Материал: konspekt_vpe

Внимание! Если размещение файла нарушает Ваши авторские права, то обязательно сообщите нам

96

Накальні індикаторні прилади конструктивно є вакуумним балоном всередині якого розташовані елементи відображення інформації у вигляді вольфрамових спіральок. робоча температура має не перевищувати

1250ºC для забезпечення більшого терміну роботи. Спіралі кріпляться між опорними штирями. Для підвищення контрасту під ложка робиться темною.

Для індикації на кінці сегментів-спіралей подається ~ або – потенціал.

Накальні індикатори мають великий час готовності до роботи (час за який індикатор досягає 80% своєї номінальної яскравості). Він складає десь 0,2–0,25с.

Рис. Конструкція вакуумного накального індикатора: 1 – затемнена підложка; 2 – штирі-опори; 3 – спіраль накалу

Типічна ВАХ накального індикатора.

Працюють при досить великих струмах, які перетворюються в тепло, тому мають малий ККД. Потрібно врахувати що при холодному матеріалі, тому може відбуватись броски струму при включенні ( в 2 рази –t≈0,1 c).

Перевагою накальних індикаторів є велика яскравість до 10000 кд/м2. За рахунок великої питомої потужності. Це дозволяє використовувати кольорові фільтри.

1.2 Вакуумний люмінісцентний індикатор Є багатоанодним діодом або тріодом, зображення якого формується в результаті випромінювання низько

вольтового люмінофору, який наноситься на аноди та збуджується потоком електронів. Тріодна схема дозволяє керувати індикатором по двум незалежним входам (багаторозрядні).

Використовується один або два оксидних катода з Траб≈900 – 1000°К при цьому випромінювання дуже слабе і не заважає індикації приладу.

97

Рис. Тріодна структура вакуумного індикаторного приладу: 1– керуюча сітка; 2 – анод; 3– люмінофор; 4 – катод; 5

– екран; 6 – під ложка

Для індикації приладу на сітку подається позитивний потенціал, який доприскорює електрони та забезпечує рівномірне покриття анодів-сегментів для однорідної люмінесценції. При наданні на сегмент позитивного потенціалу (інші сегменти знаходяться під потенціалом К), електрони бомбардують люмінофор → випромінювання світла. Відбиті від неактивних сегментів електрони потрапляють на екран або сітку. Напруги на аноді варіюються від 10 до 100 В. Яскравість випромінення до 2500 кд/м2. Потенціал сітки як правило дорівнює потенціалу анода, що спрощує схему живлення, але струм сітки перевищує анодний в декілька разів. Вакуумні люмінесцентні індикаторні прилади по конструкції розділяються на:

1)цифрові сегменти;

2)цифрові сегментні багато розрядні;

3)точкові знакові;

4)матричні.

2 ГАЗОРОЗРЯДНІ ІНДИКАТОРИ (ГІ)

2.1 Загальні властивості Досить високі робочі напруги (сотні В) визначають використання ГІ в апаратурі з мережевим

електроживленням.

Аморфність газового середовища надає можливість створення приладів великих розмірів та форм, а його властивості дозволяють створити функціональні індикатори з адресацією інформації та внутрішньою пам‘яттю.

По принципу дії розділяються на:

а) знакові;

б) шкальні (лінійні);

в) індикаторні газотрони;

г) газорозрядні індикаторні панелі (ГІП);

д) сигнальні індикатори.

98

Робоча точка визначається перетином анодної характеристики з загрузки прямої. Для виникнення розряду потрібно щоб Еа≥Uзап. Ia=( Еа – Uгор)/Ra. Як правило використовується неон з домішками інших інертних газів. Ne

майже не реагує з електродами, що позитивно відзначається на строкі роботи лампи. Яскравість розряду Ne

дорівнює домішками може доходити до 10000 кд/м2 (помаранчево-червоний спектр).

2.2 Знакові індикатори Знакові індикатори є найбільш прості по конструкції і принципу дії. Вони складаються з одного або двох

анодів які оточують цифри катода в кількості 10. Анод виконується у вигляді сітки, яка не перешкоджує візуалізації. Прилад працює в режимі початкового аномального тліючого розряду. В цьому режимі катод – знак повністю покритий тонкою (десяті долі міліметра) областю газу, що випромінює, біля поверхні катоду таким чином формується зображення, яке відповідає знаку катода.

Недоліками цих індикаторів є екранування одним знаком інших, малий кут огляду завдяки висоті стовпчика катодів та необхідності використання екранів затемнення. Тому потім знакомоделюючі індикатори були замінені знакосинтезуючими (подібні вакуумним люмінесцентним).

Використовуються в якості індикаторів великих знаків.

2.3 Сигнальні індикатори Сигнальні індикатори використовують для візуалізації наявності напруги або зовнішнього електричного

поля та інш. Найбільш поширеною є неонова лампа яка складається з скляного балону з неоном + суміш інших інертних газів. В балон впаяні два металевих електрода. Характеризуються напругою ввімкнення та підтримкою розряду. Для отримання інших кольорів використовують люмінесцентні сигнальні лампи. Вони заповнюються гелієм (Не), Ar, Kr, Ks які створюють слабе видиме та інтенсивне УФ випромінення. Останне перетворюється на люмінофорах вілемітах (зелений), гало фосфат кальція (голубий) і інш. Крім сигнальної функції цей тип ламп виконує функцію створення мнемосхем.

2.4 Індикаторний тиратрон

99

Відрізняються малою керуючою потужністю, наявністю декілька входів що дає можливість організувати матричну адресацію та внутрішню пам'ять. Електродна структура індикатора тиратрона (ІнТ) ТХ19А та розподіл

потенціалу в робочому просторі наведено на малюнку.

