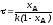
4.2.9. Какими уравнениями можно пользоваться для расчета времени реакции в изотермическом реакторе идеального смешения непрерывном при проведении необратимой реакции второго порядка A + B = R + S?
|
|
|
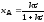
4.2.10. Из приведенных зависимостей найдите все уравнения, которые в различных случаях используются в качестве математического описания процесса в изотермическом реакторе идеального смешения непрерывном:
|
|
|
4.2.11.
В каких
координатах
площадь
фигуры используют для расчета графическим
способом времени реакции в изотермическом
реакторе идеального вытеснения?
1 2 3
4 5 6
4.2.12. По какому из приведенных ниже уравнений можно рассчитывать степень превращения для реакции первого порядка A → 2R, проводимой в реакторе идеального смешения непрерывного действия?
4.3.1. Известно, что при проведении простой необратимой реакции время реакции для достижения заданной степени превращения в реакторе идеального вытеснения (РИВ) меньше, чем в реакторе идеального смешения непрерывном (РИС-н). Кроме того, за одно и то же время пребывания, достигнутая степень превращения в РИВ выше, чем в РИС-н. Справедливо ли общее утверждение, что режим идеального вытеснения эффективнее режима идеального смешения?
да, РИВ всегда эффективнее РИС-н;
да, РИВ эффективнее РИС-н, включая реальные реактора с режимами вытеснения и смешения;
справедливо только для изотермических процессов;
нет, утверждение неверно;
да, для простых реакций в изотермических реакторах;
при проведении сложных реакций в зависимости от соотношения скоростей целевого и побочного маршрутов реакции РИС-н может быть эффективнее РИВ (максимальная селективность по целевому продукту при заданной степени превращения);
эффективность реактора зависит от кинетической модели реакции.
4.3.2. Какой реактор: идеального вытеснения или идеального смешения непрерывный имеет большую производительность при прочих равных условиях, если порядок реакции n = 0?
реактор идеального вытеснения, так как заданную степень превращения в нём можно достичь за меньшее время;
реактор идеального смешения непрерывный, так как изменение концентрации в нём от начального до конечного значения происходит мгновенно;
реакторы имеют одинаковую производительность, так как при нулевом порядке реакции и одинаковом времени реакции достигается одна и та же степень превращения исходного компонента.
4.3.3.
Как изменяются концентрации реагентов
A
и B
по длине l
реактора вытеснения для реакции A
+ B
= R
+ S
(реагент B
взят в некотором избытке, начальные
концентрации R
и S
равны нулю)?
1 2 3 4
4.3.4. Как изменяется в реакторе вытеснения степень превращения реагентов A и B для реакции A+B→R+S (реагент A взят в некотором избытке)?

1 2 3 4 5
4.3.5.
Какова зависимость дифференциальной
селективности SR'
по продукту R
от концентрации реагента А для реакции
, если n1
> n2?

1 2 3 4 5
4.3.6. Как изменяются степени превращения реагентов А и В по длине реактора вытеснения для реакции А + В = R + S (реагент В взят в некотором избытке, начальные концентрации R и S равны 0)?

1 2 3 4
4.3.7. Как изменяются по длине реактора вытеснения концентрации исходных реагентов в реакции А+В→R+S (реагент А взят в некотором избытке, начальные концентрации R и S равны 0)?

|
|
1 2 3 4 5
4.3.8. Изменение концентрации исходного реагента во времени t и по объему периодического реактора идеального смешения имеет вид:

1 2 3 4
4.3.9. Для какого идеального потока характерны следующие изменения концентрации са исходного вещества А и его степени превращения хA по объему реактора vp?

для потока идеального смешения в проточном реакторе;
для потока идеального вытеснения;
k1 k2
4.3.10. Протекает последовательная необратимая реакция типа А R S. Изменение концентраций реагентов во времени характеризуется кривыми сA, сR, сS.
А) Б) В)
Каково соотношение между k1 и k2 в каждом из этих трех случаев?
k1 ~ k2; В)
k1 > k2; А)
k1 < k2; Б)
4.4.1. Установите соответствие

А Б В Г

Д Е Ж З

И К Л М Н
реактор для гетерогенных процессов в псевдоожиженном слое (обжиг колчедана); Л)
емкостной твердофазный реактор (процесс коксования угля); Ж)
трубчатый проточный реактор (термический крекинг в нефтепереработке); З)
емкостной периодический реактор с пропеллерной мешалкой (процессы органического синтеза); Г)
колонный барботажный реактор (процессы органического синтеза); Н)
трубчатый реактор для каталитических процессов (процессы органического синтеза); К)
трубчатый проточный реактор (производство 3-хлоропрена); Б)
реактор для каталитических процессов в псевдоожиженном слое (окисление нафталина); М)
емкостной периодический реактор с лопастной мешалкой (производство красителей); Д)
емкостной периодический реактор с мешалкой для вязких жидкостей (производство полимеров); А)
емкостной полый пламенный реактор (синтез соляной кислоты); В)
радиальный каталитический реактор (паровая конверсия СО); И)
адиабатический реактор (каталитическая очистка отходящих газов). Е)
4.4.2. В изотермических условиях проводится простая необратимая реакция A→R до степени превращения xA. В каких реакторах или системе реакторов потребуется для этого наименьшее время при прочих равных условиях?
в реакторе идеального смешения;
в реальном трубчатом реакторе;
в каскаде из трех реакторов смешения;
в реакторе идеального вытеснения;
в системе из последовательно соединенных реактора смешения и реактора вытеснения;
в реакторе идеального вытеснения с полным рециклом;
в реакторе идеального вытеснения с фракционным рециклом.
n1
R A n2
S
.
В
каких реакторах или системе реакторов
можно достигнуть
максимального выхода продукта R при одинаковой степени превращения, если n1 < n2?
в реакторе идеального смешения периодическом;
в реакторе идеального смешения непрерывном;
в реакторе идеального смешения с полным рециклом;
в реакторе идеального смешения с фракционным рециклом;
в каскаде из 2-х реакторов смешения;
в каскаде из 2-х реакторов вытеснения;
в каскаде из 2-х последовательно соединенных реакторов смешения и вытеснения;