1) увеличение концентрации SO2 при постоянной концентрации О2;
2) уменьшение концентрации SO2 при постоянной концентрации О2;
3) увеличение давления;
4) увеличение температуры;
5) уменьшение температуры;
6) вывод SO3 из газовой смеси.
7) Иное – раскрыть.
Выбрать сочетание правильных ответов:
1) 1, 2, 7; 2) 1, 3, 4, 6; 3) 1, 3, 5, 6; 4) 3, 5; 5) 3, 4, 6; 6) 2, 3, 5, 6; 7) Иное
2. С какой целью осуществляют теоретическую оптимизацию процесса:
для выбора наилучшего ввода реагента в реактор;
для эффективного отвода тепла из зоны реакции;
для увеличения скорости процесса;
чтобы сместить равновесие реакции;
чтобы определить необходимый избыток реагента.
3. Экспериментально получено, что при температуре Т1 степень превращения х1. Какое значение х2 можно ожидать, если Т2 > Т1 и остальные условия эксперимента (Vp, V0) постоянны?
|
1) х2 = х1 |
4) х2 ≤ хI |
|
2) х2 < х1 |
5) х2 > хI |
|
3) х2 ≥ х1 |
|
4. Каким будет содержание кислорода при сжигании сероводорода в потоке воздуха при стехиометрическом соотношении O2 к H2S, если концентрация SO2 в сернистом газе составляет 10 об.%?
Ответы:
1) 11%; 2) 12%; 3) 10%; 4) 15%; 5) Иное.
5. Какие данные необходимы для определения необходимого объема катализатора в контактном аппарате?
1) производительность аппарата;
2) сопротивление слоя катализатора;
3) скорость химической реакции;
4) активность катализатора;
5) концентрация реагентов;
6) заданная степень превращения;
7) степень приближения режима к линии оптимальных температур;
8) Иное – раскрыть.
Выбрать сочетание правильных ответов:
1)1, 3, 4, 5, 6; 2) 1, 2, 4; 3)2, 3, 6; 4) 1, 2, 4, 5, 6; 5) 2, 4, 6, 7; 6) 1, 2, 4, 5, 6, 7;
7) Иное.
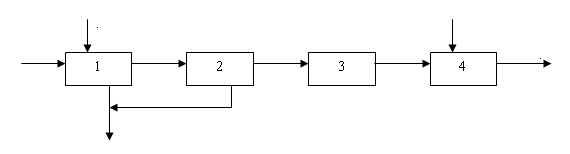
6. В функциональной схеме производства серной кислоты из серосодержащего сырья расставьте потоки над стрелками

и установите соответствие порядкового номера на схеме стадиям процесса, поименованным ниже:
очистка и промывка обжигового газа - 2
окисление SO2 - 3
обжиг серосодержащего сырья -1
десорбция SO2
абсорбция SO3 - 4
F) десорбция SO3
7. Какой режим реализуется в реакционной зоне полочного контактного аппарата с неподвижным слоем катализатора для окисления SO2 в SO3?
ИВ, изотермический;
ИС, адиабатический;
ИС, политропический;
ИС, изотермический;
ИВ, адиабатический.
8. Как изменяется фактическая степень превращения SO2 с увеличением температуры при условие, что τ = const?
снижается;
возрастает;
проходит через минимум;
проходит через максимум;
характер изменения определяется моделью реактора.
9. Чем обусловлена необходимость секционирования реакционной зоны в контактном аппарате?
требованиями по снижению механической нагрузки на поддерживающие устройства;
для улучшения условий теплообмена;
для снижения гидравлического сопротивления аппарата;
для приближения режима процесса к ЛОТ;
для сдвига равновесия реакции;
Иное – раскрыть.
10. Почему процесс окисления SO2 в промышленных условиях начинают при 420°С?
при этом достигается максимальная степень превращения в первом слое катализатора;
это минимальная температура, обеспечивающая необходимую скорость процесса;
эта температура соответствует оптимальному режиму работы предшествующих стадий процесса - отделение обжига и очистки газа;
при этом достигается автотермичность работы контактного аппарата;
это оптимальная температура, обеспечивающая максимальный коэффициент теплопередачи в теплообменнике после первого слоя контактного аппарата.
11. Какой критерий оптимальности используется при построении ЛОТ?
максимальная степень превращения SO2;
минимальная концентрация сернистого ангидрида;
максимальная скорость реакции;
максимальная степень превращения по кислороду;
максимальный выход SO3.
Минимальное время пребывания.
