51
траєкторії руху електронів Конструктивно магнетроном є діод (рис.13а), що складається з анодного блоку (анода) і катоду. Анодний
блок — основний конструктивний елемент магнетрона, що містить уповільнюючу систему і забезпечує під'єднання інших елементів конструкції (вихідного пристрою, катода і ін.).
Уповільнююча система складається із зв'язаних, замкнутих в кільце резонаторів. Катод магнетрона має циліндрову форму і розташовується уздовж вісі анодного блоку. Простір між катодом і анодним блоком називається простором взаємодії, в якому відбувається обмін енергією між електронами і НВЧ полем. Поле НВЧ в просторі взаємодії утворюється за рахунок «провисання» електричної компоненти поля щілин за рахунок крайового ефекту. Розподілення НВЧ поля в просторі взаємодії представлено на рис. 14. Енергія виводиться за допомогою петлі і відрізка лінії передачі (коаксіального або полого хвилеводу), що знаходяться в одному з резонаторів.
Рисунок 14. Розподілення НВЧ поля в просторі взаємодії магнетрону
Електричне поле Еr в магнетроні створюється джерелом анодної напруги Ua, негативний полюс якої підключений до катода, а позитивний до анода. Магнітне поле створюється постійним магнітом або електромагнітом, полюси якого знаходяться поблизу торцевих поверхонь анодного блоку. Електричне поле в магнетроні направлене уздовж радіусів циліндра, а магнітне поле перпендикулярне його вісі.
Якщо магнітне поле відсутнє, то траєкторія електронів співпадає із напрямом силових ліній електростатичного поля, що якісно відображається випадком 1 на рис. 15а. Рух електронів під дією магнітного і електричного полів описується рівнянням Лоренца (випадки 2-4 рис.15а) і відбувається по епіциклоїдам, тобто по кривих, які описує точка кола, що котиться по поверхні катода. Середня швидкість руху електронів визначається відношенням напруг електричного і магнітного полів.
Рисунок 15. Режими роботи магнетрона: а) залежність струму анода від величини індукції магнітного поля;
б) парабола критичного режиму.
Випадок 3 рис. 15а відповідає значенням індукції магнітного поля Вкр коли струм на аноді різко зменшується і електрони повертаються на катод. Цей режим має назву критичного. Для іншого значення
52
потенціалу анодного блока буде існувати інше значення Вкр. Ці співвідношення критичних значень прискорювального потенціалу та магнітного поля визначаються квадратним рівнянням
|
|
1 e |
|
r 2 2 |
|
|||||
Ua êð |
|
|
|
|
Bêð2 ra2 1 |
|
k |
|
|
, |
8 me |
|
|||||||||
|
|
|
ra |
|
|
|||||
|
|
|
|
|
|
|
|
|
|
|
де rk ra – радіуси катоду і аноду відповідно.
Рішення цього рівняння дають парбалу критичного режиму (рис.15б). Як правило магнетрони працюють при значеннях електричного і магнітного полів близьких до критичних.
Флуктуації катодної електронної хмари, що обертається довкола катоду, викликають в резонаторах НВЧ-
коливання. Під дією наведених коливань електронна хмара модулюється по швидкості та по щільності, утворюючи електронні «спиці», які мають форму, показану на рис.16.
|
потоку в НВЧ полі резонаторів анодного блоку. |
|
в просторі взаємодії можна легко пояснити, якщо звернути увагу |
на розподіл |
НВЧ поля (азимутальної його складової) яке зображене на |
рис.14. В залежності від фази коливання біля зазору резонатора електрони будуть отримувати приріст або зменшення азимутальної швидкості, що і приведе до їх групування по щільності. Коли сформовані «спиці» будуть проходити область зазору в гальмуючу фазу НВЧ коливань – вони будуть віддавати свою кінетичну енергію полю,
що в свою чергу приведе до посилення НВЧ коливань.
Умовою резонансу анодного блоку магнетрона так само, як і звичайного кільцевого резонатора, є ціле число довжин хвилі, що укладаються по колу кільця-структури. Якщо позначити довжину хвилі в уповільнюючій
системі упов, то умовою резонансу анодного блоку магнетрона буде |
|
2 ra = n упов |
(1.13) |
де ra — внутрішній радіус анодного блоку магнетрона; N — число резонаторів; п = 0, 1, 2, 3 ... |
|
Цю ж умову можна виразити через різницю фаз коливань ( у будь-яких двох сусідніх резонаторах: |
|
N = 2 πn |
(1.14) |
З (1.14) видно, що різниця фаз коливань в резонаторах може набувати тільки дискретних значень: =2 n / N. |
|
Види коливань анодного блока визначаються номером або величиною фазового зсуву . Багаторезонаторні магнетрони працюють на коливаннях n=N/2, або - виду ( = 180°), так як при цьому виді коливань забезпечуються найкращі характеристики генератора. Робота на - виді потребує парної кількості резонаторів. У
коливань - виду кількість спиць дорівнює половині кількості резонаторів.
