Материал: Методичка ТОЭ часть вторая

Внимание! Если размещение файла нарушает Ваши авторские права, то обязательно сообщите нам

Для нахождения постоянных интегрирования учтем, что в общем слу-

чае uC 0 0

и в соответствии с первым законом коммутации

duC

 

 

 

i 0

0

,

dt

 

0

C

запишем для

t 0 два уравнения:

 

 

 

 

 

 

 

 

 

 

 

 

 

 

 

 

 

uC 0 U0

A1 A2 ,

 

 

 

 

 

 

 

 

0 p1 A1

p2 A2 ,

 

 

 

 

 

 

 

решая которые, получим постоянные интегрирования и выражение для uC(t):

 

A1

U0

uC 0

 

p2

 

 

, A2

U0

uC 0

 

 

 

p1

.

 

 

 

p1

p2

 

 

p2

p1

 

 

 

 

 

 

 

 

 

 

 

 

 

 

 

 

 

 

 

 

 

 

u t U0

U0

u 0

 

 

 

p2

e p1t

 

p1

 

 

e p2t .

 

 

 

 

 

 

 

 

 

 

 

 

 

c

 

 

 

 

C

 

 

p1

 

p2

 

 

 

p1 p2

 

 

 

 

 

 

 

 

 

 

 

 

 

 

 

 

 

 

 

 

 

 

Ток в последовательной R-L-C цепи

 

 

 

 

 

 

 

 

 

 

 

 

 

 

 

 

 

i t C

duC

С U

u 0

 

p1 p2

 

 

e

p1t

e

p2t

 

U

0

u 0

 

e p1t

e p2t

 

 

 

 

 

 

 

 

 

 

 

 

 

 

dt

 

0

C

 

p1

p2

 

 

 

 

 

 

 

 

C

 

L p1

p2

 

 

 

 

 

 

 

 

 

 

 

 

 

 

 

 

и напряжение на катушке индуктивности

 

di

 

 

 

p e p1t

p

2

e p2t

 

uL t L

 

U0

uC

0

1

 

 

.

 

dt

p1

p2

 

 

 

 

 

 

 

 

 

На рис. 1.10 представлены качественные кривые uC t , i t

и u L t , соот-

ветствующие апериодическому переходному процессу при uC 0

0.

Для апериодического переходного режима с критическим сопротивлением на основании (1.12) находим сумму принужденной и свободной составляющих напряжения на конденсаторе:

u

C

t

U

0

A

A t e pt .

 

 

 

1

2

При t 0 запишем два уравнения для определения постоянных интегри-

рования:

 

 

 

 

 

 

 

 

 

uC 0

U0

A1;

 

 

 

pA1

A2

0.

Таким образом,

21

uС t U0 U0 uС 0 1

R

t e pt

2L

 

 

и

 

duC

 

 

 

 

U0 uC 0

 

R

 

A e pt

pA e pt

pA te pt

CpA te pt

te

 

t .

i t C

2L

 

 

 

dt

2

1

2

2

L

 

 

 

 

 

 

 

 

 

 

 

Для колебательного переходного процесса на основании (1.13) находим сумму принужденной и свободной составляющих напряжения на конденсаторе:

u t U

0

Ae

t sin

0

t

.

C

 

 

 

 

 

Для нахождения постоянных интегрирования при t

0 запишем два уравнения:

uC 0

 

 

U0

Asin

;

 

 

0

Asin

A 0 cos .

 

Решая уравнения, получим постоянные интегрирования:

A uC 0 U0 sin , tg

0 .

Определяем уравнения для напряжения на конденсаторе uC (t) и тока в цепи:

u

 

t

 

 

U

 

 

 

 

uC 0

 

U0

e

t

 

sin

 

t cos

 

 

 

 

cos

 

t sin

 

 

U

 

 

 

 

u

 

0

 

U

 

 

e

t

C

 

 

0

 

 

 

 

sin

 

 

 

 

 

0

 

 

 

 

0

 

 

0

 

 

C

 

0

 

 

 

 

 

 

 

 

 

 

 

 

 

 

 

 

 

 

 

 

 

 

 

 

 

 

 

 

 

 

 

 

 

 

 

 

 

 

 

 

 

 

 

 

 

 

 

 

 

 

 

 

 

 

 

 

 

 

 

 

 

 

 

 

 

 

 

 

 

 

 

 

 

 

 

 