12. Укажите способы увеличения скорости контактного окисления SO2:
увеличение давления;
снижение давления;
увеличение температуры.
снижение температуры;
поддержание температуры на определенном уровне;
увеличение концентрации SO2;
увеличение концентрации О2;
увеличение концентрации SO3;
13. Объясните экстремальный (если он реализуется) характер зависимости объёма катализатора по слоям? ??????????? точно не 3
объясняется конструктивными соображениями;
определяется условиями теплообмена;
объясняется гидродинамическим расчетом;
объясняется изменением активности катализатора.
5) Иное – раскрыть.
14. Какое максимальное содержание SO2 в газовой смеси может быть получено при сжигании серы в кислороде воздуха?
Ответы:
1) 100%; 2) 21%; 3) 16%; 4) 79%; 5) 8,2%.
15. Какие конструкции реакторов для проведения процесса окисления SO2 в присутствии катализатора можно использовать?
РИС-Н изотермический;
РИВ с отводом тепла;
многослойный реактор с подводом тепла;
многослойный реактор с отводом тепла;
реактор с псевдоожжижением и отводом тепла;
16. Чем определяется минимальное время контакта реакционного потока в слое катализатора для процесса окисления SO2 при заданной степени превращения SO2?
условиями оптимального температурного режима;
гидравлическим сопротивлением слоя катализатора;
адиабатическим разогревом;
заданной степенью превращения;
равновесной степенью превращения;
размером зерна катализатора;
объемной скоростью подачи реагентов;
температурным интервалом работы катализатора.
17. Как определяется оптимальное количество катализатора в реакторе при его послойном секционировании для процесса окисления SO2 в SO3?
по значению равновесной степени превращения SO2;
из условий оптимизации режима;
по типу катализатора;
по начальным концентрациям SO2 и О2;
по количеству катализатора, загруженного в аппарат;
по температуре хладагента в теплообменниках.
18. Зачем в процессе окисления SO2 используют катализатор?
для смещения равновесия в сторону образования конечного продукта SO3;
для снижения температуры процесса;
для повышения степени превращения SO2;
для повышения скорости процесса окисления SO2;
для повышения избирательности процесса;
для снижения константы скорости обратной реакции;
19. Может ли быть достигнута заданная степень превращения SO2 в присутствии катализатора, если процесс вести не по ЛОТ, но в интервале работы катализатора?
да, но количество катализатора в реакторе надо увеличить;
нет, т.к. ЛОТ определяет достигаемую степень превращения;
да, но время контакта для достижения заданной степени превращения при этом возрастет;
нет, поскольку катализатор работает не в оптимальном режиме.
20. На каких показателях технологического режима положительно сказывается осуществление процесса окисления SO2 в оптимальном температурном режиме при заданной производительности ?
1) степень превращения SO2 в SO3;
2) скорость процесса окисления SO2;
3) тепловые потери в окружающую среду;
4) продолжительность срока службы катализатора;
5) качество получаемого продукта.
Выбрать сочетание правильных ответов:
1) 1, 3, 4; 2) 4, 5; 3) 1, 2; 4) 2, 4, 5; 5) 1, 4, 5; 6) 2.
21. Расставьте потоки над стрелками и расшифруйте подсистемы в функциональной схеме ХТС производства серной кислоты из серного колчедана:

1-обжиг серосодержащего сырья; 2 — очистка и промывка обжигового газа; 3 - окисление SO2; 4 - абсорбция SO3
22. Почему в промышленных условиях концентрацию SO2 в исходной смеси не рекомендуется превышать выше 10 об.%?
будет превышен предел взрывобезопасности;
уменьшится максимальная (равновесная) степень превращения;
катализатор дезактивируется при высокой концентрации SO2;
головной слой катализатора перегреется;
экономически невыгодно;
будет недостаточно кислорода для полного окисления SO2.
23. За счет чего достигается более полное окисление диоксида серы в производстве серной кислоты по схеме "двойного контактирования - двойной абсорбции"?
увеличивается объём катализатора;
улучшаются условия отвода тепла;
увеличивается скорость процесса;
сдвигается равновесие реакции;
осуществляется вывод продукта из зоны реакции.
улучшаются условия абсорбции SO3;
Иное - раскрыть
24. Предложите мероприятия, способствующие реализации концепции минимизации отходов в производстве серной кислоты:
использование серы в качестве сырья;
выбор оптимальной концентрации орошающей кислоты;
внедрение схемы ДК-ДА;
использование контактного аппарата с кипящими слоями катализатора;
Иное - раскрыть