Значенням анодної напруги можна задавати швидкість обертання спиць або виконання умови синхронізму
53
між зміною полярності НВЧ поля в резонаторах і проходженням спицями гальмуючої фази цього поля.
Основні характеристики і параметри магнетронів.
Робочі характеристики магнетрона (рис. 17) побудовані для фіксованих значень індукції магнітного поля В при заданому Kст навантаження. З робочих характеристик видно, що при малій анодній напрузі анодний струм в магнетроні відсутній, тобто майже всі електрони, що вилетіли з катода, повертаються назад на катод. При деякому значенні анодної напруги, коли виконується умова синхронізму ve= vф, в магнетроні збуджуються інтенсивні коливання. У цій області при незначному збільшенні анодної напруги різко зростає анодний струм. При збільшенні напруженості магнітного поля інтенсивні коливання в магнетроні збуджуються при вищій анодній напрузі.
При дуже малих і дуже великих значеннях анодного струму робота магнетрона нестійка. Поблизу обласі малих струмів відбуваються стрибкоподібні зміни (перескоки) частоти робочого виду коливань на частоти інших видів коливань, струми збудження яких менше струмів збудження робочого виду коливань.
|
Рисунок 17. Робочі (а) та навантажень (б) характеристики магнетрона: суцільна лінія — вольт-амперна, штрихова
— постійного ККД, штрих-пунктирна — постійній потужності; 1 — при постійній потужності; 2 — при постійній частоті.
В області великих струмів виникають іскріння всередині магнетронів (пробої), що приводять до руйнування активної поверхні катода, а також можуть спостерігатися зриви (пропуски імпульсів) НВЧколивань.
Коефіцієнт корисної дії збільшується із збільшенням напруженості магнітного поля, що пояснюється поліпшенням
умови взаємодії електронів із НВЧполем.
До характеристик навантажень відносяться постійна потужність і частота. Характеристики навантажень,
приведені на рис.17б, побудовані на плоскості комплексного значення коефіцієнта віддзеркалення (круговій діаграмі) для фіксованих значень анодного струму і напруженості магнітного поля. Заштрихована область
відповідає нестійкому режиму роботи магнетрона.
Магнетрони відрізняються простотою конструкції, високим ККД і великою потужністю, що генерується.
Особливо широке застосування магнетрони знаходять в радіолокації як генератори потужних (до десятків мегават)
прямокутних імпульсів НВЧ, а також в промисловості, медицині і побуті як генератори безперервних сигналів потужністю від десятків ватт до десятків кіловатт. У таблиці 5 приведені значення основних усереднених
параметрів імпульсних магнетронів.
Таблиця 5. Усереднені параметри магнетронів
Робочий діапазон частот, |
Максимальна генерована |
Анодна |
Анодний |
ККД |
МГц |
потужність в імпульсі, кВт |
напруга, кВ |
струм, A |
% |
|
|
|
|
|
54
2720.. .2820 |
1100 |
27 |
65 |
63 |
|
|
|
|
|
9375 |
280 |
22 |
27 |
36 |
|
|
|
|
|
8500.. .9600 |
60 |
14,3 |
14 |
30 |
|
|
|
|
|
3000 |
5000 |
48 |
250 |
42 |
|
|
|
|
|
1.8 Генератори дифракційного випромінювання
Генератори дифракційного випромінювання (ГДB) є порівняно новими перспективними джерелами електромагнітного випромінювання міліметрового (ММ) і субміліметрового (субмм) діапазонів довжин хвиль. Їх робота базується на фізичному явищі когерентного дифракційного випромінювання електронного пучка, рухомого поблизу періодичної структури, а як резонансна система використовується високодобротний відкритий резонатор
(ВР). ГДB вигідно відрізняються від інших вакуумних джерел О- типу мм і субмм діапазонів довжин хвиль високою стабільністю частоти, вузьким спектром вихідного сигналу, низьким рівнем шумів, широким діапазоном електромеханічної перебудови і порівняно великим рівнем вихідної потужності. У таких генераторах здійснюється розподілена взаємодія електронних пучків із полями періодичних структур при використанні для енергообміну об'ємних електромагнітних хвиль в просторово-розвинених відкритих електродинамічних системах. Ці системи дозволяють здолати принципову перешкоду, що виникає в класичних генераторах при зменшенні довжини хвилі.
Завдяки унікальним властивостям вихідного сигналу ГДB знаходять широке застосування в наукових дослідженнях, зокрема, для діагностики плазми, в радіоспектроскопії, для накачування квантових парамагнітних підсилювачів хвилі мм діапазону, для забезпечення динамічної поляризації ядерних мішеней, в когерентній радіолокації, в пристроях неруйнівного контролю виробів і в технологічних процесах.