 

 

 

 

 

 

 

 

 

 

 

 

 

 

 

 

 

 

 

 

 

 

 

 

 

 

 

 

 

 

 

 

 

 

 

 

 

 

 

 

 

uC 0

U0

 

 

t

 

 

 

 

 

 

 

 

 

 

 

 

 

 

 

 

 

 

 

 

 

 

 

sin

 

 

 

t

cos

 

t

 

U

 

 

 

 

e

 

2

2

 

sin

 

 

t

 

 

arctg

0

 

 

 

 

 

 

 

 

 

0

0

 

0

 

 

 

 

 

 

 

 

 

 

 

 

0

 

 

0

 

 

 

 

 

 

 

 

 

 

 

 

 

 

 

 

 

 

 

 

 

 

 

 

 

 

 

 

 

 

 

 

 

 

 

 

 

 

 

 

 

 

 

 

 

 

 

 

 

 

 

 

 

 

 

0

 

 

 

 

 

 

 

 

 

 

 

 

 

 

 

 

 

 

 

 

0

 

 

 

 

 

 

 

 

 

 

 

 

 

 

 

 

 

 

 

 

 

 

 

 

 

 

 

U

 

 

 

uC

0

 

 

U0

e

 

t

sin

 

 

 

t

arctg

 

0

 

 

;

 

 

 

 

 

 

 

 

 

 

 

 

 

 

 

 

 

 

 

 

 

0

 

 

 

 

 

 

 

 

 

 

 

 

 

0

 

 

 

 

 

 

 

 

 

 

 

 

 

 

 

 

 

 

 

 

 

 

 

 

 

 

 

 

 

 

LC

 

 

 

 

 

 

 

 

 

 

 

 

 

 

 

 

 

 

 

 

 

 

 

 

 

 

 

 

 

 

 

 

 

 

 

 

 

 

 

 

 

 

 

 

 

 

 

 

 

 

 

 

 

 

 

 

 

 

 

 

 

 

 

 

 

 

 

 

 

 

 

 

 

 

 

 

 

 

 

 

 

 

 

0

 

 

 

 

 

 

 

 

 

 

 

 

 

 

 

 

 

 

 

 

 

 

 

 

 

 

 

 

 

 

 

 

 

 

 

 

 

 

 

 

 

 

 

 

 

 

duC

 

 

 

 

 

 

 

 

 

 

 

 

2

 

 

2

 

 

 

 

 

 

 

 

 

U0

uC 0

 

 

 

 

 

 

 

 

 

 

 

 

 

i t

 

 

C

 

 

 

C U0

 

 

uC 0

 

 

0

 

 

 

e

 

t

sin

0t

 

 

e

 

t

sin

0t .

 

 

 

 

 

 

 

dt

 

 

 

 

 

 

 

 

 

0

 

 

 

 

 

L

 

 

0

 

 

 

 

 

 

 

 

 

 

 

 

 

 

 

 

 

 

 

 

 

 

 

 

 

 

 

 

 

 

 

 

 

 

 

 

 

 

 

 

 

 

 

 

 

 

 

 

 

 

 

 

 

 

 

 

 

 

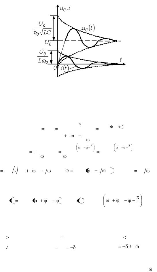
На рис. 1.11 представлены качественные кривые uC t

 

 

 

и

i t , соответст-

вующие колебательному переходному процессу при

uC 0

 

 

0.

 

 

 

 

 

 

22

Рис.1.11

При подключении R-L-C-цепи к источнику синусоидального напряжения для нахождения принужденных составляющих тока в цепи и напряжения на конденсаторе следует воспользоваться символическим методом расчета, в соответствии с которым

 

 

 

 

 

 

 

 

Ume

j U

 

 

 

 

 

 

 

 

 

 

 

 

 

Iпрт

Um

 

 

 

 

 

 

 

Ime

j

U

 

;

 

 

 

 

 

 

Z

 

R

j L j

1

 

 

 

 

 

 

 

 

 

 

 

 

 

 

 

 

 

 

 

 

 

 

 

 

 

 

 

 

 

C

 

 

 

 

 

 

 

 

 

 

 

 

 

 

 

 

 

 

 

 

 

 

 

 

 

 

 

 

 

 

 

1

 

 

 

 

 

Im

j

U

 

 

 

 

 

 

j

U

 

 

 

 

 

 

 

 

2

 

 

 

 

2

,

 

 

 

 

 

 

 

 

 

 

 

 

 

 

 

 

 

 

 

 

 

 

 

 

UCпрт

j

 

 

 

Iпрт

 

 

C

e

 

 

 

 

 

UCme

 

 

 

 

 

 

 

C

 

 

 

 

 

 

 

 

 

 

 

 

 

 

 

 

 

 

 

 

 

 

 

 

 

 

 

где Im Um R2

( L 1

 

C)2 ;

 

arctg

L

 

1 C / R;

UCm Im C .

