|
|
69 |
|
|
|
|
||
|
Пределы безопасного потребления |
|
|
|
Риск недостаточного |
Доза микронутриента в рационе |
Риск избыточного |
||
потребления |
потребления |
|||
|
|
|||
Примечание. NOAEL (No-observed-adverse-effect level) — уровень, не вызывающий неблагоприятного влияния; LOAEL (Lowest- |
||||
observed-adverse-effect level) — верхний предел безопасного потребления (ВПБП): наименьший уровень потребления, ока- |
||||
зывающий неблагоприятный эффект; UL (Tolerable upper intake level) — верхний допустимый уровень потребления (ВДУП): |
||||
приемлемый верхний уровень потребления; RLV (Reference labelling values) — величина для расчета при маркировке пищевого |
||||
продукта, РНП — рекомендуемая норма потребления; RDA (Recommended daily allowance for labelling purposes) — рекомендуе- |
||||
мая суточная норма потребления. |
|
|
|
|
Таблица 6.2. Градации уровней потребления витамина D [8–12]
|
РНП [8] или |
Верхний допустимый |
Верхний допустимый |
Лечебные дозы |
|
Возраст |
адекватный уровень |
уровень потребления |
уровень потребления |
||
[11, 12] |
|||||
|
потребления [9] |
в составе БАД [9] |
(UL) [6, 10] |
||
|
|
||||
|
|
|
|
|
|
Взрослые |
10 (400 МЕ) |
15 (600 МЕ) |
50 (2000 МЕ) |
3000–100 000 МЕ |
|
|
|
|
|
|
|
Дети 0–10 лет |
10 (400 МЕ) |
5–10 (200–400 МЕ) |
25 (1000 МЕ) |
25 000–75 000 МЕ |
|
|
|
|
|
||
Дети 11–18 лет |
10 (400 МЕ) |
10 (400 МЕ) |
50 (2000 МЕ) |
||
|
|||||
|
|
|
|
|
Примечание. РНП — рекомендуемые нормы потребления, БАД — биологические активные добавки.
Таблица 6.3. Зависимость эффективности витаминно-минеральных комплексов от дозы витаминов и срока их приема [5]
Суточная доза |
Срок приема |
Повышение уровня в крови (р 0,05) |
|
|
|
|
|
|
20 дней |
С |
|
50% РНП |
|
|
|
2 мес |
Е |
||
|
|||
|
|
|
|
|
2–4 мес |
В2, В6 |
|
|
10–14 дней |
С |
|
100% РНП |
|
|
|
4 нед |
Е |
||
|
|||
|
|
|
|
|
4–6 нед |
А, В2, В6 |
|
300–1000% РНП |
2–3 нед |
В2, В6, Е |
Примечание. РНП — рекомендуемая норма потребления (норма физиологической потребности).