Розгледимо будову ГДB і фізичні принципи, закладені в основу його роботи. Відкрита резонансна система
(ВРС) для типового ГДB (рис. 18) складається з дводзеркального ВР, утвореного сферичним дзеркалом 1 і плоским
(циліндричним) дзеркалом 2. Сферичне дзеркало містить елемент зв'язку з навантаженням, а на плоскому
(циліндровому) дзеркалі в центральній частині розміщена обмежена по ширині періодична структура. (У оротрона періодична структура покриває всю поверхню плоского дзеркала півсферичного ВР, а циліндрові дзеркала не використовуються зовсім.) Електронна гармата формує стрічковий електронний пучок з початковою швидкістю електронів ve, який потім рухається поблизу періодичної структури і утримується від розпадання подовжнім магнітним полем.
Рисунок |
характеристик |
режимів |
|
55
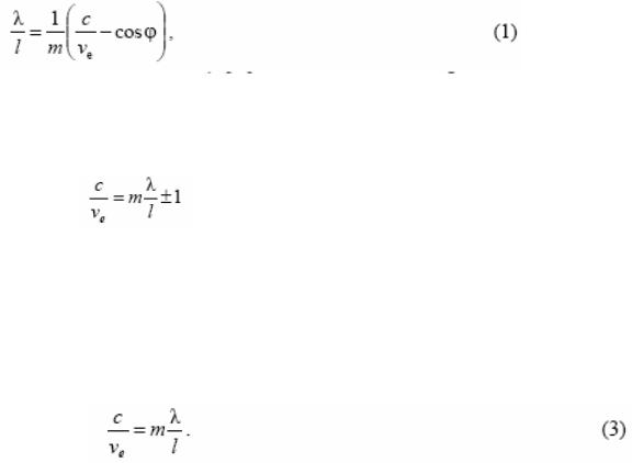
Умова випромінювання для швидких хвиль, що виникають при дифракції власного поля електронів пучка на періодичній структурі, має вид:
де λ – довжина хвилі випромінювання, l – період структури, m = 1, 2, 3 – номер гармоніки швидких хвиль, с–
швидкість світла, φ – кут дифракційного випромінювання (рис. 18а).
Для малих кутів дифракційного випромінювання (φ ≈ 0 и φ ≈ π), що генеруються пучком з попередньої модуляцією по щільності на частоті ωmod = 2πc/λ, швидкість пучка повинна складати
Так як кутовий спектр плоских хвиль, що утворюють гаусівське розподілення власного коливання відкритого резонатора, сконцентрований поблизу вісі резонатора, то для ефективної живлення резонансного коливання в ГДВ кут дифракційного випромінювання електронного пучка повинен складати φ ≈π/2.
При цьому швидкість електронного пучка повинна задовольняти наступному співвідношенню:
Для збудження коливань в ГДВ необхідне виконання умов так званого «потрійного» резонансу:
а) «часовий» резонанс – частота «випадкової» модуляції щільності електронного пучка (або її гармоніка)
повинна збігатися з частотою власного s- коливання у ВР nωmod = ωs;
б) «просторовий» резонанс – кут дифракційного випромінювання повинен відповідати одному з максимумів в кутовому спектрі плоских хвиль, створених s-коливання у ВР (наприклад, φ ≈π/2);
в) резонанс швидкостей або фазовий синхронізм – швидкість електронного пучка (точніше швидкість повільної хвилі просторового заряду в пучку) повинна дорівнювати фазовій швидкості одній з повільних просторових гармонік електричного поля s- коливання, зосередженого поблизу періодичної структури.
Для встановлення моменту самозбудження ГДВ, що характеризується перевищенням потужності дифракційного випромінювання над потужністю втрат у ВР, зазвичай використовують параметр «стартового» струму електронного пучка Ist.
Слід зазначити, що саме наявність «потрійного» резонансу у фізичному принципі дії ГДВ, а також розміщення вузла зв'язку далеко від електронного пучка, забезпечує високу якість вихідного сигналу – високу короткочасну стабільність частоти, вузьку ширину спектральної лінії і низький рівень шумів.
ЕЛЕКТРОННІ Й ІОННІ ФОТОЕЛЕКТРОННІ ПРИЛАДИ
Фотоелектронними приладами називаються електронні прилади, керування струмом яких відбувається за рахунок зміни інтенсивності або спектрального складу падаючого на них світлового потоку. Вони розділяються на електровакуумні, іонні і напівпровідникові. Ці прилади знайшли широке застосовуються у військовій техніці, наукових дослідженнях, медицині, в телебаченні, фотолітографії, техніці звукового кіно, для контролю й автоматизації різноманітних виробничих процесів і т.д.
Основні типи фотокатодів