ПРИЛОЖЕНИЕ.
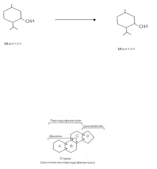
Задача № 1. Метанол входит в состав целого ряда врачебных препаратов, которые обладают обезболивающим, антисептическим и успокающим действием. Напишите схему окисления ментола.
ЭТАЛОН ОТВЕТА:
Ментол имеет свойства вторичного спирта. Вторичные спирты окисляются до кетонов:
[O]
Задача № 2. Стероиды широко распространены в природе и выполняют в организме человека различные функции.
Что лежит в основе структуры стероидов? Напишите формулу и назовите это вещество.
ЭТАЛОН ОТВЕТА: В основе структуры стероидов лежит скелет стерана (циклопентанопергидрофенантрен). Скелет стерана состоит из трех конденсированных колец (А, В, С) в нелинейном сочленении и
циклопентанового кольца (D).
Задача № 3. Лимонен входит в состав лимонного масла и скипидара. Какой продукт получится при гидратации лимонена? Напишите схему реакции.
26
ЭТАЛОН ОТВЕТА:
Задача № 4. Каротин – растительный пигмент желто-красного цвета, содержится во всех красных плодах и овощах. Известные три его изомера α-, β- , γ-, которые отличаются числом циклов и положением двойных связей. Напишите формулу β-каротина, считая, что молекула его состоит из 2-х симметричных частей.
ЭТАЛОН ОТВЕТА:
Задача № 5. Бромкамфора улучшает деятельность сердца, оказывает успокоительное действие на ЦНС. Бромкамфору получают путем бромирования камфары. Составьте уравнение реакции бромирования камфары.
ЭТАЛОН ОТВЕТА: Бромирование камфары относится к реакциям замещения. Учитывая то, что замещения происходит в α-положении в сравнении С = О группой, записываем уравнение реакции
КРАТКИЕ МЕТОДИЧЕСКИЕ УКАЗАНИЯ К РАБОТЕ НА ПРАКТИЧЕСКОМ ЗАНЯТИИ.
В начале занятия осуществляется проверка подготовки студентов к самостоятельной работе. Студенты решают учебные задачи, разбирают и закрепляют теоретический материал: интерпретируют строение и свойства липидов, записывают реакции, которые иллюстрируют химические свойства липидов.
27
Далее студенты начинают выполнять самостоятельную работу. Используя инструкцию к лабораторно-практическому занятию, они выполняют опыты и оформляют протокол лабораторной работы.
Следующим этапом проводится анализ и коррекция самостоятельной работы студентов.
Занятия заканчивается тестовым контролем и подведением итогов работы.
ГЕТЕРОФУНКЦИОНАЛЬНЫЕ СОЕДИНЕНИЯ ОКСИ- И ОКСОКИСЛОТЫ
АКТУАЛЬНОСТЬ ТЕМЫ:
Одним из наиболее распространенных классов органических соединений являются гетерофункциональные соединения, которые содержат в своей структуре различные функциональные группы. Важными представителями являются окси- и оксокислоты. Данные соединения принимают участие в метаболических процессах организма: пировиноградная, щавелевоуксусная, лимонная и яблочная кислоты – участники цикла Кребса; молочная кислота – продукт расщепления глюкозы, а так же она накапливается в мышцах при интенсивной работе вследствие недостатка кислорода, что вызывает восстановление пировиноградной кислоты под действием кофермента НАДН; β-гидроксимаслянная кислота – накапливается в организме больных сахарным диабетом и является предшественником ацетоуксусной кислоты и т.д. так же окси- и оксокислоты содержаться в плодах и ягодах (лимонная кислота – цитрусовые, виноград, крыжовник), кисломолочных продуктах (молочная кислота) и продуктах кисломолочного брожения (пировиноградная кислота).
Производные окси- и оксокислот являются основой для создания лекарственных препаратов. Например, γ-гидроксимаслянная кислота обладает слабовыраженным наркотическим эффектом, а ее соли используются как снотворные и анестезиологические средства; салициловая кислота проявляет антиревматическое, жаропонижающее и противогрибковое действие, её производное – ацетилсалициловая кислота (аспирин) является анальгетиком и противовоспалительным средством.
Преобразование гетерофункциональных соединений в организме, участие в обменных и окислительно-восстановительных процессах обусловлены строением и химическими свойствами данных соединений. Таким образом, умение интерпретировать структуру окси- и оксокислот, прогнозировать их химические свойства и качественно определять наличие данных соединений в различных медико-биологических жидкостях является необходимым для формирования целостного подхода к пониманию метаболических процессов организма и развитию навыков практического определения биологически активных веществ.
