Точки, в которых скорость равна нулю, называются критическими: А − первая критическая точка, В − вторая.
Запишем уравнение Бернулли для нулевой линии и найдем распределение давления по поверхности цилиндра:
;
.
Безразмерный коэффициент давления
. (2.101)
На поверхности
,
тогда
или
. (2.102)
При
,
равном
и
,
;
при
,
равном
и
,
.
Из уравнения (2.45) легко найти значения
углов
,
при которых
.
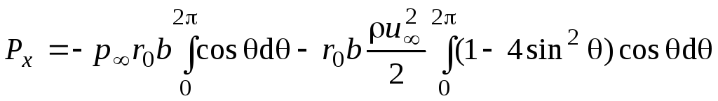
Таким образом, при обтекании цилиндра потенциальным потоком идеальной жидкости распределение давлений и скоростей симметрично относительно осей координат, а это значит, что силы взаимодействия между потоком и цилиндром отсутствуют. Для доказательства этого вывода определим силу давления потока на цилиндр:
,
где
и
– проекции силы на координатные оси,
;
(2.103)
,
здесь
– элементарная площадка,
– ширина цилиндра;
– длина элемента образующей цилиндра.
Из уравнений (2.101) и (2.102) следует, что давление в любой точке цилиндра
.
Подставив данное значение
в уравнение (2.103), запишем
;
(2.104)
.
(2.104)
Так как
![]()
![]()
,
то из равенств (2.104) следует
.
Отсутствие силы сопротивления при обтекании тел потенциальным потоком идеальной жидкости называется парадоксом Даламбера.
Результат выполненного решения справедлив
только для идеального потока жидкости.
Для реальной жидкости симметрия
распределения давления по поверхности
цилиндра относительно оси ординат
нарушается, вследствие чего появляется
сила сопротивления (трения)
.
Для того чтобы
не равнялась нулю, необходимо нарушить
симметричность распределения скоростей
относительно оси абсцисс. Такое возможно
при наличии циркуляции скорости по
контуру образующей цилиндра.
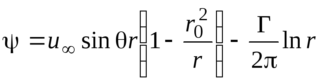
Циркуляционное обтекание цилиндра.
При наличии циркуляции
потенциал скорости и функция тока
записываются в следующем виде:
;
.
При
;
. (2.105)
Добавление циркуляции скорости изменяет
распределение скорости и давления у
поверхности цилиндра и смещает критические
точки. При
получим из уравнений (2.105)
(рис. 2.27).
а б в
![]()
![]()
![]()
![]()
![]()
![]()
![]()
![]()
![]()
Рис. 2.27. Схема обтекания цилиндра с циркуляцией скорости:
а –
;
б –
;
в –
![]()
В случаях «а» и «б» критические точки
находятся на поверхности. В случае «в»
точки А и В на поверхности не
находятся и вокруг цилиндра образуется
течение. Наличие циркуляционного течения
нарушает осесимметричность потока
относительно оси
,
в результате чего появляется вертикальная
сила
.
В гидромеханике принято вычислять не
саму силу, а величину силы, отнесенную
к ширине цилиндра
и имеющую размерность ньютон на метр
(Н/м). Тогда из уравнения (2.103) получим
. (2.106)
Сила
,
как и в предыдущем случае, равна нулю.
Давление
найдем из уравнения Бернулли для нулевой
линии:
,
или
.
Подставив в данное равенство уравнение (2.105), получим
. (2.107)
После интегрирования уравнения (2.106) совместно с уравнением (2.107) следует
.
Так как
,
то окончательно имеем
. (2.108)
Появление силы
можно объяснить, основываясь на уравнении
Бернулли, согласно которому статическое
давление меньше в той части потока, где
скорость наибольшая. На рис. 2.27 видно,
что скорость обтекания цилиндра жидкостью
наибольшая в нижней его части (линии
тока сжаты), значит, давление там
наименьшее. Этот факт и определяет
величину и направление силы взаимодействия
цилиндра и потока.
Уравнение (2.108) является частным случаем теоремы Н.Е. Жуковского о подъемной силе.
Одной из важнейших
задач гидромеханики, решаемой на основе
модели потенциального течения идеальной
жидкости, является задача о силовом
взаимодействии произвольного профиля
с обтекающим его потоком. С подобными
течениями приходится сталкиваться при
обтекании жидкостями и газами лопаток
рабочих колес лопастных насосов,
гидравлических и газовых турбин, крыльев
летательных аппаратов и т. п. Решения
задач подобного рода основаны на теореме
Н.Е. Жуковского, которая формулируется
следующим образом: если поток, имеющий
в бесконечности скорость
,
обтекает контур и циркуляция
скорости по этому контуру равна Г, то
равнодействующая сила давления жидкости
на контур равна произведению скорости
потока в бесконечности, циркуляции
скорости и плотности жидкости
.
Для доказательства теоремы рассмотрим
произвольный профиль в плоском потоке,
ограниченном контрольной линией
в виде окружности (рис. 2.28). За пределами
этого контура возмущения, вносимые
профилем в поток, бесконечно малы, т. е.
радиус окружности контрольной линии
.

![]()
![]()
![]()
![]()
![]()


![]()
![]()



![]()
![]()
![]()
![]()
![]()