Рис. Електродна структура та розподіл потенціалів в робочому просторі газорозрядного індикаторного тиратрона.

Початковий розряд на підкатоді ПК існує постійно і плазма цбого розряду, яка розташовується в області С1

та С2 утворює так званий плазмовий катод. Керування основним розрядом на допоміжний анод А1 та анод індикації А2 відбувається за допомогою сіток С1 та С2 що діють на потенціал плазмового катоду. При позитивному потенціалі хоча б на одній сітці між К і сітками для електронів виникає гальмуюче електричне поле (суцільна лінія). Якщо потенціал С1 та С2 буде майже дорівнювати катодному, то електрони з ПКатоду перейдуть до області К→ А1А2 збуджуючи розряд. Розподіл потенціалу при цьому (штрих-пунктир) вказує на наявність плазмового стовпа (ПС) що знаходиться біля анодів. Ультрафіолетове випромінювання плазмового стовпа збуджує люмінофор який перетворює його на видимий світ. Для виникнення розряду необхідно мати низькі рівні напруг на С1 та С2 та високі потенціали UA1 та UA2 що приводить до логічного рівняння включення:

fâìèê U a1í U a 2í U ñ1L U c 2 L ; fвмик=1

Як правило керування увімкненням виконують потенціалами на сітках, які ніяк не впливають на яскравість індикації. ІТ мають властивість внутрішньої пам‘яті, тобто індикатор випромінює … хоча б на одному з А

зберігаються Uгор. , навіть при Uзапирання на С1

та С2.

fïàì U a1ãîð U a 2ãîð .

 

В ІТ при наявності розряду на С1 та С2

оточені іонами, а при відсутності його на них осаджуються електрони.

Використовуються як елемент відображення при створенні матричних панелей. Розмір балона ≈ 10мм. Створені балони одразу з декількома ячейками прямокутної форми.

Недоліки – багато виводів. Складні керуючі ланцюги.

Лінійні (аналогові й дискретні), в яких інформація представляється у вигляді стовпчика, що світиться (довжина його пропорційна силі струму, що протікає скрізь прилад) або у вигляді світної точки (положення точки визначається числом імпульсів, поданих на вхід пристрою, який керує роботою індикатора).

100

Рис. Конструкція та робоча характеристика лінійного шкального індикатора: К- катод; Ф – фіксатор; И – ізолятор; А – циліндричний анод з проріззю для спостерігання інформації

Зчитування інформації виконується по кривій залежності довжині стовпа світла від струму скрізь прилад. Ця залежність має назву робочої характеристики. Вона має нелінійні ділянки на початку із-за впливу фіксатора, а в кінці із-за переходу до аномального тліючого розряду.

Рівняння робочої характеристики можна записати як

Матричні індикаторні панелі.

Матричні індикаторні прилади (або газорозрядні індикаторні панелі - ГІП) – індикатори в яких інформація представляється у вигляді сукупності світлових точок на плоскому екрані, що може складатися з 104 - 107 газосвітних клітинок, що утворюють матрицю з рядів і стовбців.

За принципом дії та конструкцією їх можна рознести на:

--тиратронні ГІП;

--ГІП постійного струму із зовнішньою адресацією;

--ГІП постійного струму із самоскануванням;

--ГІП змінного струму.

Індикаторні тиратронні матриці є груповими приладами, що складаються з багатьох індикаторних комірок розглянутих в розділі тиратронів тліючого розряду. Наявність більше ніж двох сіток дозволяє організувати керування приладу по матричній системі.

Прилад має 16 індикаторних комірок з окремою електродною структурою та баластним тонкоплівковим опором підкатоду. Перші сітки об'єднані у стовбці, а другі – у строки (12 виводів = 8 сіток + 1 підкатод + 1 катод + 2 анода) . При реалізації схеми керування на окремих тиратронах їх кількість сягатиме 96.

Для включення будь-якої комірки панелі достатньо зменшити напругу на першій С1 та другій С2 сітках нижче за потенціал катоду. Сітки припинять перехват електронів розряду між підкатодом та катодом і вони з плазмового катоду перейдуть до анодів утворюючи розряд. В інших комірках розряду не буде, бо для його виникнення необхідна умова одночасного зниження потенціалу на двох сітках.

До переваг тиратронних матричних панелей відносять простоту керування по двом сіткам та низькими, біля 10 В, напругами керування. До недоліків – малу інформаційну ємність, велику кількість виводів відносно кількості елементів (12/16) та складність конструкції.

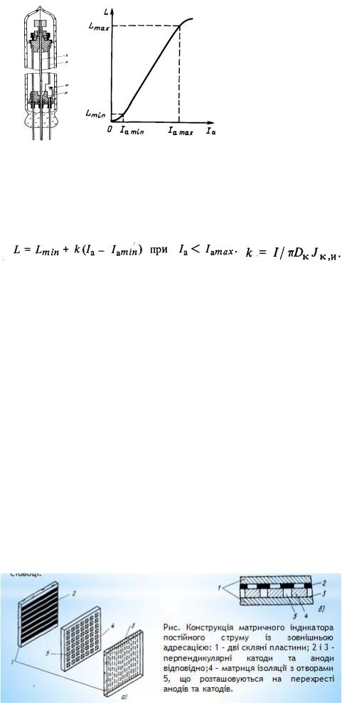
Конструкція ГИП постійного струму із зовнішньою адресацією наведена на рис. Перетини анодів і катодів світло випромінюючої комірки, що утворюються в місцях, електрично і оптично ізольованих одне від одного за допомогою діелектричної матриці, отвори в якій поєднані з місцями перетину електродів. Простір між підкладками заповнений газом. Формування зображення відбувається, коли співпадають в часі імпульси на строчці та стовбці.