28
ЦЕЛИ ОБУЧЕНИЯ:
ОБЩАЯ ЦЕЛЬ:
Уметь интерпретировать структуру и свойства гетерофункционалных соединений как участников метаболических процессов и компонентов лекарственных препаратов.
Достижение данной цели обеспечивается решением конкретных целей.
КОНКРЕТНЫЕ ЦЕЛИ:
УМЕТЬ:
1.Интерпретировать структуру гетерофункционалных соединений.
2.Анализировать химические свойства окси- и оксокислот согласно наличия гидрокси- и карбонильних групп и их положение (α, β, γ) в структуре.
3.Интерпретировать стереоизомерию оксикислот при помощи D- и L- номенклатуры, наличие энантио- и диастереоизомеров.
4.Трактовать биологическое значение гетерофункциональных соединений как компонентов цикла трикарбоновых кислот, основу продуктов окислительно-восстановительных реакций организма и лекарственных препаратов.
СОДЕРЖАНИЕ ОБУЧЕНИЯ:
Содержание обучения должено обеспечивать достижение целей обучения.
ТЕОРЕТИЧЕСКИЕ ВОПРОСЫ:
1.Классификация гетерофункциональных соединений согласно наличию, положению и количеству функциональных групп: карбоксильных, гидроксильных и карбонильных.
2.Реакции нуклеофильного замещения по карбоксильной группе.
3.Реакции нуклеофильного замещения по гидроксильной группе (получение аспирина) и реакции нуклеофильного присоединения по карбонильной группе.
4.Окислительно-восстановительные реакции окси- и оксокислот. Реакции дегидратации оксикислот и реакции декарбоксилирования оксокислот.
5.Стереоизомерия оксикислот D- и L-номенклатура
6.Медико-биологическое значение гетерофункциональных соединений и их производных.
29
ГРАФ ЛОГИЧЕСКОЙ СТРУКТУРЫ ТЕМЫ:
ГЕТЕРОФУНКЦИОНАЛЬНЫЕ СОЕДИНЕНИЯ
структура Оксикислоты
|
|
|
|
α |
|
|
|
β |
|
|
γ |
|
||||
|
|
|
|
|
|
|
|
|
|
|
|
|
|
|
|
|
|
|
|
|
|
|
|
|
|
|
|
|
|
|
|
|
|
|
классификация |
|
|
|
|
|
|
|
|
|
|
|
|
|
|
|
|
по положению |
|
|
|
|
|
|
|
|
|
|
|
|
|
|
|
|
|
|
|
|
|
|
|
|
|
|
|
|
|
|
||
|
функ.группы |
|
|
|
|
|
|
|
|
|
|
|
|
|
|
|
|
|
|
|
|
|
|
|
|
|
|
|
|
|
|
|
|
|
|
|
|
|
|
|
|
|
|
|
|
|
|
|
||
классификацияпо |
|
|
|
монокар- |
|
|
ди-; три |
|||||||||
количеству |
|
|
|
боновые |
|
|
карбонов |
|||||||||
карбокс.групп |
|
|
|
|
|
|
|
|
|
|
|
|
|
|
||
|
|
|
|
|
|
|
|
|
|
|
|
|
|
|||
|
|
|
|
|
|
|
|
|
|
|
|
|
|
|
|
|
|
|
|
|
|
|
|
|
|
|
|
|
|
|
|
|
|
|
|
|
|
|
|
|
|
|
|
|
|
|
|
|
|
|
Химические |
реакции нуклеофильного замещения по гидроксил.групп |
|
|
свойства |
|
|
|
реакции нуклеофильного замещения по карбоксилгрупп. |
реакции окисления |
реакциидегидратации |
D- и L-
Стереоизомерия номенклатура
медико- молочная, β-гидроксимасля-
биологическое нная, γ-гидроксимаслянная, значение яблочная, винная, лимонная
Оксокислоты
α
β
|
|
|
|
дикар- |
|
монокар- |
|
|
|||
боновые |
|
|
боновые |
||
|
|
|
|
|
|
|
|
|
|
|
|
|
|
|
|
|
|
|
|
|
|
|
|
реакции нуклеофильного замещения по карбоксил. групп |
|
реакции нуклеофильного присоединения по карбонил. группе |
|
реакции восстановления |
|
реакции декарбоксилирования |
|
|
|
|
|
|
|
пировиноградная, β-кето- глутаровая, ацетоуксусная, щавлевоуксусная кислоты
30