Таким образом, уравнения принужденных составляющих тока в цепи и напряжения на конденсаторе

iпр t Im sin t

U

; uCпр t UCm sin t

U

2 .

В зависимости от величины активного сопротивления возможны три режима:

1. R

Rкр ;

2.

R

Rкр ;

3. R

Rкр ;

p

p

2

p

p

2

p1,2

j 0

1

 

1

 

 

 

Наибольший интерес представляет третий режим, связанный с появлением во время переходного процесса собственных колебаний с частотой 0 . При

23

этом возможны, в зависимости от соотношения частот собственных колебаний и напряжения источника, три характерные варианта: 1 - 0 ; 2 - 0 ;

3 -

0 - которые представлены на рис. 1.12,а,б,в соответственно.

а)

б)

с)

Рис.1.12

1.5. Операторный метод расчета переходных процессов. Операторное изображение функций, их производных и интегралов

Сущность операторного метода заключается в том, что функции f t ве-

щественной переменной t, которую называют оригиналом, ставится в соответствие функция F p комплексной переменной p s j , которую называют

изображением. В результате этого производные и интегралы от оригиналов заменяются алгебраическими функциями от соответствующих изображений (дифференцирование заменяется умножением на оператор р, а интегрирование

– делением на него), что в свою очередь определяет переход от системы интег- ро-дифференциальных уравнений к системе алгебраических уравнений относительно изображений искомых переменных. При решении этих уравнений находятся изображения и, далее, путем обратного перехода – оригиналы. Важнейшим моментом при этом в практическом плане является необходимость определения только независимых начальных условий, что существенно облегчает расчет переходных процессов в цепях высокого порядка по сравнению с классическим методом.

Изображение F p заданной функции

f t

определяется в соответствии с

прямым преобразованием Лапласа:

 

 

 

F p

e pt f

t dt .

(1.14)

 

0

 

 

В сокращенной записи соответствие между изображением и оригиналом обозначается как:

24

.

 

F p f t или F p

L f t .

.

 

Следует отметить, что если оригинал

f t увеличивается с ростом t, то

для сходимости интеграла (1.14) необходимо более быстрое убывание модуля

e St . Функции, с которыми встречаются на практике при расчете переходных процессов, этому условию удовлетворяют.

В качестве примера в табл. 1 приведены изображения некоторых характерных функций, часто встречающихся при анализе переходных режимов [].

Таблица 1.1

Изображения типовых функций

Оригинал

f t

А

 

e t

 

sin

t

 

cos

t

 

sh

t

 

ch

t

Изображение

F p

 

A

 

 

1

 

 

 

 

 

 

p

 

 

 

 

 

 

 

p

 

 

 

p

 

p

 

p2

2

 

 

p2

2

 

 

p2

2

 

 

p2

2

 

 

 

 

 

 

 

 

 

 

 

 

 

Отметим основные свойства изображений функций.

1. Изображение суммы функций равно сумме изображений слагаемых:

n n

f t

F p .

(1.15)

1 1

2.При умножении функции на постоянный коэффициент на тот же коэффициент умножается изображение:

Af t AF p .

(1.16)

С использованием этих свойств и данных табл. 1, определим изображение экспоненциальной функции:

U

 

1 e t

U0

 

U0

.

0

 

 

 

 

p

 

p α

 

 

 

 

Запишем изображение производной функции. В курсе ТОЭ [] доказывается, что

если существует изображение функции f

t

F p , то df dt pF p f 0 ,

где f 0 - начальное значение функции

f

t .

Таким образом, для напряжения на индуктивном элементе можно записать:

uL

t L

di

LpI p Li 0

(1.17)

dt

 

 

 

 

или при нулевых начальных условиях из (1.17)

uL

t L

di

 

LpI p .

dt

 

 

 

 

25